Skip to main navigation Skip to main content
  • KSPTM
  • E-Submission

PHD : Parasites, Hosts and Diseases

OPEN ACCESS
ABOUT
BROWSE ARTICLES
FOR CONTRIBUTORS

Articles

Brief Communication

Endemicity of Zoonotic Trematode Metacercariae in Fish from Deokcheon-gang (River) in Sancheong-gun, Gyeongsangnam-do, Republic of Korea

The Korean Journal of Parasitology 2021;59(5):523-529.
Published online: October 31, 2021

1Department of Parasitology and Tropical Medicine, and Institute of Health Sciences, Gyeongsang National University College of Medicine, Jinju 52727, Korea

2Division of Vectors and Parasitic Diseases, Korea Disease Control and Prevention Agency, Osong 28159, Korea

3Infectious Disease Research Division, Gyeongsangnam-do Provincial Government Institute of Health and Environment, Jinju 52732, Korea

*Corresponding author (wmsohn@gnu.ac.kr)
• Received: October 9, 2021   • Revised: October 9, 2021   • Accepted: October 9, 2021

© 2021, Korean Society for Parasitology and Tropical Medicine

This is an Open Access article distributed under the terms of the Creative Commons Attribution Non-Commercial License (https://creativecommons.org/licenses/by-nc/4.0) which permits unrestricted non-commercial use, distribution, and reproduction in any medium, provided the original work is properly cited.

  • 5,291 Views
  • 78 Download
  • 4 Web of Science
  • 4 Crossref
  • 3 Scopus
prev next
  • The endemicity of zoonotic trematode metacercariae (ZTM) was investigated with total 871 freshwater fishes (19 species) from Deokcheon-gang (a branch stream of Gyeongho-gang) in Sancheong-gun, Gyeongsangnam-do, Korea for 3 years (2018–2020). All fishes were examined with the artificial digestion method. The metacercariae of Clonorchis sinensis (CsMc) were detected in 233 (36.3%) out of 642 fish in 11 positive fish species (PFS), and their infection intensity was 27 per fish infected (PFI). Especially, in index fish, Puntungia herzi, of CsMc infection, prevalence was 64.2% and infection intensity was 37 PFI. Metagonimus spp. metacercariae (MsMc) were found in 760 (87.5%) out of 869 fish in 18 PFS and their infection intensity was 228 PFI. In sweet smelt, Plecoglossus altivelis, the prevalence of MsMc was 97.6% and their infection intensity was 3,570 PFI. Centrocestus armatus metacercariae were detected in 209 (29.4%) out of 710 fish in 8 PFS and their infection intensity was 1,361 PFI. Echinostoma spp. metacercariae were found in 293 (42.6%) out of 688 fish in 15 PFS and their infection intensity was 5 PFI. Metacercariae of Clinostomum complanatum and Metorchis orientalis were also detected in 2.7% and 21.2% fish in 4 PFS and their infection intensities were 3.1 and 3.4 PFI respectively. By the present study, it was confirmed that some species of ZTM including CsMc and MsMc are more or less prevalent in fishes from Deokcheon-gang in Sancheong-gun, Gyeongsangnam-do, Korea.
Nowadays, fishborne zoonotic trematodes (FZT) including Clonorchis sinensis are problematic endemic helminths in the Republic of Korea (Korea) [1]. Division of vectors and parasitic diseases of Korea DCPA (Korea Disease Control and Prevention Agency) has continuously investigated the endemicity of FZT infections in the riverside areas of southern regions of Korea [25]. The coworking group also surveyed the infection status of zoonotic trematode metacercariae (ZTM) in the infection sources of FZT, freshwater fish, to know the epidemiological situation in water systems of major rivers in Korea [618]. Cho et al. [6] investigated the infection status of C. sinensis metacercariae (CsMc) in fishes from 3 wide regions by the latitudinal levels of Korean peninsula. Cho et al. [7] also surveyed the infection status of ZTM in fishes from Gangwon-do (do= province), Korea. The infections of digenetic trematode metacercariae (DTM) including C. sinensis were investigated in freshwater fish from Hantan-gang (gang means river) and Imjin-gang in northern regions of Korea [8]. The infection status of CsMc was investigated in fishes from Seomjin-gang and Tamjin-gang [9,10]. The infection characteristics with CsMc were also investigated in freshwater fish from 3 highly endemic branch streams of Nakdong-gang, i.e., Wi-cheon (cheon means stream), Yongjeon-cheon and Yang-cheon, in Gyeongsangbuk-do and Gyeongsangnam-do, Korea [11,12,16]. Sohn et al. [13,15] reported the infection status with ZTM in fishes from Geum-gang and with DTM in fishes from coastal lakes in Gangwon-do, Korea. Sohn and Na [14] surveyed the infection status of DTM in freshwater fishes from 2 visiting sites of migratory birds, Junam-jeosuji (jeosuji means reservoir) and Woopo-neup (neup means swamp), in Gyeongsangnam-do, Korea. Recently, Sohn et al. [17,18] reported the infection status of ZTM in freshwater fishes from Soyang-cheon (a branch stream of Mangyeong-gang in Wanju-gun, Jeollabuk-do) and the irrigation canal of Togyo-jeosuji (Reservoir in Cheorwon-gun, Gangwon-do), Korea.
Deokcheon-gang is a secondary stream of Nakdong-gang, which is originated from Cheonwang-bong (bong means peak) of Jiri-san (san means mountine), flows between the Sugok-myeon (myeon=township) in Jinju-si (si=city) and Okjong-myeon in Hadong-gun (gun=county) and reaches the Jinyang-ho (ho means lake) in Gonmyeong-myeon, Sacheon-si, Gyeongsangnam-do, Korea. This river is famous for the recreation ground of adjacent residents in summer season, and provides plenty of fish as delicate provisions to riverside peoples [19]. On the other hand, the riverside areas of Gyeongho-gang and Yang-cheon in Sancheong-gun, Gyeongsangnam-do has been known as endemic areas of clonorchiasis [2022]. Infection characteristics with CsMc in fishes from Yang-cheon was intensively investigated [12]. However, the infection status with ZTM in fish from Deokcheon-gang has not been investigated yet. Therefore, we intentionally surveyed the infection status of ZTM in fishes from Deokcheon-gang, in Sancheong-gun, Gyeongsangnam-do, Korea.
We collected lots of freshwater fishes in Deokcheon-gang in Danseong-myeon, (Latitude: 35.246428; Longitude: 127.892242), Sancheong-gun, Gyeongsangnam-do for 3 years (2018–2020). All collected fishes were transferred to the laboratory of the Department of Parasitology and Tropical Medicine, Gyeongsang National University College of Medicine, Jinju, Korea. The length and weight of fish were individually measured and identified the fish species [23]. Individual fish was finely ground in a mortar with pestle, the ground fish meat was mixed with artificial gastric juice, and the mixture was incubated at 36°C for about 2 hr. The digested material was filtered with 1×1 mm2 of mesh, and washed with 0.85% saline until the supernatant became clear. The sediment was carefully examined under a stereomicroscope. The metacercariae of each species (only ZTM) were separately collected viewing from the general feature, and were counted to get hold of the prevalence (%) and intensity of infection (No. of ZTM per fish infected) by fish species [24].
Total 343 freshwater fish in 15 species were examined in 2018. The fish species (No. of fish) examined were Acheilognathus koreensis (52), Zacco koreanus (51), Pungtungia herzi (46), Squalidus gracilis majimae (41), Carassius auratus (34), Coreoperca herzi (31), Zacco platypus (24), Microphysogobio koreensis (20), Cobitis sinensis (13), Squalidus japonicus coreanus (10), Odontobutis platycephala (12), Pseudorasbora parva (5), Siniperca scherzeri (2), Pseudogobio esocinus (1), Misgurnus anguillicaudatus (1). In 2019, a total of 232 freshwater fish in 11 species were examined. The fish species examined were S. gracilis majimae (45), A. koreensis (40), P. herzi (40), Z. koreanus (25), Plecoglossus altivelis (19), Z. platypus (18), C. auratus (16), C. herzi (15), P. esocinus (8), Hemibarbus longirostris (5), O. platycephala (1). A total of 296 freshwater fish in 16 species were examined in 2020. The fish species examined were A. koreensis (55), Z. koreanus (42), P. herzi (37), C. auratus (33), P. altivelis (22), Z. platypus (20), Squalidus chankaensis (20), S. gracilis majimae (15), Squalidus japonicus coreanus (15), C. herzi (12), M. koreensis (8), P. esocinus (5), O. platycephala (5), H. longirostris (4), P. parva (2), Coreoleuciscus splendidus (1).
The metacercariae of C. sinensis (CsMc) were detected in 233 (36.3%) out of 642 fish in 11 positive fish species (PFS), and their infection intensity was 27 per fish infected (PFI). Especially in 3 fish species, i.e., P. herzi, S. gracilis majimae and S. chankaensis, prevalence was 64.2%, 70.3%, and 90.0%, and infection intensities were 37, 31, and 34 PFI. The infection status by the fish species was revealed in Table 1 in detail. The yearly prevalence of CsMc was similar, 42.4% in 2018, 49.6% in 2019, and 40.6% in 2020. The infection intensity with CsMc was most high in 2019 (37.9 PFI), and followed by in 2020 (28.3 PFI) and, 2018 (16.9 PFI) (Supplementary Table S1). Metagonimus spp. metacercariae (MsMc) were found in 760 (87.5%) out of 869 fishes in 18 PFS, and their infection intensity was 228 PFI. Especially in 3 fish species, i.e., P. altivelis, Z. koreanus, and Z. platypus, prevalence was 97.6%, 100%, and 100%, and infection intensities were 3,570, 126, and 106 PFI respectively. The infection status of MsMc by the fish species was designated in Table 2.
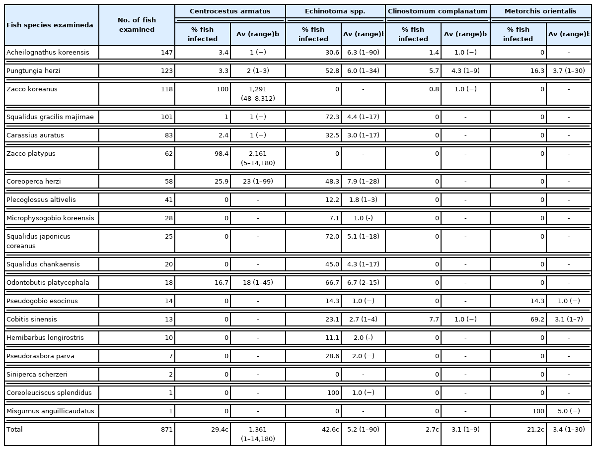
The metacercariae of Centrocestus armatus (CaMc) were found in 209 (29.4%) out of 710 fishes in 8 PFS, and their infection intensity was 1,361 PFI. Especially in 2 species of chub, i.e., Z. platypus and Z. koreanus, prevalence was 98.4% and 100%, and infection intensities were 2,161 and 1,291 PFI. Echinostoma spp. metacercariae (EsMc) were detected in 293 (42.6%) out of 688 fishes in 15 PFS, and their infection intensity was 5.2 PFI. The metacercariae of Clinostomum complanatum (CcMc) were detected in 11 (2.7%) out of 401 fishes in 4 PFS and their infection intensity was 3.1 PFI. The metacercariae of Metorchis orientalis (MoMc) were detected in 32 (21.2%) out of 151 fishes in 4 PFS and their infection intensity was 3.4 PFI. The infection status of CaMc, EsMc, CcMc, and MoMc by the fish species was revealed in Table 3 in detail.
In this study, more than 6 species of ZTM, i.e., C. sinensis, Metagonimus spp., C. armatus, Echinostoma spp., C. complanatum and M. orientalis, were detected in fishes from Deokcheon-gang, in Sancheong-gun, Gyeongsangnam-do, Korea. Their individual prevalence was 36.3%, 87.5%, 29.4%, 42.6%, 2.7%, and 21.2%, and infection intensities were 27, 228, 1,361, 5, 3, and 3 PFI respectively. The prevalence of MsMc was relatively higher than other 5 species of ZTM. Meanwhile the infection intensity was relatively high-level in CaMc and MsMc. However, the susceptibility indices (SI: prevalence/100 x mean No. of ZTM PFI) in each ZTM were relatively low (9.8, 199.5, 400.1, 2.1, 0.08, and 0.6) except for that of MsMc.
A total of 871 fish in 19 species were examined in this study. Among them, A. koreensis (16.9%) was most dominantly examined and followed P. herzi (14.1%), Z. koreanus (13.5%), S. gracilis majimae (11.6%), C. auratus (9.5%), Z. platypus (7.1%), C. herzi (6.7%), P. altivelis (4.7%). M. koreensis (3.2%), S. japonicus coreanus (2.9%), and S. chankaensis (2.3%) in order. Remain 8 fish species, i.e., O. platycephala, P. esocinus, C. sinensis, H. longirostris, P. parva, S. scherzeri, C. splendidus, and M. anguillicaudatus, were examined less than 10 fish individuals (8 fish in average). From the small number of fish species and the biased fish number by the fish species, we can know that the fish ecology is not so good in this survey river. However, predatory exotic fish species, large mouth bass (Micropterus salmoides) and blue gill (Lepomis macrochirus), were not invasive in this survey region.
The prevalence of CsMc was 36.3% among 642 fishes in 11 (57.9%) PFS, and their infection intensity was 27 PFI in this study. Sohn et al. [12] detected CsMc in 1,171 (53.2%) out of 2,201 fishes in 21 (80.8%) PFS from Yang-cheon, adjacent stream of Deokcheon-gang, in Sancheong-gun, Gyeongsangnam-do and their infection intensity was 85 PFI. Bae et al. [20] reported 42.3% prevalence of CsMc from 196 fishes in 10 (55.6%) PFS from Nam-gang in Gyeongsangnam-do. They examined most of fish with the muscle compression method and only 39 false dace, Pseudorasbora parva, with the artificial digestion method to check the infection intensity. At any rate, the prevalence with CsMc was lower in this study than those of previous studies performed in adjacent survey areas, Yang-cheon and Nam-gang, in Gyeongsangnam-do, Korea.
In case of index fish, P. herzi, the prevalence of CsMc was 64.2% and infection intensity was 37 PFI in this study. And then the susceptibility index (SI) was 23.8. Cho et al. [6] reported the overall prevalence (95.2%), infection intensity (455 PFI) and SI (433.2) in 146 P. herzi from Yang-cheon in Sancheong-gun, Gyeongsangnam-do, Korea. They also revealed that individual SI are 794.0, 707.4, and 168.4 in P. herzi from Yang-cheon in 2006, 2007, and 2010. Sohn et al. [12] also reported the overall prevalence (99.6%), infection intensity (147 PFI) and SI (146.4) (Yearly SI: 157.2, 168.0, 151.3, 114.3, 178.8, 144.8, and 87.3 from 2011 to 2017) in 534 P. herzi from Yang-cheon in Sancheong-gun, Gyeongsangnam-do, Korea. From the previous studies performed in Yang-cheon, the adjacent stream of Deokcheon-gang, we can know that the changing pattern of CsMc endemicity in index fish, P. herzi, for 12 years. On the other hand, SI was 1,550.0 and 1,060.7 in striped shinner, P. herzi, from the other 2 streams of Nakdong-gang, Wi-cheon (Gunwi-gun) and Yongjeon-cheon (Cheongsong-gun), in Gyeongsangbuk-do [11,16]. In P. herzi from 2 rivers in southern region of Korea, Tamjin-gang and Seomjin-gang, SI was 103.2 and 34.8 [9,10]. Recently, Sohn et al. [15, 18] reported 48.2 and 90.8 (SI) in P. herzi from water systems of Geum-gang and Togyo-jeosuji in Cheorwon-gun, Gangwon-do. Accordingly, based on the SI of CsMc in the index fish, P. herzi, we can know that Wi-cheon and Yongjeon-cheon are highly endemic, Yang-cheon, Tamjin-gang and Togyo-jeosuji are moderately endemic, and Geum-gang, Seomjin-gang and Deokcheon-gang are more or less low endemic areas.
In this study, MsMc were detected in 760 (87.5%) out of 869 fish in 18 (94.7%) PFS, and their infection intensity was about 228 PFI. Cho et al. [7] detected MsMc from 74.3% fish in PFS from Hantan-gang for 3 years (2010, 2012, and 2013) and the overall infection intensitiy was 32 PFI. Sohn et al. [8] reported 61.1% and 59.0% MsMc prevalence and 48 and 10 PFI infection intensities in fishes from the water systems of Hantan-gang and Imjin-gang. Sohn et al. [25] also reported 55.4% and 57.7% prevalence, and 96 and 138 MsMc intensities in fishes from Seomjin-gang and Tamjin-gang respectively. Recently, prevalence of MsMc was 51.7%, 37.4%, and 74.1% and infection intensities were 30, 12 and 62 PFI respectively in fishes from the water systems of Geum-gang, Soyang-cheon and Togyo-jeosuji [15,17,18]. The prevalence of MsMc in this study is relatively higher than those of previous studies. Infection intensity with MsMc is also much higher than in fish from other survey regions, i.e., Hantan-gang, Imjin-gang, Seomjin-gang, Tamjin-gang, Geum-gang, Soyang-cheon and Togyo-jeosuji. The reason why is the presence of susceptible fish, P. altivelis, in fishes like in Seomjin-gang and Tamjin-gang.
On the other hand, the chub, Z. platypus, Z. temminckii and Z. koreanus, are regarded as the index fish of MsMc survey in inland localities without sweetfish, P. altivelis. In this study, the prevalence with MsMc in Z. platypus and Z. koreanus was 100% and the infection intensity was 119 PFI. Prevalence with MsMc in Zacco spp. from water systems of Hantan-gang and Imjin-gang were 73.9% and 72.1%, and their infection intensities were 43 and 19 PFI [8]. Prevalence of MsMc in chubs from water systems of Seomjin-gang and Tamjin-gang was 89.2% and 89.0%, and their infection intensities were 74 and 42 PFI [25]. Recently, MsMc were detected in 69.7%, 74.6%, and 98.1% chubs from the water systems of Geum-gang, Soyang-cheon and Togyo-jeosuji and their infection intensities were 20, 22, and 134 PFI respectively [15,17,18]. From the findings of previous studies, we can suppose that the endemicity with MsMc in this study is much higher than those in previous studies performed in Hantan-gang, Imjin-gang, Seomjin-gang, Tamjin-gang, Geum-gang and Soyang-cheon.
In this study, CaMc were detected in 209 (29.4%) out of 710 fish in 8 (42.1%) PFS and their overall infection intensity was 1,361 PFI. However, the prevalence was 98.4% and 100% in 2 species of chub, Z. platypus and Z. koreanus, susceptible fish hosts of CaMc, and infection intensities were 2,161 and 1,291 PFI respectively. The endemicity of CaMc in chubs from Deokcheon-gang is higher than that from water systems of Seomjin-gang and Mangyeong-gang (including Soyang-cheon), but it is similar and/or lower than that from other survey regions including Togyo-jeosuji in Korea [26].
EsMc were detected in 293 (42.6%) out of 688 fish in 15 (78.9%) PFS, and their infection intensity was 5.2 PFI in this study. Especially, in Korean dark sleeper, O. platycephala, the susceptible fish host of Isthmiophora hortensis [27], prevalence of EsMc was 66.7% and the infection intensity was 6.7 PFI. Recently, Sohn et al. [15,17] reported that prevalence of EsMc was 100% and 65.1% in Korean dark sleepers from Yugu-cheon (a branch of Geum-gang) in Gongju-si, Chungcheongnam-do, and Soyang-cheon in Wanju-gun, Jeollabuk-do, and intensities of infection were about 48 and 12 PFI respectively. On the other hand, the endemicities of CcMc and MoMc were very low in fishes from Deokcheon-gang in this study. Their prevalence was 2.7% and 21.2% in PFS and infection intensities were 3.1 and 3.4 PFI respectively.
More than 6 species of ZTM, i.e., C. sinensis, Metagonimus spp., C. armatus, Echinostoma spp., C. complanatum, and M. orientalis, were detected and their individual endemicities were different by the ZTM and fish species examined in this study. The endemicity of CsMc was relatively low and that of MsMc and CaMc was comparatively high, especially in 2 species of chub, Z. platypus and Z. koreanus, from Deokcheon-gang, in Sancheong-gun, Gyeongsangnam-do, Korea.

The authors have no conflicts of interest concerning the work reported in this paper.

This study was supported by an Anti-Communicable Diseases Control Program, 2018–2020 (Investigation and analysis on the infections of zoonotic trematode metacercariae in fish intermediate hosts in the Republic of Korea) of Korea Disease Control and Prevention Agency (KDCA, 4837-311). We thank Jung-A Kim, Hee-Ju Kim, and Yeo-Jin Ryu, Department of Parasitology and Tropical Medicine, Gyeongsang National University College of Medicine, Jinju, Korea, for their help in fish examinations.
Table 1
Infection status of Clonorchis sinensis metacercariae (CsMc) in fishes from Deokcheon-gang in Sancheong-gun, Gyeongsangnam-do, Korea
Table 1
Fish species No. of fish examined No. (%) of fish infected No. of CsMc detected
Range Average
Acheilognathus koreensis 147 29 (19.7) 1–8 2.3
Pungtungia herzi 123 79 (64.2) 1–208 37.0
Zacco koreanus 118 2 (1.7) 1–2 1.5
Squalidus gracilis majimae 101 71 (70.3) 1–185 31.0
Coreoperca herzi 58 5 (8.6) 1–4 1.6
Microphysogobio koreensis 28 3 (10.7) 2–3 2.7
Squalidus japonicus coreanus 25 13 (52.0) 1–76 19.2
Squalidus chankaensis 20 18 (90.0) 2–160 34.1
Pseudogobio esocinus 14 10 (71.4) 1–62 18.2
Pseudorasbora parva 7 2 (28.6) 16–28 22.0
Coreoleuciscus splendidus 1 1 (100) - 1.0
Total 642 233 (36.3) 1–208 27.0
Table 2
Infection status of Metagonimus spp. metacercariae (MsMc) in fishes from Deokcheon-gang in Sancheong-gun, Gyeongsangnam-do, Korea
Table 2
Fish species No. of fish examined No. (%) of fish infected No. of MsMc detected
Range Average
Acheilognathus koreensis 147 126 (85.7) 1–210 16.3
Pungtungia herzi 123 121 (98.4) 1–89 19.5
Zacco koreanus 118 118 (100) 1–4,570 126.2
Squalidus gracilis majimae 101 92 (91.1) 1–57 10.5
Carassius auratus 83 57 (68.7) 1–276 19.1
Zacco platypus 62 62 (100) 1–2,250 105.5
Coreoperca herzi 58 40 (69.0) 1–36 5.7
Plecoglossus altivelis 41 40 (97.6) 3–20,650 3,570
Microphysogobio koreensis 28 26 (92.9) 1–170 16.0
Squalidus japonicus coreanus 25 22 (88.0) 1–120 24.7
Squalidus chankaensis 20 19 (95.0) 1–45 11.6
Odontobutis platycephala 18 2 (11.1) 1–3 2.0
Pseudogobio esocinus 14 12 (85.7) 1–124 33.9
Cobitis sinensis 13 5 (38.5) 1–3 1.4
Hemibarbus longirostris 9 9 (100) 6–87 34.9
Pseudorasbora parva 7 7 (100) 8–186 69.1
Coreoleuciscus splendidus 1 1 (100) - 2.0
Misgurnus anguillicaudatus 1 1 (100) - 79.0
Total 869 760 (87.5) 1–20,650 228.2
Table 3
Infection status of freshwater fish with zoonotic trematode metacercariae (ZTM) by fish species from Deokcheon-gang, in Sancheong-gun, Gyeongsangnam-do, Korea
Table 3
Fish species examineda No. of fish examined Centrocestus armatus Echinotoma spp. Clinostomum complanatum Metorchis orientalis




% fish infected Av (range)b % fish infected Av (range)b % fish infected Av (range)b % fish infected Av (range)b
Acheilognathus koreensis 147 3.4 1 (−) 30.6 6.3 (1–90) 1.4 1.0 (−) 0 -

Pungtungia herzi 123 3.3 2 (1–3) 52.8 6.0 (1–34) 5.7 4.3 (1–9) 16.3 3.7 (1–30)

Zacco koreanus 118 100 1,291 (48–8,312) 0 - 0.8 1.0 (−) 0 -

Squalidus gracilis majimae 101 1 1 (−) 72.3 4.4 (1–17) 0 - 0 -

Carassius auratus 83 2.4 1 (−) 32.5 3.0 (1–17) 0 - 0 -

Zacco platypus 62 98.4 2,161 (5–14,180) 0 - 0 - 0 -

Coreoperca herzi 58 25.9 23 (1–99) 48.3 7.9 (1–28) 0 - 0 -

Plecoglossus altivelis 41 0 - 12.2 1.8 (1–3) 0 - 0 -

Microphysogobio koreensis 28 0 - 7.1 1.0 (-) 0 - 0 -

Squalidus japonicus coreanus 25 0 - 72.0 5.1 (1–18) 0 - 0 -

Squalidus chankaensis 20 0 - 45.0 4.3 (1–17) 0 - 0 -

Odontobutis platycephala 18 16.7 18 (1–45) 66.7 6.7 (2–15) 0 - 0 -

Pseudogobio esocinus 14 0 - 14.3 1.0 (−) 0 - 14.3 1.0 (−)

Cobitis sinensis 13 0 - 23.1 2.7 (1–4) 7.7 1.0 (−) 69.2 3.1 (1–7)

Hemibarbus longirostris 10 0 - 11.1 2.0 (-) 0 - 0 -

Pseudorasbora parva 7 0 - 28.6 2.0 (−) 0 - 0 -

Siniperca scherzeri 2 0 - 0 - 0 - 0 -

Coreoleuciscus splendidus 1 0 - 100 1.0 (−) 0 - 0 -

Misgurnus anguillicaudatus 1 0 - 0 - 0 - 100 5.0 (−)

Total 871 29.4c 1,361 (1–14,180) 42.6c 5.2 (1–90) 2.7c 3.1 (1–9) 21.2c 3.4 (1–30)

aA total of 871 freshwater fishes in 19 species were examined.

bNo. of metacercariae detected (Av: average).

cNo. of ZTM positive fish/No. of fish examined in ZTM positive species×100.

  • 1. Korea Centers for Disease Control and Prevention, Korea National Institute of Health. National survey of the prevalence of intestinal parasitic infections in Korea, 2012. The 8th Report. Osong, Korea: 2013.
  • 2. Cho SH, Lee KY, Lee BC, Cho PY, Cheun HI, Hong ST, Sohn WM, Kim TS. Prevalence of clonorchiasis in southern endemic areas of Korea in 2006. Korean J Parasitol 2008;46:133-137. https://doi.org/10.3347/kjp.2008.46.3.133
  • 3. Kim HK, Cheun HI, Chung BS, Lee KY, Kim TS, Lee SE, Lee WJ, Cho SH. Prevalence of Clonorchis sinensis infections along the five major rivers in Republic of Korea, 2007. Osong Public Health Res Perspect 2010;1:43-49. https://doi.org/10.1016/j.phrp.2010.12.010
  • 4. June KJ, Cho SH, Lee WJ, Kim C, Park KS. Prevalence and risk factors of clonorchiasis among the populations served by primary healthcare posts along five major rivers in South Korea. Osong Public Health Res Perspect 2013;4:21-26. https://doi.org/10.1016/j.phrp.2012.12.002
  • 5. Jeong YI, Shin HE, Lee SE, Cheun HI, Ju JW, Kim JY, Park MY, Cho SH. Prevalence of Clonorchis sinensis infection among residents along 5 major rivers in the Republic of Korea. Korean J Parasitol 2016;54:215-219. https://doi.org/10.3347/kjp.2016.54.2.215
  • 6. Cho SH, Sohn WM, Na BK, Kim TS, Kong Y, Eom K, Seok WS, Lee T. Prevalence of Clonorchis sinensis metacercariae in freshwater fish from three latitudinal regions of the Korean Peninsula. Korean J Parasitol 2011;49:385-398. https://doi.org/10.3347/kjp.2011.49.4.385
  • 7. Cho SH, Lee WJ, Kim TS, Seok WS, Lee TJ, Jeong KJ, Na BK, Sohn WM. Prevalence of zoonotic trematode metacercariae in freshwater fish from Gangwon-do, Korea. Korean J Parasitol 2014;52:399-412. https://doi.org/10.3347/kjp.2014.52.4.399
  • 8. Sohn WM, Na BK, Cho SH, Lee SW, Choi SB, Seok WS. Trematode metacercariae in freshwater fish from water systems of Hantangang and Imjingang in Republic of Korea. Korean J Parasitol 2015;53:289-298. https://doi.org/10.3347/kjp.2015.53.3.289
  • 9. Sohn WM, Na BK, Cho SH, Park MY, Kim CH, Hwang MA, No KW, Yoon KB, Lim HC. Prevalence of Clonorchis sinensis metacercariae in fish from water systems of Seomjin-gang (River). Korean J Parasitol 2017;55:305-312. https://doi.org/10.3347/kjp.2017.55.3.305
  • 10. Yoon KB, Lim HC, Jeon DY, Park S, Cho SH, Ju JW, Shin SS, Na BK, Sohn WM. Infection status with Clonorchis sinensis metacercariae in fish from Tamjin-gang (River) in Jeollanam-do, Republic of Korea. Korean J Parasitol 2018;56:183-188. https://doi.org/10.3347/kjp.2018.56.2.183
  • 11. Sohn WM, Na BK, Cho SH, Ju JW, Son DC. Prevalence and intensity of Clonorchis sinensis metacercariae in freshwater fish from Wi-cheon stream in Gunwi-gun, Gyeongsangbuk-do, Korea. Korean J Parasitol 2018;56:41-48. https://doi.org/10.3347/kjp.2018.56.1.41
  • 12. Sohn WM, Na BK, Cho SH, Ju JW. Infection status with Clonorchis sinensis metacercariae in fish from Yang-cheon (Stream) in Sancheong-gun, Gyeongsangnam-do, Korea. Korean J Parasitol 2019;57:145-152. https://doi.org/10.3347/kjp.2019.57.2.145
  • 13. Sohn WM, Na BK, Cho SH, Lee SW. Infection status with digenetic trematode metacercariae in fishes from coastal lakes in Gangwon-do, Republic of Korea. Korean J Parasitol 2019;57:681-690. https://doi.org/10.3347/kjp.2019.57.6.681
  • 14. Sohn WM, Na BK. Infections with digenetic trematode metacercariae in freshwater fishes from two visiting sites of migratory birds in Gyeongsangnam-do, Republic of Korea. Korean J Parasitol 2019;57:273-281. https://doi.org/10.3347/kjp.2019.57.3.273
  • 15. Sohn WM, Na BK, Cho SH, Kim CH, Hwang MA, No KW, Kim JD. Survey of zoonotic trematode metacercariae in fish from water systems of Geum-gang (River) in Republic of Korea. Korean J Parasitol 2021;59:23-33. https://doi.org/10.3347/kjp.2021.59.1.23
  • 16. Sohn WM, Na BK, Cho SH, Lee HI, Lee MR, Ju JW, Kim GO. High endemicity with Clonorchis sinensis metacercariae in fish from Yongjeon-cheon (Stream) in Cheongsong-gun, Gyeongsangbuk-do, Korea. Korean J Parasitol 2021;59:97-101. https://doi.org/10.3347/kjp.2021.59.1.97
  • 17. Sohn WM, Na BK, Cho SH, Ju JW, Kim CH, Hwang MA, No KW, Park JH. Prevalence and infection intensity of zoonotic trematode metacercariae in fish from Soyang-cheon (Stream) in Wanju-gun, Jeollabuk-do, Korea. Korean J Parasitol 2021;59:265-271. https://doi.org/10.3347/kjp.2021.59.3.265
  • 18. Sohn WM, Na BK, Cho SH, Lee HI, Ju JW, Lee MR, Lim EJ, Son SY, Ko EM, Choi JS. Survey of zoonotic trematode metacercariae in fish from irrigation canal of Togyo-jeosuji (Reservoir) in Cheorwon-gun, Gangwon-do, Republic of Korea. Korean J Parasitol 2021;59:427-432. https://doi.org/10.3347/kjp.2021.59.4.42
  • 19. Deokcheon-gang in the list of rivers of Korea in Wikipedia - The free encyclopedia; http://en.wikipedia.org
  • 20. Bae KH, Ahn YK, Soh CT, Tsutsumi H. Epidemiological studies on Clonorchis sinensis infection along the Nam-river in Gyeongnam Province, Korea. Korean J Parasitol 1983;21:167-186. (In Korean). https://doi.org/10.3347/kjp.1983.21.2.167
  • 21. Lee JS, Lee WJ, Kim TS, In TS, Kim WS, Kim SK. Current status and the changing pattern of the prevalence of clonorchiasis in the inhabitants in Sanchon-gun, Kyongsangnam-do, Korea. Korean J Parasitol 1993;31:207-213. (In Korean). https://doi.org/10.3347/kjp.1993.31.3.207
  • 22. Hong SJ, Lee YH, Chung MH, Lee DH, Woo HC. Egg positive rates of Clonorchis sinensis and intestinal helminths among residents in Kagye-ri, Saengbiryang-myon, Sanchong-gun, Kyongsangnam-do. Korean J Parasitol 1994;32:271-273. https://doi.org/10.3347/kjp.1994.32.4.271
  • 23. Kim IS, Kang EJ. Coloured fishes of Korea. Seoul, Korea. Academy Publishing Company; 1993, pp 1-477 (in Korean)..
  • 24. Sohn WM. Fish-borne zoonotic trematode metacercariae in the Republic of Korea. Korean J Parasitol 2009;47(suppl):103-113. https://doi.org/10.3347/kjp.2009.47.S.S103
  • 25. Sohn WM, Na BK, Cho SH, Ju JW, Kim CH, Yoon KB. Infection status with Metagonimus spp. metacercariae in fishes from Seomjin-gang and Tamjin-gang in Republic of Korea. Korean J Parasitol 2018;56:351-358. https://doi.org/10.3347/kjp.2018.56.4.351
  • 26. Sohn WM, Na BK, Cho SH, Ju JW, Kim CH, Yoon KB, Kim JD, Son DC, Lee SW. Infections with Centrocestus armatus metacercariae in fishes from water systems of major rivers in Republic of Korea. Korean J Parasitol 2018;56:341-349. https://doi.org/10.3347/kjp.2018.56.4.341
  • 27. Sohn WM, Na BK, Cho SH, Ju JW. Infection status of Isthmiophora hortensis metacercariae in dark sleepers, Odontobutis species, from some water systems of the Republic of Korea. Korean J Parasitol 2018;56:633-637. https://doi.org/10.3347/kjp.2018.56.6.633

Download Citation

Download a citation file in RIS format that can be imported by all major citation management software, including EndNote, ProCite, RefWorks, and Reference Manager.

Format:

Include:

Endemicity of Zoonotic Trematode Metacercariae in Fish from Deokcheon-gang (River) in Sancheong-gun, Gyeongsangnam-do, Republic of Korea
Korean J Parasitol. 2021;59(5):523-529.   Published online October 22, 2021
Download Citation

Download a citation file in RIS format that can be imported by all major citation management software, including EndNote, ProCite, RefWorks, and Reference Manager.

Format:
Include:
Endemicity of Zoonotic Trematode Metacercariae in Fish from Deokcheon-gang (River) in Sancheong-gun, Gyeongsangnam-do, Republic of Korea
Korean J Parasitol. 2021;59(5):523-529.   Published online October 22, 2021
Close
Endemicity of Zoonotic Trematode Metacercariae in Fish from Deokcheon-gang (River) in Sancheong-gun, Gyeongsangnam-do, Republic of Korea
Endemicity of Zoonotic Trematode Metacercariae in Fish from Deokcheon-gang (River) in Sancheong-gun, Gyeongsangnam-do, Republic of Korea

Infection status of Clonorchis sinensis metacercariae (CsMc) in fishes from Deokcheon-gang in Sancheong-gun, Gyeongsangnam-do, Korea

Fish species No. of fish examined No. (%) of fish infected No. of CsMc detected
Range Average
Acheilognathus koreensis 147 29 (19.7) 1–8 2.3
Pungtungia herzi 123 79 (64.2) 1–208 37.0
Zacco koreanus 118 2 (1.7) 1–2 1.5
Squalidus gracilis majimae 101 71 (70.3) 1–185 31.0
Coreoperca herzi 58 5 (8.6) 1–4 1.6
Microphysogobio koreensis 28 3 (10.7) 2–3 2.7
Squalidus japonicus coreanus 25 13 (52.0) 1–76 19.2
Squalidus chankaensis 20 18 (90.0) 2–160 34.1
Pseudogobio esocinus 14 10 (71.4) 1–62 18.2
Pseudorasbora parva 7 2 (28.6) 16–28 22.0
Coreoleuciscus splendidus 1 1 (100) - 1.0
Total 642 233 (36.3) 1–208 27.0

Infection status of Metagonimus spp. metacercariae (MsMc) in fishes from Deokcheon-gang in Sancheong-gun, Gyeongsangnam-do, Korea

Fish species No. of fish examined No. (%) of fish infected No. of MsMc detected
Range Average
Acheilognathus koreensis 147 126 (85.7) 1–210 16.3
Pungtungia herzi 123 121 (98.4) 1–89 19.5
Zacco koreanus 118 118 (100) 1–4,570 126.2
Squalidus gracilis majimae 101 92 (91.1) 1–57 10.5
Carassius auratus 83 57 (68.7) 1–276 19.1
Zacco platypus 62 62 (100) 1–2,250 105.5
Coreoperca herzi 58 40 (69.0) 1–36 5.7
Plecoglossus altivelis 41 40 (97.6) 3–20,650 3,570
Microphysogobio koreensis 28 26 (92.9) 1–170 16.0
Squalidus japonicus coreanus 25 22 (88.0) 1–120 24.7
Squalidus chankaensis 20 19 (95.0) 1–45 11.6
Odontobutis platycephala 18 2 (11.1) 1–3 2.0
Pseudogobio esocinus 14 12 (85.7) 1–124 33.9
Cobitis sinensis 13 5 (38.5) 1–3 1.4
Hemibarbus longirostris 9 9 (100) 6–87 34.9
Pseudorasbora parva 7 7 (100) 8–186 69.1
Coreoleuciscus splendidus 1 1 (100) - 2.0
Misgurnus anguillicaudatus 1 1 (100) - 79.0
Total 869 760 (87.5) 1–20,650 228.2

Infection status of freshwater fish with zoonotic trematode metacercariae (ZTM) by fish species from Deokcheon-gang, in Sancheong-gun, Gyeongsangnam-do, Korea

Fish species examineda No. of fish examined Centrocestus armatus Echinotoma spp. Clinostomum complanatum Metorchis orientalis




% fish infected Av (range)b % fish infected Av (range)b % fish infected Av (range)b % fish infected Av (range)b
Acheilognathus koreensis 147 3.4 1 (−) 30.6 6.3 (1–90) 1.4 1.0 (−) 0 -

Pungtungia herzi 123 3.3 2 (1–3) 52.8 6.0 (1–34) 5.7 4.3 (1–9) 16.3 3.7 (1–30)

Zacco koreanus 118 100 1,291 (48–8,312) 0 - 0.8 1.0 (−) 0 -

Squalidus gracilis majimae 101 1 1 (−) 72.3 4.4 (1–17) 0 - 0 -

Carassius auratus 83 2.4 1 (−) 32.5 3.0 (1–17) 0 - 0 -

Zacco platypus 62 98.4 2,161 (5–14,180) 0 - 0 - 0 -

Coreoperca herzi 58 25.9 23 (1–99) 48.3 7.9 (1–28) 0 - 0 -

Plecoglossus altivelis 41 0 - 12.2 1.8 (1–3) 0 - 0 -

Microphysogobio koreensis 28 0 - 7.1 1.0 (-) 0 - 0 -

Squalidus japonicus coreanus 25 0 - 72.0 5.1 (1–18) 0 - 0 -

Squalidus chankaensis 20 0 - 45.0 4.3 (1–17) 0 - 0 -

Odontobutis platycephala 18 16.7 18 (1–45) 66.7 6.7 (2–15) 0 - 0 -

Pseudogobio esocinus 14 0 - 14.3 1.0 (−) 0 - 14.3 1.0 (−)

Cobitis sinensis 13 0 - 23.1 2.7 (1–4) 7.7 1.0 (−) 69.2 3.1 (1–7)

Hemibarbus longirostris 10 0 - 11.1 2.0 (-) 0 - 0 -

Pseudorasbora parva 7 0 - 28.6 2.0 (−) 0 - 0 -

Siniperca scherzeri 2 0 - 0 - 0 - 0 -

Coreoleuciscus splendidus 1 0 - 100 1.0 (−) 0 - 0 -

Misgurnus anguillicaudatus 1 0 - 0 - 0 - 100 5.0 (−)

Total 871 29.4c 1,361 (1–14,180) 42.6c 5.2 (1–90) 2.7c 3.1 (1–9) 21.2c 3.4 (1–30)

aA total of 871 freshwater fishes in 19 species were examined.

bNo. of metacercariae detected (Av: average).

cNo. of ZTM positive fish/No. of fish examined in ZTM positive species×100.

Table 1 Infection status of Clonorchis sinensis metacercariae (CsMc) in fishes from Deokcheon-gang in Sancheong-gun, Gyeongsangnam-do, Korea
Table 2 Infection status of Metagonimus spp. metacercariae (MsMc) in fishes from Deokcheon-gang in Sancheong-gun, Gyeongsangnam-do, Korea
Table 3 Infection status of freshwater fish with zoonotic trematode metacercariae (ZTM) by fish species from Deokcheon-gang, in Sancheong-gun, Gyeongsangnam-do, Korea

A total of 871 freshwater fishes in 19 species were examined.

No. of metacercariae detected (Av: average).

No. of ZTM positive fish/No. of fish examined in ZTM positive species×100.