Skip to main navigation Skip to main content
  • KSPTM
  • E-Submission

PHD : Parasites, Hosts and Diseases

OPEN ACCESS
ABOUT
BROWSE ARTICLES
FOR CONTRIBUTORS

Page Path

  • HOME
  • BROWSE ARTICLES
  • Most cited articles
90
results for

Most cited articles

Article category

Keywords

Publication year

Authors

Funded articles

Most cited articles

From articles published in Parasites, Hosts and Diseases during the past two years (2023 ~ ).

Brief Communications

Monitoring antimalarial drug-resistance markers in Somalia
Abdifatah Abdullahi Jalei, Kesara Na-Bangchang, Phunuch Muhamad, Wanna Chaijaroenkul
Parasites Hosts Dis 2023;61(1):78-83.
Published online February 22, 2023
DOI: https://doi.org/10.3347/PHD.22140
The use of an effective antimalarial drug is the cornerstone of malaria control. However, the development and spread of resistant Plasmodium falciparum strains have placed the global eradication of malaria in serious jeopardy. Molecular marker analysis constitutes the hallmark of the monitoring of Plasmodium drug-resistance. This study included 96 P. falciparum PCR-positive samples from southern Somalia. The P. falciparum chloroquine resistance transporter gene had high frequencies of K76T, A220S, Q271E, N326S, and R371I point mutations. The N86Y and Y184F mutant alleles of the P. falciparum multidrug resistance 1 gene were present in 84.7 and 62.4% of the isolates, respectively. No mutation was found in the P. falciparum Kelch-13 gene. This study revealed that chloroquine resistance markers are present at high frequencies, while the parasite remains sensitive to artemisinin (ART). The continuous monitoring of ART-resistant markers and in vitro susceptibility testing are strongly recommended to track resistant strains in real time.

Citations

Citations to this article as recorded by  Crossref logo
  • Preventive interventions and diagnostic testing compliance in the management of tropical infections among patients with sickle cell disease in Tanzania
    Felician Paschal Mgasa, Singeun Oh, Avelina Mgasa, Sunjoo Kang, Erasto Mbugi, Ju Yeong Kim
    Parasites, Hosts and Diseases.2025; 63(2): 147.     CrossRef
  • Influence of genetic factors of humans, mosquitoes and parasites, on the evolution of Plasmodium falciparum infections, malaria transmission and genetic control methods: a review of the literature
    Seni Nikiema, Issiaka Soulama, Gifty Dufie Ampofo, Moustapha Nikiema, Abdou Azaque Zouré, Salif Sombié, Salam Sawadogo, Nicolas Ouedraogo, Samuel Sindie Sermé, Haffsatou Sawadogo, Raïssa Ily, Guillène Y. N. Tibiri, Djamila O. A. Zouré, Nassandba Julien Ya
    BMC Medical Genomics.2025;[Epub]     CrossRef
  • Investigating the relationship between Pfkelch13 mutations and response to artemisinin-based treatment for uncomplicated falciparum malaria: a protocol for a systematic review and individual patient data meta-analysis
    Stephanie van Wyk, Prabin Dahal, Chistevy Vouvoungui, Dhol S Ayuen, Farhad Shokraneh, Aboubakar Soma, James A Watson, Philippe Guerin, Karen I Barnes
    BMJ Open.2025; 15(7): e100251.     CrossRef
  • Understanding the global rise of artemisinin resistance: Insights from over 100,000 Plasmodium falciparum samples
    Andrew J Balmer, Nina FD White, Eyyüb S Ünlü, Chiyun Lee, Richard D Pearson, Jacob Almagro-Garcia, Cristina Ariani
    eLife.2025;[Epub]     CrossRef
  • Emergence of Plasmodium falciparum strains with artemisinin partial resistance in East Africa and the Horn of Africa: is there a need to panic?
    Ashenafi Assefa, Abebe A. Fola, Geremew Tasew
    Malaria Journal.2024;[Epub]     CrossRef
  • Therapeutic efficacy and safety of artemether-lumefantrine for uncomplicated Plasmodium falciparum malaria treatment in Metehara, Central-east Ethiopia
    Mahelet Tesfaye, Ashenafi Assefa, Henok Hailgiorgis, Bokretsion Gidey, Hussein Mohammed, Getachew Tollera, Geremew Tasew, Gudissa Assefa, Worku Bekele, Hassen Mamo
    Malaria Journal.2024;[Epub]     CrossRef
  • Update on antimicrobial resistance in Somalia: Current status, challenges, opportunities, and future perspectives
    Shafie Abdulkadir Hassan, Ahmed Mohamed Dirie, Nur Rashid Ahmed, Abdifetah Ibrahim Omar
    Heliyon.2024; 10(20): e39434.     CrossRef
  • Emerging threat of artemisinin partial resistance markers (pfk13 mutations) in Plasmodium falciparum parasite populations in multiple geographical locations in high transmission regions of Uganda
    Bosco B. Agaba, Jye Travis, David Smith, Simon P. Rugera, Maria G. Zalwango, Jimmy Opigo, Charles Katureebe, Ruth Mpirirwe, Dembo Bakary, Martin Antonio, Beshir Khalid, Joseph Ngonzi, Moses R. Kamya, Pontiano Kaleebu, Peter Piot, Qin Cheng
    Malaria Journal.2024;[Epub]     CrossRef
  • Geospatial Analysis of Malaria Burden in Kagera Region, Northwestern Tanzania Using Health Facility and Community Survey Data
    Daniel A Petro, Nyimvua Shaban, Sijenunu Aaron, Frank Chacky, Samuel Lazaro, Maciej F Boni, Deus S Ishengoma
    Open Forum Infectious Diseases.2024;[Epub]     CrossRef
  • 4,600 View
  • 180 Download
  • 8 Web of Science
  • Crossref
Species identification and pyrethroid resistance genotyping of recently resurgent Cimex lectularius and Cimex hemipterus in Korea
Susie Cho, Heung Chul Kim, Hoonsik Eom, Jae Rok Lee, Chung Hyun Ko, E-hyun Shin, Won Kyu Lee, Si Hyeock Lee, Ju Hyeon Kim
Parasites Hosts Dis 2024;62(2):251-256.
Published online May 27, 2024
DOI: https://doi.org/10.3347/PHD.24002
The global resurgence of bed bug infestations, exacerbated by increasing international travel, trade, and insecticide resistance, has significantly impacted Korea. This study identified the bed bug species and performed pyrethroid resistance genotyping of recently resurgent bed bugs in Korea. Thirty-one regional bed bug samples were collected from 5 administrative regions: Gyeonggi-do (n=14), Seoul (n=13), Busan (n=2), Jeonllanam-do (n=1), and Chungcheongbuk-do (n=1). The samples underwent morphological and molecular identification. Twenty-four regional samples (77.4%) were identified as the tropical bed bug, Cimex hemipterus, and the remaining 7 regional samples (22.6%) were identified as the common bed bug, Cimex lectularius. The C. hemipterus regional samples carried at least three mutations associated with knockdown resistance (kdr), including 2 super-kdr mutations. The 7 C. lectularius regional samples possessed at least one of the 3 kdr-related mutations associated with pyrethroid resistance. This study confirms that the prevalent bed bug species recently in Korea is C. hemipterus, replacing the previously endemic C. lectularius. Additionally, the rise in bed bug populations with pyrethroid resistance underscores the necessity of introducing alternative insecticides.

Citations

Citations to this article as recorded by  Crossref logo
  • Widespread fixation of kdr-associated mutations in temporal samples of Cimex lectularius collected from multi-unit buildings
    Jin-Jia Yu, Warren Booth, Changlu Wang
    Journal of Pest Science.2026;[Epub]     CrossRef
  • Multiple mechanisms associated with deltamethrin and imidacloprid resistance in field-collected common bed bug, Cimex lectularius L.
    Jin-Jia Yu, Shao-Hung Lee, Chow-Yang Lee, Changlu Wang
    Pesticide Biochemistry and Physiology.2025; 210: 106357.     CrossRef
  • Global Perspective of Insecticide Resistance in Bed Bugs and Management Options
    Chow‐Yang Lee
    Entomological Research.2025;[Epub]     CrossRef
  • Molecular identification and knockdown resistance mutation of bed bugs involved in 2019 outbreak in Cape Coast, Ghana and Munich, Germany
    Andreas A. Kudom, Philipp Hanke, Joana Ayettey, Rofela Combey, Ben A. Mensah, Benjamin Anderson, Andreas Wieser
    Acta Tropica.2025; 265: 107623.     CrossRef
  • Toxicity of ivermectin to bed bugs (Cimex hemipterus) and risk factors associated with infestation in Kwale County, coastal Kenya
    Tobias Odongo, Isaiah Omondi, Caroline Wanjiku, Miguel Okoko, Caroline Kiuru, Mercy Kariuki, Isaac Ringera, Bruno Otieno, Festus Mure, Joanna Furnival-Adams, Almudena Sanz Gutierrez, Rachel Otuko, Nelly Regina Rabinovich, Joseph Mwangangi, Carlos Chaccour
    Parasites & Vectors.2025;[Epub]     CrossRef
  • Current status of bed bug Cimex lectularius (Hemiptera: Cimicidae) infestation and prevalence of insecticide-resistant amino acid substitutions in Osaka Prefecture, Japan
    Maaya Sasaki
    Medical Entomology and Zoology.2025; 76(2): 45.     CrossRef
  • Development of molecular diagnostic protocols for simultaneous identification of common bed bugs (Cimex lectularius) and tropical bed bugs (Cimex hemipterus)
    Jeong Heum Han, Junhyeong Choi, Susie Cho, Si Hyeock Lee, Ju Hyeon Kim
    Parasites & Vectors.2024;[Epub]     CrossRef
  • 2023–2024년 국내에서 발생한 빈대의 분포 조사
    기훈 김, 선란 조, 희일 이
    Public Health Weekly Report.2024; 17(45): 1956.     CrossRef
  • 3,477 View
  • 75 Download
  • 6 Web of Science
  • Crossref
Lophomonas blattarum-like organism in bronchoalveolar lavage from a pneumonia patient: current diagnostic scheme and polymerase chain reaction can lead to false-positive results
Moses Lee, Sang Mee Hwang, Jong Sun Park, Jae Hyeon Park, Jeong Su Park
Parasites Hosts Dis 2023;61(2):202-209.
Published online May 23, 2023
DOI: https://doi.org/10.3347/PHD.22107
Lophomonas blattarum is an anaerobic protozoan living in the intestine of cockroaches and house dust mites, with ultramicroscopic characteristics such as the presence of a parabasal body, axial filament, and absence of mitochondria. More than 200 cases of Lophomonas infection of the respiratory tract have been reported worldwide. However, the current diagnosis of such infection depends only on light microscopic morphological findings from respiratory secretions. In this study, we attempted to provide more robust evidence of protozoal infection in an immunocompromised patient with atypical pneumonia, positive for Lophomonas-like protozoal cell forms. A direct search of bronchoalveolar lavage fluid via polymerase chain reaction (PCR), transmission electron microscopy (TEM), and metagenomic next-generation sequencing did not prove the presence of protozoal infection. PCR results were not validated with sufficient rigor, while de novo assembly and taxonomic classification results did not confirm the presence of an unidentified pathogen. The TEM results implied that such protozoal forms in light microscopy are actually non-detached ciliated epithelial cells. After ruling out infectious causes, the patient’s final diagnosis was drug-induced pneumonitis. These findings underscore the lack of validation in the previously utilized diagnostic methods, and more evidence in the presence of L. blattarum is required to further prove its pathogenicity.

Citations

Citations to this article as recorded by  Crossref logo
  • Pulmonary infection by Lophomonas spp. and Aspergillus spp. in a B-cell acute lymphocytic leukemia patient from Chile
    Isabel Iturrieta-González, Enzo Moenen-Locoz, Alejandro Hidalgo, Fernando Vega, Johanna Cabrera, Carla Concha, Carolina Chahin, Javier Briones, Flery Fonseca-Salamanca
    Parasitology International.2025; 104: 102971.     CrossRef
  • A Reação em Cadeia da Polimerase (PCR) como estratégia de diagnóstico e monitoramento nas protozooses: uma revisão integrativa
    Luiza Valente Breda Libardi, Juliana Gouveia da Silva, Danieli Perini Alvares, Clara Fagundes Marely, Bruno Serafini Venturini, Guilherme Frinhani Bernardineli, Filipe Salume Lima Nogueira, Adelson Luiz Ferreira, Rodrigo Moraes, Priscila Pinto e Silva do
    Clinics Biopsychosocial.2025; 3(1): 58.     CrossRef
  • First Report of the Pulmonary Parasite Lophomonas blattarum in Ahvaz Province, Khuzestan: Case Report and Literature Review
    Mojtaba Aghaei, Hanieh Raji, Seyed Sobhan Bahreiny, Mohammad Amin Vahid, Najmaldin Saki
    Advanced Biomedical Research.2025;[Epub]     CrossRef
  • The diagnostic ambiguity for Polymerase Chain Reaction in the detection of Lophomonas blattarum
    Canan Doğu Tok, Funda Dogruman Al
    Middle Black Sea Journal of Health Science.2025; 11(4): 356.     CrossRef
  • First Molecular Evidence of Emerging Lophomonas Pathogen Among Patients Suspected of Having Pulmonary Tuberculosis in Mazandaran Province, Northern Iran
    Hossein Veisi, Abdollah Malakian, Mahdi Fakhar, Ali Sharifpour, Maryam Nakhaei, Mostafa Soleymani, Seyed Reza Mosave, Nader Ahangar, Seyed Hosien Seyedpour
    Acta Parasitologica.2024; 69(1): 1041.     CrossRef
  • Imaging patterns of Lophomonas blattarum infection in the respiratory tract: a registry-based analysis
    Amirmasoud Taheri, Mahdi Fakhar, Ali Sharifpour, Elhamsadat Banimostafavi, Sepideh SafaNavaei, Siavash Abedi, Hossein Mehravaran, Masoud Aliyali, Ahmad Shafahi, Asieh Delpzir
    BMC Infectious Diseases.2024;[Epub]     CrossRef
  • Case series of complicated bronchopulmonary lophomoniasis. Differential diagnosis of tuberculosis?
    Cristian Morán-Mariños, Juan Salas López, Felix Llanos-Tejada, Renato Casanova-Mendoza, Renzo Villanueva-Villegas, Antonella Chavez-Huamani, Kenneth G. Vargas-Ponce, Margaret Condori-Zevallos
    European Clinical Respiratory Journal.2024;[Epub]     CrossRef
  • Infliximab

    Reactions Weekly.2023; 1969(1): 197.     CrossRef
  • 4,318 View
  • 255 Download
  • 6 Web of Science
  • Crossref
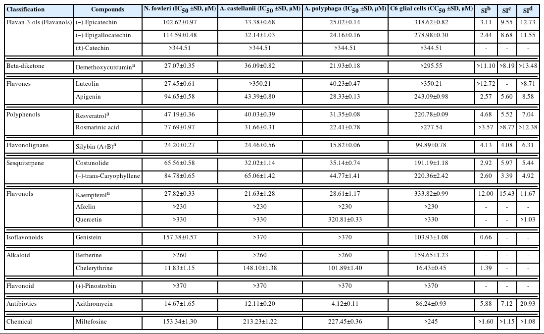
Antiamoebic activities of flavonoids against pathogenic free-living amoebae, Naegleria fowleri and Acanthamoeba species
Hương Giang Lê, Tuấn Cường Võ, Jung-Mi Kang, Thu Hằng Nguyễn, Buyng-Su Hwang, Young-Taek Oh, Byoung-Kuk Na
Parasites Hosts Dis 2023;61(4):449-454.
Published online November 28, 2023
DOI: https://doi.org/10.3347/PHD.23078
Free-living amoebae (FLA) rarely cause human infections but can invoke fatal infections in the central nervous system (CNS). No consensus treatment has been established for FLA infections of the CNS, emphasizing the urgent need to discover or develop safe and effective drugs. Flavonoids, natural compounds from plants and plant-derived products, are known to have antiprotozoan activities against several pathogenic protozoa parasites. The anti-FLA activity of flavonoids has also been proposed, while their antiamoebic activity for FLA needs to be emperically determined. We herein evaluated the antiamoebic activities of 18 flavonoids against Naegleria fowleri and Acanthamoeba species which included A. castellanii and A. polyphaga. These flavonoids showed different profiles of antiamoebic activity against N. fowleri and Acanthamoeba species. Demethoxycurcumin, kaempferol, resveratrol, and silybin (A+B) showed in vitro antiamoebic activity against both N. fowleri and Acanthamoeba species. Apigenin, costunolide, (‒)-epicatechin, (‒)-epigallocatechin, rosmarinic acid, and (‒)-trans-caryophyllene showed selective antiamoebic activity for Acanthamoeba species. Luteolin was more effective for N. fowleri. However, afzelin, berberine, (±)-catechin, chelerythrine, genistein, (+)-pinostrobin, and quercetin did not exhibit antiamoebic activity against the amoeba species. They neither showed selective antiamoebic activity with significant cytotoxicity to C6 glial cells. Our results provide a basis for the anti-FLA activity of flavonoids, which can be applied to develope alternative or supplemental therapeutic agents for FLA infections of the CNS.

Citations

Citations to this article as recorded by  Crossref logo
  • Effectiveness of phytoproducts against pathogenic free-living amoebae - A scoping and critical review paving the way toward plant-based pharmaceuticals
    Beni Jequicene Mussengue Chaúque, Thaisla Cristiane Borella da Silva, Eduardo Brittes Rott, Felipe Brittes Rott, Ana Paula Marçal Copetti Leite, Guilherme Brittes Benitez, Neuana Fernando Neuana, José Roberto Goldim, Marilise Brittes Rott, Régis Adriel Za
    Fitoterapia.2025; 182: 106404.     CrossRef
  • Unveiling phenolic content, antibacterial, and antibiofilm potential of sacha inchi (Plukenetia volubilis L.) seed shell extracts against Staphylococcus aureus
    Gadah A. Al-Hamoud, Musarat Amina, Reem Hamoud Alrashoudi, Ayesha Mateen, Farah Maqsood, Hanan M. Al-Yousef
    PeerJ.2025; 13: e19524.     CrossRef
  • A xanthone O-glucoside isolated from Iris setosa Pall. ex Link exhibits promising anti-amoebic activity against the brain-eating amoeba Naegleria fowleri
    Hương Giang Lê, Buyng Su Hwang, Ji-Su Choi, Yong Tae Jeong, Tuấn Cường Võ, Minkyoung Cho, Yeonchul Hong, Jeong Ho Kim, Young Taek Oh, Byoung-Kuk Na
    Phytomedicine.2025; 147: 157199.     CrossRef
  • From nose to neurons: The lethal journey of the brain-eating amoeba Naegleria fowleri
    Arindam Mitra, Débora Brito Goulart
    The Microbe.2025; 8: 100537.     CrossRef
  • (‒)-Epicatechin reveals amoebicidal activity against Acanthamoeba castellanii by activating the programmed cell death pathway
    Hương Giang Lê, Jung-Mi Kang, Tuấn Cường Võ, Won Gi Yoo, Yeonchul Hong, Byoung-Kuk Na
    Phytomedicine.2024; 125: 155389.     CrossRef
  • The potential of nanocomposites (patuletin-conjugated with gallic acid-coated zinc oxide) against free-living amoebae pathogens
    Ruqaiyyah Siddiqui, Bushra Khatoon, Muhammad Kawish, Sreedevi Sajeev, Shaheen Faizi, Muhammad Raza Shah, Ahmad M. Alharbi, Naveed Ahmed Khan
    International Microbiology.2024; 28(5): 929.     CrossRef
  • A Comprehensive Review on the Antibacterial, Antifungal, Antiviral, and Antiparasitic Potential of Silybin
    José Lima Pereira-Filho, Amanda Graziela Gonçalves Mendes, Carmem Duarte Lima Campos, Israel Viegas Moreira, Cinara Regina Aragão Vieira Monteiro, Suzany Hellen da Silva Soczek, Elizabeth Soares Fernandes, Rafael Cardoso Carvalho, Valério Monteiro-Neto
    Antibiotics.2024; 13(11): 1091.     CrossRef
  • 3,816 View
  • 190 Download
  • 7 Web of Science
  • Crossref

Mini Review

Inflammatory response to Trichomonas vaginalis in the pathogenesis of prostatitis and benign prostatic hyperplasia
Ik-Hwan Han, Jung-Hyun Kim, Jae-Sook Ryu
Parasites Hosts Dis 2023;61(1):2-14.
Published online February 22, 2023
DOI: https://doi.org/10.3347/PHD.22160
Trichomonas vaginalis is a flagellated protozoan that causes trichomoniasis, a common nonviral sexually transmitted infection. T. vaginalis infection is asymptomatic in most infected men but can lead to chronic infection. The inflammatory response to chronic T. vaginalis infection may contribute to prostatic diseases, such as prostatitis and benign prostatic hyperplasia (BPH); however, studies on the relationship between T. vaginalis infection and prostate diseases are scarce. In this review, we discuss evidence from our studies on the involvement of T. vaginalis in the pathogenesis of prostate diseases, such as prostatitis and BPH. Studies of prostatitis have demonstrated that the attachment of T. vaginalis trophozoite to prostate epithelial cells (PECs) induces inflammatory cytokine production and inflammatory cell migration, leading to prostatitis. T. vaginalis also causes pathological changes, such as inflammatory cell infiltration, acinar changes, interstitial fibrosis, and mast cell infiltration, in prostate tissues of infected rats. Thus, T. vaginalis is considered an infectious agent that triggers prostatitis. Meanwhile, studies of prostatic hyperplasia revealed that mast cells activated by T. vaginalis-infected prostate cells secreted inflammatory mediators, such as β-hexosaminidase and tryptase, which promoted proliferation of prostate stromal cell (PSC). Moreover, interleukin-6 produced by proliferating PSCs induced the multiplication of BPH-1 epithelial cells as a result of stromal–epithelial interaction, suggesting that the proliferation of T. vaginalis-infected prostate cells can be induced through crosstalk with mast cells. These collective findings suggest that T. vaginalis contributes to the progression of prostatitis and prostatic hyperplasia by creating an inflammatory microenvironment involving PECs and PSCs.

Citations

Citations to this article as recorded by  Crossref logo
  • Immunomodulatory roles of autophagic flux and IFIT in human ectocervical cells upon Trichomonas vaginalis infection
    Ching-Chun Liu, Lichieh Julie Chu, Yuan-Ming Yeh, Hsin-Chung Lin, Lih-Chyang Chen, Ching-Yun Huang, Shu-Fang Chiu, Fang-Wen Cheng, Wei-Ning Lin, Kuo-Yang Huang
    International Immunopharmacology.2025; 155: 114643.     CrossRef
  • Detection of trichomonads in induced sputum from asthma patients in Korea
    Myung-hee Yi, Myungjun Kim, Jun Ho Choi, Yoon Hee Cho, Hyun Kyung Oh, Jung-Won Park, Ju Yeong Kim
    Parasites, Hosts and Diseases.2025; 63(3): 254.     CrossRef
  • Interplay of obesity and parasitic infection: current evidence of immunogenesis, tumorigenesis and leptin receptor involvement
    Enas El Saftawy, Mansour Alghamdi, Basma Emad Aboulhoda
    Nutrition & Metabolism.2025;[Epub]     CrossRef
  • The Past, Present, and Future in the Diagnosis of a Neglected Sexually Transmitted Infection: Trichomoniasis
    Alexandra Ibáñez-Escribano, Juan José Nogal-Ruiz
    Pathogens.2024; 13(2): 126.     CrossRef
  • Evaluation of the clinical application value of cytokine expression profiles in the differential diagnosis of prostate cancer
    Rongfa Chen, Linna Liu, Hui Chen, Chao Xing, Tingting Zhang, Yilin Pang, Xunjun Yang
    Cancer Immunology, Immunotherapy.2024;[Epub]     CrossRef
  • CysLT receptor-mediated NOX2 activation is required for IL-8 production in HMC-1 cells induced by Trichomonas vaginalis-derived secretory products
    Young Ah Lee, Myeong Heon Shin
    Parasites, Hosts and Diseases.2024; 62(3): 270.     CrossRef
  • Dynamin 2-mediated endocytosis of BLT1 is required for IL-8 production in HMC-1 cells induced by Trichomonas vaginalis-derived secretory products
    Young Ah Lee, Myeong Heon Shin
    Parasites, Hosts and Diseases.2024; 62(3): 281.     CrossRef
  • 8,321 View
  • 283 Download
  • 8 Web of Science
  • Crossref

Case Report

Diagnosing Balamuthia mandrillaris amebic meningoencephalitis in a 64-year-old woman from the Southwest of China
Suhua Yao, Xiaoting Chen, Lian Qian, Shizheng Sun, Chunjing Zhao, Zongkai Bai, Zhaofang Chen, Youcong Wu
Parasites Hosts Dis 2023;61(2):183-193.
Published online May 23, 2023
DOI: https://doi.org/10.3347/PHD.23039
Balamuthia mandrillaris amebic encephalitis (BAE) can cause a fatal condition if diagnosis is delayed or effective treatment is lacking. Patients with BAE have been previously reported in 12 provinces of China, with skin lesions being the primary symptom and encephalitis developing after several years. However, a significantly lower number of cases has been reported in Southwest China. Here we report an aggressive BAE case of a 64-year-old woman farmer with a history of skin lesions on her left hand. She was admitted to our hospital due to symptoms of dizziness, headache, cough, vomiting, and gait instability. She was initially diagnosed with syphilitic meningoencephalitis and received a variety of empirical treatment that failed to improve her symptoms. Finally, she was diagnosed with BAE combined with amebic pneumonia using next-generation sequencing (NGS), qRT-PCR, sequence analysis, and imaging studies. She died approximately 3 weeks after the onset. This case highlights that the rapid development of encephalitis can be a prominent clinical manifestation of Balamuthia mandrillaris infection.

Citations

Citations to this article as recorded by  Crossref logo
  • The role of plasma metagenomic sequencing in identification of Balamuthia mandrillaris encephalitis
    Sarah Y. Edminster, Ryan W. Rebbe, Christopher Khatchadourian, Kyle M. Hurth, Anna J. Mathew, Julie Huss-Bawab, Mark S. Shiroishi, Devin Clark, Andrew P. Norgan, Susan M. Butler-Wu, Annie Hiniker
    Acta Neuropathologica Communications.2025;[Epub]     CrossRef
  • Balamuthia amoebic encephalitis directly causing intracranial infection: A case report
    Yuhan Liang, Yanhong Liu, Zelong Chen, Jiayi Sun, Xuemeng Zhang, Yulin Wang
    Radiology Case Reports.2025; 20(6): 2820.     CrossRef
  • Pulmonary infection due to Balamuthia mandrillaris in the southwestern United States: not all miliary disease is tuberculosis and coccidioidomycosis
    N. B. Price, H. Pariury, J. Papic, M. R. Anthony, W. Lainhart, K. W. Shehab, Carey-Ann D. Burnham
    ASM Case Reports.2025;[Epub]     CrossRef
  • Applications of the powerful next-generation sequencing tool for detecting parasitic infections: towards a smart laboratory platform
    Bahareh Basirpour, Rabeeh Tabaripour, Farzane Jafarian, Mahdi Fakhar, Hajar Ziaei Hezarjaribi, Shirzad Gholami
    Microbial Pathogenesis.2025; 206: 107746.     CrossRef
  • Next-Generation Sequencing for Diagnosis of Fatal Balamuthia Amoebic Encephalitis: A Case Report
    Yuanyuan Feng, Huiyu Feng, Xuegao Yu, Jing Zhao, Hongyan Zhou, Jiaoxing Li, Peisong Chen, Li Feng
    Diagnostics.2025; 15(20): 2590.     CrossRef
  • Dexamethasone/fructose/glycerol/sodium-chloride/mannitol

    Reactions Weekly.2023; 1970(1): 114.     CrossRef
  • 5,275 View
  • 188 Download
  • 3 Web of Science
  • Crossref

Original Articles

Probiotic-induced changes in intestinal microbiome inhibits Toxoplasma gondii infection
Hak-Jae Lee, Do-Won Ham, Seung-Hwan Seo, Guang-Ho Cha, Eun-Hee Shin
Parasites Hosts Dis 2024;62(4):408-423.
Published online November 22, 2024
DOI: https://doi.org/10.3347/PHD.24068
Toxoplasma gondii primarily invades the central nervous system, causing latent infections. Cysts persist in the host for life and there is currently no effective treatment. T. gondii infects human hosts through contaminated meat, invading the intestinal tissue and leading to changes in the number and composition of the gut microbiota. Since probiotic ingestion modulates intestinal microbiota changes, we hypothesized that intestinal microbiota dysbiosis caused by T. gondii infection would be restored following probiotic supplementation. To this end, we orally infected C57BL/6 mice with 10 T. gondii cysts and administered supplemental probiotics daily. We analyzed the levels of T. gondii B1 gene DNA, indicative of T. gondii infection, in brain tissue. We investigated alterations in the gut microbiota composition and functional pathways between the probiotic and non-probiotic treatment groups via next-generation sequencing analysis of each fecal sample. The infection level in the probiotic-treated group was significantly reduced after 4 weeks (p<0.05). Probiotic supplementation notably changed the gut microbiota after 2 weeks of infection, increasing the relative abundance of Intestinimonas massiliensis and Lawsonibacter asaccharolyticus. Probiotic supplements appear to modulate the gut microbiota, activating functional pathways involved in intestinal short-chain fatty acid production and strengthening the intestinal barrier, thereby impeding T. gondii infection and subsequent proliferation. Our findings provide valuable insights into T. gondii infection control and future study directions.

Citations

Citations to this article as recorded by  Crossref logo
  • Lactobacillus vaginalis alleviates DSS induced colitis by regulating the gut microbiota and increasing the production of 3-indoleacrylic acid
    Zhuoya Wang, Tian Liu, Li Liu, Jian Xie, Furui Tang, Yimin Pi, Yuchun Zhong, Zhidong He, Wenming Zhang, Cihua Zheng
    Pharmacological Research.2025; 213: 107663.     CrossRef
  • Gut microbiota-derived butyrate alleviates the impairment of mice intestinal integrity caused by Toxoplasma gondii infection
    Shuni Liu, Yutao Zheng, Bingqian Cui, Jiayi Yang, Bohui Yuan, Yuhan Cao, Zimu Zhao, Zhuo Sun, Qingling Wang, Xiaoying Yang, Wei Pan, Cheng He
    Life Sciences.2025; 374: 123709.     CrossRef
  • Analysis of Gut Microbiota and Assessment of Environmental Health in Western Anatolian Vole (Microtus lydius Blackler, 1916)
    Tuba Yağcı, Gözde Ayseçkin
    Journal of Anatolian Environmental and Animal Sciences.2025; 10(4): 471.     CrossRef
  • Microbiome of Dipteran vectors associated with integron and antibiotic resistance genes in South Korea
    Xavier Chavarria, Arwa Shatta, Hyun Seo Park, Du-Yeol Choi, Dongjun Kang, Singeun Oh, Dawon Lee, Myungjun Kim, Jun Ho Choi, Yoon Hee Cho, Myung-hee Yi, Ju Yeong Kim
    Acta Tropica.2025; 271: 107858.     CrossRef
  • Urban environmental drivers of eukaryotic microbiota and parasite prevalence in domestic pigeon faeces: a metabarcoding-based public health risk assessment in Seoul, South Korea
    Singeun Oh, Jun Ho Choi, Xavier Chavarria, Myungjun Kim, Dongjun Kang, Myung-hee Yi, Yoon Hee Cho, In-Yong Lee, Tai-Soon Yong, Seongjun Choe, Ju Yeong Kim
    Journal of The Royal Society Interface.2025;[Epub]     CrossRef
  • 2,792 View
  • 95 Download
  • 4 Web of Science
  • Crossref
The detection of Toxoplasma gondii ME49 infections in BALB/c mice using various techniques
Hae-Ji Kang, Jie Mao, Min-Ju Kim, Keon-Woong Yoon, Gi-Deok Eom, Ki-Back Chu, Eun-Kyung Moon, Fu-Shi Quan
Parasites Hosts Dis 2023;61(4):418-427.
Published online November 28, 2023
DOI: https://doi.org/10.3347/PHD.23048
Toxoplasma gondii infections are primarily diagnosed by serological assays, whereas molecular and fluorescence-based techniques are garnering attention for their high sensitivity in detecting these infections. Nevertheless, each detection method has its limitations. The toxoplasmosis detection capabilities of most of the currently available methods have not been evaluated under identical experimental conditions. This study aimed to assess the diagnostic potential of enzyme-linked immunosorbent assay (ELISA), real-time polymerase chain reaction (RT-PCR), immunohistochemistry (IHC), and immunofluorescence (IF) in BALB/c mice experimentally infected with various doses of T. gondii ME49. The detection of toxoplasmosis from sera and brain tissues was markedly enhanced in mice subjected to high infection doses (200 and 300 cysts) compared to those subjected to lower doses (10 and 50 cysts) for all the detection methods. Additionally, increased B1 gene expression levels and cyst sizes were observed in the brain tissues of the mice. Importantly, IHC, IF, and ELISA, but not RT-PCR, successfully detected T. gondii infections at the lowest infection dose (10 cysts) in the brain. These findings may prove beneficial while designing experimental methodologies for detecting T. gondii infections in mice.

Citations

Citations to this article as recorded by  Crossref logo
  • Spatiotemporal Diffusion, Colonization, and Antibody Responses in Susceptible C57BL/6J Mice Orally Infected with Toxoplasma gondii Cysts
    Zhao Li, Qi-Shuai Liu, Jun-Jie Hu, Cai-Qin Deng, Tao Li, Wen-Bin Zheng, Xing-Quan Zhu, Feng-Cai Zou
    Veterinary Sciences.2025; 12(3): 212.     CrossRef
  • Ivermectin Identified Using a High-Throughput Screening System Exhibits Anti-Clonorchis sinensis Activity in Rats
    Soon-Ok Lee, Hyeryon Lee, Ki Back Chu, Jianhua Li, Sung-Jong Hong, Sung Soo Kim, Joo Hwan No, Fu-Shi Quan
    Antibiotics.2025; 14(8): 837.     CrossRef
  • Recombinant vaccinia virus expressing MIC8, AMA1, or RON4 induce protection against Toxoplasma gondii ME49 strain infection
    Hae-Ji Kang, Fu-Shi Quan
    Acta Tropica.2025; 270: 107812.     CrossRef
  • Protective Efficacy Induced by Virus-like Particles Expressing Dense Granule Protein 5 of Toxoplasma gondii
    Su In Heo, Hae-Ji Kang, Jie Mao, Zhao-Shou Yang, Md Atique Ahmed, Fu-Shi Quan
    Vaccines.2025; 13(8): 787.     CrossRef
  • Vaccinia virus expressing MIC8 and AMA1 provides protection against Toxoplasma gondii ME49 infection
    Hae-Ji Kang, Yan Jin, Zhao-Shou Yang, Md Atique Ahmed, Fu-Shi Quan
    Parasites, Hosts and Diseases.2025; 63(4): 340.     CrossRef
  • 3,087 View
  • 147 Download
  • 4 Web of Science
  • Crossref

Brief Communications

Update on the risk factors for opisthorchiasis and cholangiocarcinoma in Thailand
Sattrachai Prasopdee, Thittinan Rojthongpond, Yanwadee Chitkoolsamphan, Montinee Pholhelm, Siraphatsorn Yusuk, Junya Pattaraarchachai, Kritiya Butthongkomvong, Jutharat Kulsantiwong, Teva Phanaksri, Anthicha Kunjantarachot, Smarn Tesana, Thanakrit Sathavornmanee, Veerachai Thitapakorn
Parasites Hosts Dis 2023;61(4):463-470.
Published online November 28, 2023
DOI: https://doi.org/10.3347/PHD.23032
This study aimed to identify the recent risk factors for Opisthorchis viverrini infection and cholangiocarcinoma (CCA) to improve disease prevention. The participants were divided into the following 3 groups based on their health status: healthy control (nonOV and nonCCA), those with O. viverrini infection (OV), and those with CCA. A questionnaire was used to explore their lifestyle and behaviors. Multivariate logistic regression and backward elimination were used to identify the significant risk factors. The results showed that the significant risk factors for both O. viverrini infection and CCA were age>50 years (odd ratio (OR)=8.44, p<0.001, 95% confidence intervals (CI) 2.98–23.90 and OR=43.47, p=0.001, 95% CI 14.71–128.45, respectively) and raw fish consumption (OR=8.48, p< 0.001, 95% CI 3.18–22.63 and OR=3.15, p=0.048, 95% CI 1.01–9.86, respectively). A history of O. viverrini infection was identified as an additional risk factor for CCA (OR=20.93, p=0.011, 95% CI 2.04–215.10). This study provided an update on the risk factors for O. viverrini infection and CCA. Asymptomatic patients with O. viverrini infection, particularly those>50 years old, should be carefully monitored to prevent CCA.

Citations

Citations to this article as recorded by  Crossref logo
  • Influence of knowledge, attitude and self‐efficacy on Opisthorchis viverrini and cholangiocarcinoma prevention: A One Health approach in high‐risk areas of Thailand
    Worathon Busabong, Nopparat Songserm, Somkiattiyos Woradet, Banchob Sripa
    Tropical Medicine & International Health.2025; 30(2): 99.     CrossRef
  • Targeting tumor-associated genes, immune response, and circulating tumor cells in intrahepatic cholangiocarcinoma: Therapeutic potential of Atractylodes lancea (Thunb.) DC
    Pongsakorn Martviset, Pathanin Chantree, Nisit Tongsiri, Tullayakorn Plengsuriyakarn, Kesara Na-Bangchang, Keun-Yeong Jeong,
    PLOS One.2025; 20(5): e0323732.     CrossRef
  • Large-scale epidemiology of opisthorchiasis in 21 provinces in Thailand based on diagnosis by fecal egg examination and urine antigen assay and analysis of risk factors for infection
    Kulthida Y. Kopolrat, Chanika Worasith, Phattharaphon Wongphutorn, Anchalee Techasen, Chatanun Eamudomkarn, Jiraporn Sithithaworn, Watcharin Loilome, Nisana Namwat, Attapol Titapun, Chaiwat Tawarungruang, Bandit Thinkhamrop, Samarn Futrakul, Simon D. Tayl
    PLOS Neglected Tropical Diseases.2025; 19(7): e0013095.     CrossRef
  • Chronic opisthorchiasis invasion as a factor aggravating the development of cholangiocellular carcinoma. A literature review
    V. V. Ivanov, T. B. Komkova, E. A. Perina, L. Yu. Petrov, E. V. Udut, E. S. Khmelevskaya
    Siberian journal of oncology.2025; 24(5): 171.     CrossRef
  • Differential circulating miRNA profiles identified miR-423-5p, miR-93-5p, and miR-4532 as potential biomarkers for cholangiocarcinoma diagnosis
    Kittiya Supradit, Sattrachai Prasopdee, Teva Phanaksri, Sithichoke Tangphatsornruang, Montinee Pholhelm, Siraphatsorn Yusuk, Kritiya Butthongkomvong, Kanokpan Wongprasert, Jutharat Kulsantiwong, Amnat Chukan, Smarn Tesana, Veerachai Thitapakorn
    PeerJ.2024; 12: e18367.     CrossRef
  • 3,442 View
  • 159 Download
  • 4 Web of Science
  • Crossref
Eight cases of canine thelaziosis found in two localities in Korea
Seongjun Choe, Sunmin Kim, Tilak Chandra Nath, Jeong-Ho Kim
Parasites Hosts Dis 2023;61(3):325-331.
Published online August 21, 2023
DOI: https://doi.org/10.3347/PHD.23031
Thelazia callipaeda, a parasitic nematode that causes thelaziosis in various mammals, including humans, is known to be endemic in Korea. However, life cycle-related information on the parasite, primarily from human infection and a few dog cases, is limited. This study reports additional cases of T. callipaeda infections in dogs from both rural and urban areas in Korea, indicating the potential for transmission to humans and other animals. We collected 61 worms from 8 infected dogs from Paju and Cheongju Cities and observed their morphological characteristics under a light microscope. The findings indicate that T. callipaeda infections in animals in Korea may be underestimated and are distributed close to human environments. Our results contribute to the growing knowledge of the reservoir hosts of T. callipaeda in Korea and highlight the importance of continued surveillance and research to prevent and control this emerging zoonotic disease.

Citations

Citations to this article as recorded by  Crossref logo
  • Follicular conjunctivitis in a Border Collie dog caused by Thelazia callipaeda
    Georgi Terziev, Nikola Nizamov, Zvezdelina Kirkova
    Veterinary Record Case Reports.2025;[Epub]     CrossRef
  • Thelazia callipaeda (Nematoda: Spirurida) infections in 2 wildlife species, Prionailurus bengalensis and Nyctereutes procyonoides, in Korea
    Jinho Jang, Young-Seok Park, YoungMin Yun, Keeseon S. Eom, Seongjun Choe
    Parasites, Hosts and Diseases.2025; 63(1): 95.     CrossRef
  • Characteristics of canine thelaziasis in the Republic of Korea: a retrospective study (2022–2024)
    Eunjik Kim, Ye-In Oh, Youngwoo Park
    Journal of Veterinary Science.2025;[Epub]     CrossRef
  • Thelaziasis in humans: A systematic review of reported cases
    D. Katterine Bonilla-Aldana, Jorge Luis Bonilla-Aldana, Jaime David Acosta-España, Ranjit Sah, Alfonso J. Rodriguez-Morales
    New Microbes and New Infections.2025; 65: 101599.     CrossRef
  • Nematicidal Effects and Cytotoxicity of Levamisole on Thelazia callipaeda
    Zhengxuan Han, Yipeng Zhong, Ni Chen, Zichen Liu, Zhankui Yuan, Yipeng Jin
    Animals.2025; 15(11): 1551.     CrossRef
  • 9,722 View
  • 120 Download
  • 5 Web of Science
  • Crossref

Mini Review

Recent progress in vaccine development targeting pre-clinical human toxoplasmosis
Ki-Back Chu, Fu-Shi Quan
Parasites Hosts Dis 2023;61(3):231-239.
Published online August 21, 2023
DOI: https://doi.org/10.3347/PHD.22097
Toxoplasma gondii is an intracellular parasitic organism affecting all warm-blooded vertebrates. Due to the unavailability of commercialized human T. gondii vaccine, many studies have been reported investigating the protective efficacy of pre-clinical T. gondii vaccines expressing diverse antigens. Careful antigen selection and implementing multifarious immunization strategies could enhance protection against toxoplasmosis in animal models. Although none of the available vaccines could remove the tissue-dwelling parasites from the host organism, findings from these pre-clinical toxoplasmosis vaccine studies highlighted their developmental potential and provided insights into rational vaccine design. We herein explored the progress of T. gondii vaccine development using DNA, protein subunit, and virus-like particle vaccine platforms. Specifically, we summarized the findings from the pre-clinical toxoplasmosis vaccine studies involving T. gondii challenge infection in mice published in the past 5 years.

Citations

Citations to this article as recorded by  Crossref logo
  • PLGA nanoparticles as an efficient carrier in Toxoplasma GAP45: a more effective vaccine against acute toxoplasmosis than traditional ones
    Pan Zhou, YanLi Yu, WeiYu Qi, XiaoJuan Wang, YouLi Yu, JianDong Wang, Li Zhang, ZhengQing Yu, TingLi Liu
    Frontiers in Immunology.2025;[Epub]     CrossRef
  • Influenza virus-like particles presenting Toxoplasma gondii dense granule protein 7 protect mice from lethal ME49 challenge
    Jie Mao, Hae-Ji Kang, Su-In Heo, Fu-Shi Quan
    Nanomedicine.2025; 20(18): 2309.     CrossRef
  • Recombinant TgDDX3X DEAD-box protein confers partial protection in murine models of acute and chronic toxoplasmosis
    Shuai Wang, Jinghui Wang, Youke Fan, Haina Zhang, Junru Wu, Tingting Ying, Hangbin Ma, Qiangqiang Wang, Longkang Wang, Yuanfeng Wang, Xiaowei Tian, Xuefang Mei, Zhenchao Zhang, Zhenke Yang
    Acta Tropica.2025; 270: 107780.     CrossRef
  • Vaccinia virus expressing MIC8 and AMA1 provides protection against Toxoplasma gondii ME49 infection
    Hae-Ji Kang, Yan Jin, Zhao-Shou Yang, Md Atique Ahmed, Fu-Shi Quan
    Parasites, Hosts and Diseases.2025; 63(4): 340.     CrossRef
  • Evaluation of protective efficacy of recombinant Toxoplasma gondii DDX39 protein vaccine against acute and chronic T. gondii infection in mice
    Jinghui Wang, Yuanfeng Wang, Haina Zhang, Hangbin Ma, Qiangqiang Wang, Longkang Wang, Youke Fan, Xiaowei Tian, Xuefang Mei, Zhenchao Zhang, Shuai Wang, Zhenke Yang
    Acta Tropica.2024; 260: 107442.     CrossRef
  • 8,191 View
  • 139 Download
  • 4 Web of Science
  • Crossref

Original Article

Expression of cytokines and co-stimulatory molecules in the Toxoplasma gondii-infected dendritic cells of C57BL/6 and BALB/c mice
Jae-Hyung Lee, Jae-Min Yuk, Guang-Ho Cha, Young-Ha Lee
Parasites Hosts Dis 2023;61(2):138-146.
Published online May 23, 2023
DOI: https://doi.org/10.3347/PHD.22150
Toxoplasma gondii is an intracellular protozoan parasite which can infect most warm-blooded animals and humans. Among the different mouse models, C57BL/6 mice are more susceptible to T. gondii infection compared to BALB/c mice, and this increased susceptibility has been attributed to various factors, including T-cell responses. Dendritic cells (DCs) are the most prominent type of antigen-presenting cells and regulate the host immune response, including the response of T-cells. However, differences in the DC responses of these mouse strains to T. gondii infection have yet to be characterized. In this study, we cultured bone marrow-derived DCs (BMDCs) from BALB/c and C57BL/6 mice. These cells were infected with T. gondii. The activation of the BMDCs was assessed based on the expression of cell surface markers and cytokines. In the BMDCs of both mouse strains, we detected significant increases in the expression of cell surface T-cell co-stimulatory molecules (major histocompatibility complex (MHC) II, CD40, CD80, and CD86) and cytokines (tumor necrosis factor (TNF)-α, interferon (IFN)-γ, interleukin (IL)-12p40, IL-1β, and IL-10) from 3 h post-T. gondii infection. The expression of MHC II, CD40, CD80, CD86, IFN-γ, IL-12p40, and IL-1β was significantly higher in the T. gondii-infected BMDCs obtained from the C57BL/6 mice than in those from the BALB/c mice. These findings indicate that differences in the activation status of the BMDCs in the BALB/c and C57BL/6 mice may account for their differential susceptibility to T. gondii.

Citations

Citations to this article as recorded by  Crossref logo
  • Anti-tumor effects of Toxoplasma gondii and antigen-pulsed dendritic cells in mice bearing breast cancer
    Bong Kyun Kim, Hei Gwon Choi, Jae-Hyung Lee, In Wook Choi, Jae-Min Yuk, Guang-Ho Cha, Young-Ha Lee
    Parasites, Hosts and Diseases.2025; 63(1): 37.     CrossRef
  • Influenza virus-like particles presenting Toxoplasma gondii dense granule protein 7 protect mice from lethal ME49 challenge
    Jie Mao, Hae-Ji Kang, Su-In Heo, Fu-Shi Quan
    Nanomedicine.2025; 20(18): 2309.     CrossRef
  • Toxoplasma gondii IST suppresses inflammatory and apoptotic responses by inhibiting STAT1-mediated signaling in IFN-γ/TNF-α-stimulated hepatocytes
    Seung-Hwan Seo, Ji-Eun Lee, Do-Won Ham, Eun-Hee Shin
    Parasites, Hosts and Diseases.2024; 62(1): 30.     CrossRef
  • Contrasting Disease Progression, Microglia Reactivity, Tolerance, and Resistance to Toxoplasma gondii Infection in Two Mouse Strains
    Daniel G. Diniz, Jhonnathan H. P. de Oliveira, Luma C. F. Guerreiro, Gabriel C. de Menezes, Alexa C. L. de Assis, Tainá Q. Duarte, Izabelly B. D. dos Santos, Flávia D. Maciel, Gabrielly L. da S. Soares, Sanderson C. Araújo, Felipe T. de C. Franco, Ediclei
    Biomedicines.2024; 12(7): 1420.     CrossRef
  • Recombinant SAG2A Protein from Toxoplasma gondii Modulates Immune Profile and Induces Metabolic Changes Associated with Reduced Tachyzoite Infection in Peritoneal Exudate Cells from Susceptible C57BL/6 Mice
    Thaíse Anne Rocha dos Santos, Mário Cézar de Oliveira, Edson Mario de Andrade Silva, Uener Ribeiro dos Santos, Monaliza Macêdo Ferreira, Ana Luísa Corrêa Soares, Neide Maria Silva, Tiago Antônio de Oliveira Mendes, Jamilly Azevedo Leal-Sena, Jair Pereira
    Microorganisms.2024; 12(11): 2366.     CrossRef
  • 3,845 View
  • 198 Download
  • 5 Web of Science
  • Crossref

Case Report

Imported human babesiosis in the Republic of Korea, 2019: two case reports
Hyun Jung Kim, Min Jae Kim, Hyun-Il Shin, Jung-Won Ju, Hee-Il Lee
Parasites Hosts Dis 2023;61(1):72-77.
Published online February 22, 2023
DOI: https://doi.org/10.3347/PHD.22168
Human babesiosis is a tick-borne disease induced by the genus Babesia and has been significantly reported in the Republic of Korea. This report shows the cases of 2 patients with human babesiosis who traveled to the USA in 2019. The 2 patients experienced fever and had travel histories to babesiosis-endemic regions. The diagnoses of both cases were verified by the identification of Babesia-infected red blood cells on blood smears. One patient was found to be infected with Babesia microti using polymerase chain reaction (PCR) for 18S rRNA, which discovered the phylogenetic link to the B. microti strain endemic in the USA. The 2 patients recovered from fever with subsequent hemoparasite clearance. Babesiosis could be diagnosed in anyone with histories of travel to babesiosis-endemic countries and tick bites. Furthermore, Babesia-specific PCR is required for determining geno-and phenotypic characteristics.

Citations

Citations to this article as recorded by  Crossref logo
  • Imported parasitic diseases in the Republic of Korea: status and issues
    Jong-Yil Chai
    Journal of the Korean Medical Association.2025; 68(1): 52.     CrossRef
  • Nationwide investigation of eukaryotic pathogens in ticks from cattle and sheep in Kyrgyzstan using metabarcoding
    Singeun Oh, Nathalie Amvongo-Adjia, Hyun Jung Kim, Jun Ho Choi, Xavier Chavarria, Myung-hee Yi, Arwa Shatta, Bekbolsun Aknazarov, Ju Yeong Kim, Jung-Won Ju, Bekir Oguz
    PLOS One.2025; 20(8): e0327953.     CrossRef
  • Detection of US and Kobe‐type Babesia microti in ticks collected from small mammals of the Republic of Korea
    Tae Yun Kim, Seong Yoon Kim, Jiye Seo, Hee IL Lee, Wook‐Gyo Lee, Hyunwoo Kim
    Entomological Research.2024;[Epub]     CrossRef
  • Human Babesia odocoilei and Bartonella spp. co-infections in the Americas
    Ricardo G. Maggi, Ana Cláudia Calchi, Charlotte O. Moore, Emily Kingston, Edward B. Breitschwerdt
    Parasites & Vectors.2024;[Epub]     CrossRef
  • Development of Multiplex Assays for the Identification of Zoonotic Babesia Species
    Ana Cláudia Calchi, Charlotte O. Moore, Lillianne Bartone, Emily Kingston, Marcos Rogério André, Edward B. Breitschwerdt, Ricardo G. Maggi
    Pathogens.2024; 13(12): 1094.     CrossRef
  • 3,797 View
  • 180 Download
  • 5 Web of Science
  • Crossref

Original Article

Prevalence of head louse infestation among primary schoolchildren in the Republic of Korea: nationwide observation of trends in 2011-2019
Seungwan Ryoo, Sooji Hong, Taehee Chang, Hyejoo Shin, Jae Young Park, Jeonggyu Lee, Eun-Hee Nah, Eun Hee Lee, Bong-Kwang Jung, Jong-Yil Chai
Parasites Hosts Dis 2023;61(1):53-59.
Published online February 22, 2023
DOI: https://doi.org/10.3347/PHD.22134
Head louse infestation is a significant public health problem across the world, particularly among preschool and primary schoolchildren. This study investigated the trends of head louse infestation in the Republic of Korea over a 9-year period (2011-2019), targeting primary schoolchildren in 3 areas of Seoul, 4 other large cities, and 9 provinces. A survey was administered annually by the health staff of each regional office (n= 16) of the Korea Association of Health Promotion (KAHP). The branch offices of KAHP examined a total of 51,508 primary schoolchildren, comprising 26,532 boys and 24,976 girls. Over the 9-year survey, a total of 1,107 (2.1%) schoolchildren tested positive for adults and/or nits of Pediculus humanus capitis. The prevalence was 2.8% (133/4,727) in 2011-2012 and gradually decreased to 0.8% (49/6,461) in 2019 (P< 0.05). Head lice were found more frequently in girls (3.0%; 746/24,976) than in boys (1.4%; 361/26,532) (P< 0.05). In terms of geographic localities, the highest infestation rate, 4.7% (average prevalence over 9 years), was observed in southern Seoul (Gangnam branch of KAHP), whereas the lowest infestation rate, 0.7%, was seen in Gyeongsang (north and south provinces) and western Seoul. Although the prevalence decreased significantly during the 9-year period, head louse infestation remains a health and hygiene issue among primary schoolchildren in the Republic of Korea. Regular surveys along with health education are needed to further improve children’s hair hygiene.

Citations

Citations to this article as recorded by  Crossref logo
  • Prevalence and Risk Factors of Head Lice Among Schoolchildren in Kirkuk
    Fatema W. Abdul Aziz
    Academia Open.2025;[Epub]     CrossRef
  • A case of co-infection with head lice and varicella in a child: considerations for rational management
    O.V. Shvaratska, V.V. Mavrutenkov, T.V. Svyatenko, O.M. Yakunina
    CHILD`S HEALTH.2024; 19(1): 30.     CrossRef
  • Prevalence and associated factors of head lice infestation among primary school children in low- and middle-income countries: systematic review and meta-analysis
    Amare Mebrat Delie, Mihret Melese, Liknaw Workie Limenh, Dereje Esubalew, Nigus Kassie Worku, Eneyew Talie Fenta, Mickiale Hailu, Alemwork Abie, Molla Getie Mehari, Tenagnework Eseyneh Dagnaw
    BMC Public Health.2024;[Epub]     CrossRef
  • Epidemiology of pediculosis in the school-going children of district Hyderabad, Sindh, Pakistan
    Saima Naz, Maria Rebecca, Ahmad Kamran Khan, Irfan Ahmed
    International Journal of Tropical Insect Science.2023; 43(5): 1811.     CrossRef
  • Head lice infestation and the role of some cognitive‐behavioral factors in its spread and prevention among adolescent girls: A cross‐sectional study in Northwest Iran
    Towhid Babazadeh, Khalil Maleki Chollou, Sanaz Abedi‐Nerbin, Salar Abedi‐Nerbin, Farzaneh Shahnavaz‐Yoshanluie, Soheila Ranjbaran
    Health Science Reports.2023;[Epub]     CrossRef
  • 8,174 View
  • 188 Download
  • 3 Web of Science
  • Crossref

Brief Communication

Prevalence of asymptomatic malaria in high- and low-transmission areas of Tanzania: The role of asymptomatic carriers in malaria persistence and the need for targeted surveillance and control efforts
Ernest Mazigo, Hojong Jun, Wang-Jong Lee, Johnsy Mary Louis, Fadhila Fitriana, Jadidan Hada Syahada, Fauzi Muh, Feng Lu, Md Atique Ahmed, Seok Ho Cha, Wanjoo Chun, Won Sun Park, Se Jin Lee, Sunghun Na, Joon-Hee Han, Nyalali Kija, Smart Geodfrey, Eun-Teak Han, Jim Todd, Alphaxard Manjurano, Winifrida Kidima, Jin-Hee Han
Parasites Hosts Dis 2025;63(1):57-65.
Published online February 25, 2025
DOI: https://doi.org/10.3347/PHD.24077
As many countries implement different programs aimed at eliminating malaria, attention should be given to asymptomatic carriers that may interrupt the progress. This was a community-based cross-sectional study conducted in Tanzania from December 2022 to July 2023 within 4 villages from each of the 3 regions, Geita and Kigoma, which are high malaria transmission, and Arusha, which is low transmission. Malaria was diagnosed in asymptomatic individuals aged 1 year and older using the malaria rapid diagnostic test and light microscope. A total of 2,365 of 3,489 (67.9%) participants were enrolled from high-transmission villages. The overall prevalence was 25.5% and 15.8% by malaria rapid diagnostic test and light microscope, respectively. Using the respective tools, the prevalence was significantly higher at 35.6% (confidence interval (CI)=23.6–49.9) and 23.1% (CI=16.2–35.1) in the high-transmission regions (Geita and Kigoma) compared with 2.9% (CI=1.1–3.5) and 1.1% (CI=0.7–1.8) in the low-transmission region (Arusha). Children younger than 15 years and males accounted for the greatest proportion of infections. In the study area, the prevalence of asymptomatic cases was higher than that of reported symptomatic cases in health facilities. We hypothesize that these parasite reservoirs may contribute to the persistence of malaria in the country. Therefore, to achieve comprehensive malaria control in the country, the surveillance and screening of asymptomatic malaria cases are vital.

Citations

Citations to this article as recorded by  Crossref logo
  • Hidden reservoirs of infection: prevalence and risk factors of asymptomatic malaria in a high-endemic region of Zambia
    Wisdom Silwamba, David Chisompola, John Nzobokela, Martin Chakulya, Lombe Kabwe, Kingsley Tembo
    Malaria Journal.2025;[Epub]     CrossRef
  • Emergence of chloroquine-sensitive Plasmodium falciparum and rising resistance to first-line artemisinin partner drugs in Malawi
    Ernest Mazigo, Hojong Jun, Wang-Jong Lee, Johnsy Mary Louis, Jadidan Hada Syahada, Fadhila Fitriana, Fauzi Muh, Md Atique Ahmed, Feng Lu, Joon-Hee Han, Tae-Hyung Kwon, Se Jin Lee, Sunghun Na, Wanjoo Chun, Won Sun Park, Eun-Taek Han, Winifrida Kidima, Jin-
    Emerging Microbes & Infections.2025;[Epub]     CrossRef
  • First report of pfhrp2 and pfhrp3 gene deletions compromising HRP2-based malaria rapid diagnostic tests in Malawi
    Johnsy Mary Louis, Ernest Mazigo, Hojong Jun, Wang-Jong Lee, Jadidan Hada Syahada, Fadhila Fitriana, Fauzi Muh, Wanjoo Chun, Won Sun Park, Se Jin Lee, Sunghun Na, Feng Lu, Eun-Teak Han, Jin-Hee Han
    Infectious Diseases of Poverty.2025;[Epub]     CrossRef
  • Micro-geographic variation in antigenic diversity of PfEBA-175 region II in asymptomatic Plasmodium falciparum infections in Tanzania
    Jadidan Hada Syahada, Wang-Jong Lee, Hojong Jun, Johnsy Mary Louis, Fadhila Fitriana, Fauzi Muh, Feng Lu, Md Atique Ahmed, Sunghun Na, Wanjoo Chun, Won Sun Park, Bo-Young Jeon, Eun-Teak Han, Jim Todd, Alphaxard Manjurano, Winifrida Kidima, Ernest Mazigo,
    Frontiers in Immunology.2025;[Epub]     CrossRef
  • 3,622 View
  • 127 Download
  • 4 Web of Science
  • Crossref

Original Articles

Presence and diversity of free-living amoebae and their potential application as water quality indicators
Areum Choi, Ji Won Seong, Jeong Hyun Kim, Jun Young Lee, Hyun Jae Cho, Shin Ae Kang, Mi Kyung Park, Mi Jin Jeong, Seo Yeong Choi, Yu Jin Jeong, Hak Sun Yu
Parasites Hosts Dis 2024;62(2):180-192.
Published online May 27, 2024
DOI: https://doi.org/10.3347/PHD.24020
Free-living amoebae (FLA) are found in diverse environments, such as soils, rivers, and seas. Hence, they can be used as bioindicators to assess the water quality based solely on their presence. In this study, we determined the presence of FLA in river water by filtering water samples collected from various sites and culturing the resulting filtrates. FLA were detected in all the water samples with varying quality grades (Grades Ι-V). The significant increase in the size of the amoebae population with the deterioration in the water quality. Monoxenic cultures of the amoebae were performed, and genomic DNAs were isolated, among which 18S rDNAs were sequenced to identify the amoeba species. Of the 12 species identified, 10 belonged to the Acanthamoeba genus; of the remaining 2 species, one was identified as Vannella croatica and the other as a species of Vermamoeba. Acanthamoeba was detected in samples with Grades Ι to VI quality, whereas the Vermamoeba species was present only in Grade Ι water. V. croatica was found exclusively in water with Grade ΙΙ quality. Following morphological observations, genomic DNA was sequenced using 16S rDNA to determine whether the species of Acanthamoeba harbored endosymbionts. Most of the isolated Acanthamoeba contained endosymbionts, among which 4 species of endogenous bacteria were identified and examined using transmission electron microscopy. This study provides evidence that the distribution of amoebae other than Acanthamoeba may be associated with water quality. However, further confirmation will be required based on accurate water quality ratings and assessments using a more diverse range of FLA.

Citations

Citations to this article as recorded by  Crossref logo
  • Isolation of Acanthamoeba Species and Bacterial Symbiont Variability in Puna Salt Plains, Argentina
    Ronnie Mooney, Kiri Rodgers, Sandro Carnicelli, Matías E. Carnevale, Maria Eugenia Farias, Fiona L. Henriquez
    Environmental Microbiology Reports.2025;[Epub]     CrossRef
  • Identifying Promising Novel Compounds Against Free-Living Amoebae: A Systematic Review of In Vitro and In Vivo Studies
    Beni Jequicene Mussengue Chaúque, Thaisla Cristiane Borella da Silva, Luiza Bernardes Chagas, Letícia F. G. Kinape, Paula Eliete Rodrigues Bitencourt, Custódio José Gaspar, Alexandre Coelho Borges Cheinquer, Marilise Brittes Rott, Régis Adriel Zanette, Jo
    Parasitologia.2025; 5(4): 56.     CrossRef
  • The Microbial Trojan Horse and Antimicrobial Resistance: Acanthamoeba as an Environmental Reservoir for Multidrug Resistant Bacteria
    Ronnie Mooney, Erin Corbett, Elisa Giammarini, Kiri Rodgers, Carla Donet, Ernest Mui, Arhama T. A. Ansari, Ayush Ransingh, Pradnya S. Vernekar, Harleen K. Walia, Jyoti Sharma, John Connolly, Andrew Hursthouse, Suparna Mukherji, Soumyo Mukherji, Fiona L. H
    Environmental Microbiology.2025;[Epub]     CrossRef
  • Le monde fascinant des amibes libres, des protistes aux multiples facettes
    Aurélie Delumeau, Nina Allouch, Isaure Quétel, Virginie Nerrière, Isabel Marcelino
    médecine/sciences.2025; 41(10): 743.     CrossRef
  • 3,088 View
  • 77 Download
  • 3 Web of Science
  • Crossref
Virus-like particles expressing microneme-associated antigen of Plasmodium berghei confer better protection than those expressing apical membrane antigen 1
Min-Ju Kim, Ki Back Chu, Keon-Woong Yoon, Hae-Ji Kang, Dong-Hun Lee, Eun-Kyung Moon, Fu-Shi Quan
Parasites Hosts Dis 2024;62(2):193-204.
Published online May 27, 2024
DOI: https://doi.org/10.3347/PHD.24017
Malaria is a global disease affecting a large portion of the world’s population. Although vaccines have recently become available, their efficacies are suboptimal. We generated virus-like particles (VLPs) that expressed either apical membrane antigen 1 (AMA1) or microneme-associated antigen (MIC) of Plasmodium berghei and compared their efficacy in BALB/c mice. We found that immune sera acquired from AMA1 VLP- or MIC VLP-immunized mice specifically interacted with the antigen of choice and the whole P. berghei lysate antigen, indicating that the antibodies were highly parasite-specific. Both VLP vaccines significantly enhanced germinal center B cell frequencies in the inguinal lymph nodes of mice compared with the control, but only the mice that received MIC VLPs showed significantly enhanced CD4+ T cell responses in the blood following P. berghei challenge infection. AMA1 and MIC VLPs significantly suppressed TNF-α and interleukin-10 production but had a negligible effect on interferon-γ. Both VLPs prevented excessive parasitemia buildup in immunized mice, although parasite burden reduction induced by MIC VLPs was slightly more effective than that induced by AMA1. Both VLPs were equally effective at preventing body weight loss. Our findings demonstrated that the MIC VLP was an effective inducer of protection against murine experimental malaria and should be the focus of further development.

Citations

Citations to this article as recorded by  Crossref logo
  • Orally Dissolving Film-Based Influenza Vaccines Confer Superior Protection Compared to the Oral Administration of Inactivated Influenza Virus
    Keon-Woong Yoon, Jie Mao, Gi-Deok Eom, Su In Heo, Ki Back Chu, Mi Suk Lee, Fu-Shi Quan
    Vaccines.2025; 13(6): 600.     CrossRef
  • Protective Efficacy Induced by Virus-like Particles Expressing Dense Granule Protein 5 of Toxoplasma gondii
    Su In Heo, Hae-Ji Kang, Jie Mao, Zhao-Shou Yang, Md Atique Ahmed, Fu-Shi Quan
    Vaccines.2025; 13(8): 787.     CrossRef
  • Efficacy of Heterologous Vaccination Using Virus-Like Particles and Vaccinia Virus Containing MIC8 and AMA1 Proteins of Toxoplasma gondii
    Hae-Ji Kang, Fu-Shi Quan
    Vaccines.2025; 13(8): 862.     CrossRef
  • Ivermectin Identified Using a High-Throughput Screening System Exhibits Anti-Clonorchis sinensis Activity in Rats
    Soon-Ok Lee, Hyeryon Lee, Ki Back Chu, Jianhua Li, Sung-Jong Hong, Sung Soo Kim, Joo Hwan No, Fu-Shi Quan
    Antibiotics.2025; 14(8): 837.     CrossRef
  • 3,815 View
  • 64 Download
  • 4 Web of Science
  • Crossref

Brief Communication

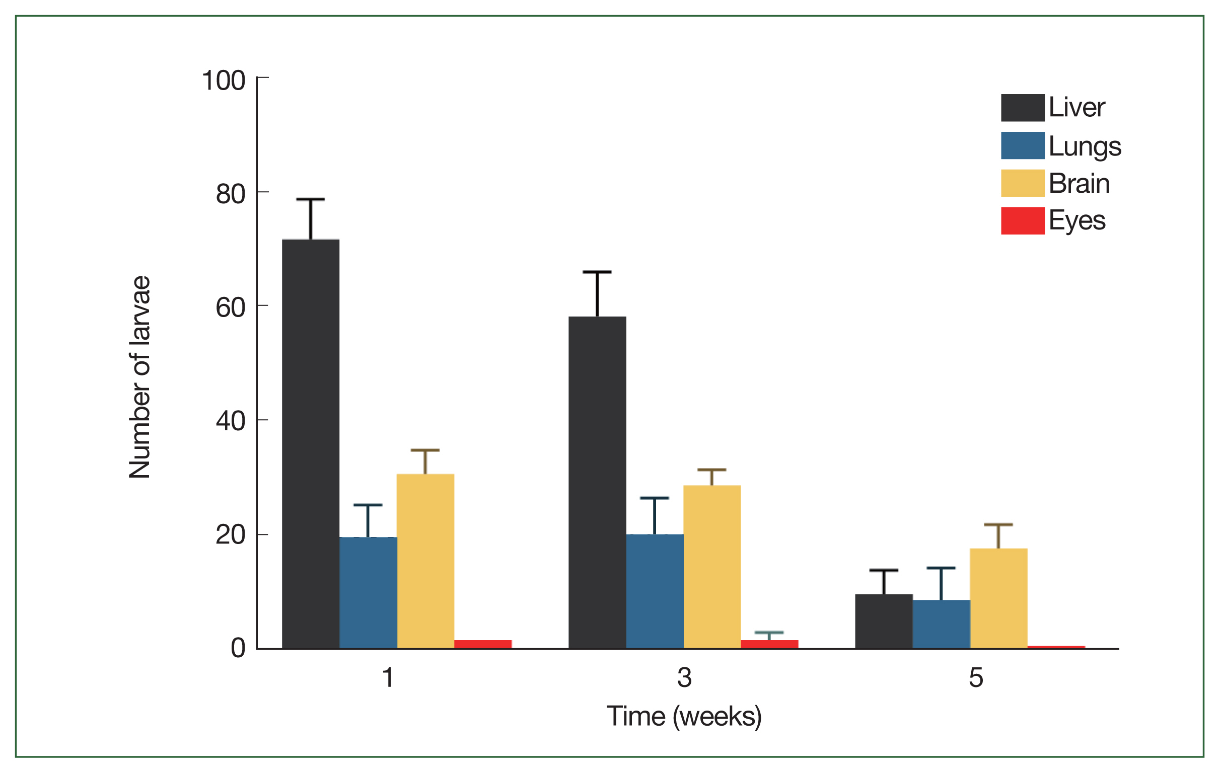
Organ-specific Toxocara canis larvae migration and host immune response in experimentally infected mice
Min Seok Kim, Yan Jin, Se Joon Woo
Parasites Hosts Dis 2024;62(2):243-250.
Published online May 27, 2024
DOI: https://doi.org/10.3347/PHD.23125
We investigated organ specific Toxocara canis larval migration in mice infected with T. canis larvae. We observed the worm burden and systemic immune responses. Three groups of BALB/c mice (n=5 each) were orally administered 1,000 T. canis 2nd stage larvae to induce larva migrans. Mice were sacrificed at 1, 3, and 5 weeks post-infection. Liver, lung, brain, and eye tissues were collected. Tissue from 2 mice per group was digested for larval count, while the remaining 3 mice underwent histological analysis. Blood hematology and serology were evaluated and compared to that in a control uninfected group (n=5) to assess the immune response. Cytokine levels in bronchoalveolar lavage (BAL) fluid were also analyzed. We found that, 1 week post-infection, the mean parasite load in the liver (72±7.1), brain (31±4.2), lungs (20±5.7), and eyes (2±0) peaked and stayed constant until the 3 weeks. By 5-week post-infection, the worm burden in the liver and lungs significantly decreased to 10±4.2 and 9±5.7, respectively, while they remained relatively stable in the brain and eyes (18±4.2 and 1±0, respectively). Interestingly, ocular larvae resided in all retinal layers, without notable inflammation in outer retina. Mice infected with T. canis exhibited elevated levels of neutrophils, monocytes, eosinophils, and immunoglobulin E. At 5 weeks post-infection, interleukin (IL)-5 and IL-13 levels were elevated in BAL fluid. Whereas IL-4, IL-10, IL-17, and interferon-γ levels in BAL fluid were similar to that in controls. Our findings demonstrate that a small portion of T. canis larvae migrate to the eyes and brain within the first week of infection. Minimal tissue inflammation was observed, probably due to increase of anti-inflammatory cytokines. This study contributes to our understanding of the histological and immunological responses to T. canis infection in mice, which may have implications to further understand human toxocariasis.

Citations

Citations to this article as recorded by  Crossref logo
  • Toxocara canis infections in mice: from subtle to severe consequences in 100 weeks
    Nicol Bernardová, Jan Novák, Chia-Kwung Fan, Libuše Kolářová, Marta Chanová
    Journal of Helminthology.2025;[Epub]     CrossRef
  • The association of seropositivity to Toxocara canis and Ascaris lumbricoides with blood group antigens
    Kravchun Pavlo Grigorovich, Leontyeva Frida Solomonivna, Povelichenko Olena Dmytrivna, Kadykova Olga Igorivna, Valentyna Dielievska
    Reviews and Research in Medical Microbiology.2025;[Epub]     CrossRef
  • Characteristics of Toxocara canis induced lung inflammation in C57BL/6 mice
    Janina Lekki-Jóźwiak, Justyna Karabowicz, Magdalena Paschall, Karolina Gregorczyk-Zboroch, Małgorzata Sobczak-Filipiak, Piotr Bąska, Irma Schabussova, Ewa Długosz
    Frontiers in Immunology.2025;[Epub]     CrossRef
  • Immunomodulatory and anti-fibrotic effects of Toxocara canis infection in a murine model of thioacetamide-induced chronic hepatic fibrosis
    Iman F. Abou-El-Naga, Eman Dorry Elkerdany, Rania G. Aly, Enas Mohamed Mostafa Zaytoun
    Acta Tropica.2025; 272: 107913.     CrossRef
  • 5,129 View
  • 87 Download
  • 4 Web of Science
  • Crossref

Original Article

In vitro anti-Trypanosoma cruzi activity of methanolic extract of Bidens pilosa and identification of active compounds by gas chromatography-mass spectrometry analysis
Gabriel Enrique Cázares-Jaramillo, Zinnia Judith Molina-Garza, Itza Eloisa Luna-Cruz, Luisa Yolanda Solís-Soto, José Luis Rosales-Encina, Lucio Galaviz-Silva
Parasites Hosts Dis 2023;61(4):405-417.
Published online November 28, 2023
DOI: https://doi.org/10.3347/PHD.23069
Chagas disease, caused by Trypanosoma cruzi parasite, is a significant but neglected tropical public health issue in Latin America due to the diversity of its genotypes and pathogenic profiles. This complexity is compounded by the adverse effects of current treatments, underscoring the need for new therapeutic options that employ medicinal plant extracts without negative side effects. Our research aimed to evaluate the trypanocidal activity of Bidens pilosa fractions against epimastigote and trypomastigote stages of T. cruzi, specifically targeting the Brener and Nuevo León strains—the latter isolated from Triatoma gerstaeckeri in General Terán, Nuevo León, México. We processed the plant’s aerial parts (stems, leaves, and flowers) to obtain a methanolic extract (Bp-mOH) and fractions with varying solvent polarities. These preparations inhibited more than 90% of growth at concentrations as low as 800 μg/ml for both parasite stages. The median lethal concentration (LC50) values for the Bp-mOH extract and its fractions were below 500 μg/ml. Tests for cytotoxicity using Artemia salina and Vero cells and hemolytic activity assays for the extract and its fractions yielded negative results. The methanol fraction (BPFC3MOH1) exhibited superior inhibitory activity. Its functional groups, identified as phenols, enols, alkaloids, carbohydrates, and proteins, include compounds such as 2-hydroxy-3-methylbenzaldehyde (50.9%), pentadecyl prop-2-enoate (22.1%), and linalool (15.4%). Eight compounds were identified, with a match confirmed by the National Institute of Standards and Technology (NIST-MS) software through mass spectrometry analysis.

Citations

Citations to this article as recorded by  Crossref logo
  • Inhibitory Activity of Compounds Obtained from Streptomyces Against Trypanosoma cruzi
    Jorge Andrés Delgado-Garduño, Lucio Galaviz-Silva, Ma Guadalupe Rojas-Verde, Joel Horacio Elizondo-Luevano, Lidia Baylón-Pacheco, José Luis Rosales-Encina, Guadalupe Gutiérrez-Soto, Zinnia Judith Molina-Garza
    Pathogens.2025; 14(7): 638.     CrossRef
  • Nanostructured Polyurethane‐Collagen Hydrogels: Bioactive Crosslinked Networks for Enhanced Wound Healing
    María I. León‐Campos, Jesús A. Claudio‐Rizo, Luis E. Cobos‐Puc, Denis A. Cabrera‐Munguía, Anilú Rubio‐Rios, Ernesto Oyervides‐Muñoz, Angélica Velázquez‐Arrellano
    Journal of Biomedical Materials Research Part A.2025;[Epub]     CrossRef
  • Assessment of Anticancer Properties of Argemone mexicana L. and Berberine: A Comparative Study
    Joel H. Elizondo-Luevano, Ramiro Quintanilla-Licea, Imelda N. Monroy-García, Miroslava Kačániová, Uziel Castillo-Velázquez, Aldo F. Bazaldúa-Rodríguez, Lourdes M. Garza-Vega, Ángel D. Torres-Hernández, Abelardo Chávez-Montes
    Plants.2024; 13(10): 1374.     CrossRef
  • In Vitro Evaluation of Anti-Hemolytic and Cytotoxic Effects of Traditional Mexican Medicinal Plant Extracts on Human Erythrocytes and Cell Cultures
    Joel H. Elizondo-Luevano, Ramiro Quintanilla-Licea, Sandra L. Castillo-Hernández, Eduardo Sánchez-García, Minerva Bautista-Villarreal, Georgia M. González-Meza, Marcela A. Gloria-Garza, Osvelia E. Rodríguez-Luis, Maciej Ireneusz Kluz, Miroslava Kačániová
    Life.2024; 14(9): 1176.     CrossRef
  • 3,302 View
  • 138 Download
  • 5 Web of Science
  • Crossref

Brief Communications

Intestinal parasitic infections among children aged 12–59 months in Nyamasheke District, Rwanda
Evariste Hakizimana, Ju Yeong Kim, Singeun Oh, Moonsoo Yoon, Tai-Soon Yong
Parasites Hosts Dis 2023;61(3):304-309.
Published online August 21, 2023
DOI: https://doi.org/10.3347/PHD.23045
Intestinal parasitic infections are a public health burden and a major cause of illness in developing countries. The diseases lead to various health threats, including growth retardation and mental health-related disorders, especially in children. We assessed the risk factors for intestinal parasitic infections among children aged 12–59 months residing in Nyamasheke District, Rwanda. A cross-sectional descriptive study was conducted using secondary data from 1,048 children aged 12–59 months whose stool samples were examined for the presence of intestinal parasites and whose results were registered in the laboratory information system in 2020. The prevalence of intestinal parasites in children aged 12–59 months was 53.2%. The dominant parasites were Ascaris lumbricoides (13.1%), followed by Giardia lamblia (10.9%), Entamoeba histolytica (7.9%), Trichuris trichiura (6.5%), hookworms (1.7%), and Taenia species (1.4%). A significant association was observed between intestinal parasites and the literacy of mothers or children’s caregivers (odds ratio (OR)=5.09, P<0.001). Children from farming households were 2.8-fold more likely to contract intestinal parasitic infections than those from nonfarming households (OR=2.8, P<0.001). A significant association was also observed between intestinal parasites and food safety (OR=4.9, P<0.001). Intestinal parasitic infections were significantly associated with hand hygiene practices after using the toilet and washing fresh fruits before eating (P<0.001). The information gathered will help public health providers and partners develop control plans in highly endemic areas in Rwanda.

Citations

Citations to this article as recorded by  Crossref logo
  • Intestinal Parasitic Infection and Associated Risk Factors Among Pre-school Children in a Deprived Community in Amasaman, Accra-Ghana
    Isaac Anim-Baidoo, Ruth Afful, Akua Forson, Enid Owusu, Michael Olu-Taiwo, Emmanuel Afutu, Eric Sampene-Donkor
    International Journal of Microbiology and Biotechnology.2025; 10(1): 1.     CrossRef
  • Malaria and helminths co‐infection—Effects on anaemia, iron and folate deficiencies in paediatric population in Ghana
    Opoku Bempah, Kwasi Baako Antwi, Mutala Abdul‐Hakim, Ibrahim Alhadj Moussa Mahamat, Kwadwo Boampong, John Larbi, Kingsley Badu
    Tropical Medicine & International Health.2025; 30(9): 921.     CrossRef
  • The Burden of Neglected Tropical Diseases in Rwanda: A Scoping Review
    Masceline Jenipher Mutsaka‐Makuvaza, Michael Olubusayo Binuyo, Callixte Cyuzuzo, Acsa Igizeneza, Jean Paul Sinumvayo, Oluwaremilekun Grace Ajakaye, Egie Elisha Enabulele, Zororo Chinwadzimba, Ezera Agwu, Nicholas Midzi
    Health Science Reports.2025;[Epub]     CrossRef
  • Intestinal Parasites and Hematological Parameters in Children Living in Ambatoboeny District, Madagascar
    Wanesa Richert, Daria Kołodziej, Danuta Zarudzka, Daniel Kasprowicz, Dariusz Świetlik, Krzysztof Korzeniewski
    Pathogens.2024; 13(11): 930.     CrossRef
  • 10,937 View
  • 193 Download
  • 4 Web of Science
  • Crossref
Molecular epidemiology of Toxoplasma gondii in cattle in Korea
Kyoo-Tae Kim, Min-Goo Seo
Parasites Hosts Dis 2023;61(2):210-215.
Published online May 23, 2023
DOI: https://doi.org/10.3347/PHD.23016
Toxoplasmosis is a major public health concern, with raw or undercooked meat being the primary source of human infection. Knowledge regarding the molecular epidemiology of Toxoplasma gondii in cattle destined for human consumption in Korea is lacking. The present study aimed to genetically characterize the infectious strains of T. gondii. Overall, 455 cattle blood samples from 84 farms in the Gyeongnam-do (Province) were randomly collected in 2017. Nested PCR analysis revealed that only 3 (0.7%) samples were infected with T. gondii. The B1 gene sequence of T. gondii was observed to be similar (97.3–99.6%) to that of other T. gondii isolates. This is the first study to perform the molecular detection of T. gondii in cattle in Korea. Although the prevalence of infection was low, our findings suggest that cattle present a potential public health issue. It may be crucial to recognize the importance of T. gondii infection in cattle meat.

Citations

Citations to this article as recorded by  Crossref logo
  • Molecular detection of Toxoplasma gondii in ticks and their respective host dogs
    Min-Goo Seo, Dongmi Kwak
    Parasites, Hosts and Diseases.2025; 63(1): 66.     CrossRef
  • Prevalence and molecular characterization of intestinal parasites in shelter dogs from South Korea
    You-Jeong Lee, Beoul Kim, Gyeonghyeon Lee, Yong-Myung Kang, Dongmi Kwak, Min-Goo Seo
    Research in Veterinary Science.2025; 188: 105620.     CrossRef
  • Antileishmanial and Antitoxoplasmal Activities of 1,4-Dihydropyridines
    Thaís A. S. Oliveira, Yan R. Robles, Ibrahim S. Al Nasr, Waleed S. Koko, Tariq A. Khan, Ismail Daoud, Seyfeddine Rahali, Noureddine Amdouni, Ridha B. Said, Antônio E. M. Crotti
    ACS Omega.2025; 10(28): 31066.     CrossRef
  • Tick-borne pathogens in Mongolian ticks: The high prevalence of Rickettsia raoultii and its public health implications
    You-Jeong Lee, Beoul Kim, Dongmi Kwak, Ochirkhuu Nyamsuren, Nyamdavaa Guugandaa, Min-Goo Seo
    Acta Tropica.2024; 260: 107412.     CrossRef
  • 4,152 View
  • 165 Download
  • 4 Web of Science
  • Crossref

Original Articles

Ampicillin treated German cockroach extract leads to reduced inflammation in human lung cells and a mouse model of Asthma
Seogwon Lee, Myung-Hee Yi, Yun Soo Jang, Jun Ho Choi, Myungjun Kim, Soo Lim Kim, Tai-Soon Yong, Ju Yeong Kim
Parasites Hosts Dis 2023;61(1):60-71.
Published online February 22, 2023
DOI: https://doi.org/10.3347/PHD.22147
Cockroaches can cause allergic sensitization in humans via contact with their feces or frass. Antibiotics can affect concentration of major allergen and total bacteria production in German cockroaches (Blattella germanica). This study examined the ability of antibiotic-treated German cockroaches to induce allergic airway inflammation and the effect of antibiotics on their lipopolysaccharide and Bla g1, 2, and 5 expression levels. Specifically, we measured the ability of German cockroach extract (with or without prior antibiotic exposure) to induce allergic inflammation in human bronchial epithelial cells and a mouse model of asthma. Bacterial 16S rRNA and lipopolysaccharide levels were lower in ampicillin-treated cockroaches than in the control group. The Bla g1, Bla g2, and Bla g5 expression in ampicillin-treated cockroaches decreased at both the protein and RNA levels. In human bronchial epithelial cell lines BEAS-2B exposed to the ampicillin-treated extract, expression levels of interleukin-6 and interleukin-8 were lower than that in the control group. The total cell count and eosinophil count in bronchoalveolar lavage fluid was also lower in mice exposed to the ampicillin-treated extract than in those exposed to normal cockroach extract. Mouse lung histopathology showed reduced immune cell infiltration and mucus production in the ampicillin group. Our results showed that ampicillin treatment reduced the symbiont bacterial population and major allergen levels in German cockroaches, leading to reduced airway inflammation in mice. These results can facilitate the preparation of protein extracts for immunotherapy or diagnostics applications.

Citations

Citations to this article as recorded by  Crossref logo
  • Asthma research in mice: An overview of current models and their methodological variability
    Yan-Jiao Chen, Cai-Tao Chen, Gabriel Shimizu Bassi, Yong-Qing Yang
    International Reviews of Immunology.2025; 44(3): 127.     CrossRef
  • Invasive indoor pests under the microbiological lens: bacterial and viral diversity from local to global scales in bed bugs and cockroaches
    Jose E Pietri, Maureen Laroche
    Current Opinion in Insect Science.2025; 69: 101344.     CrossRef
  • Multi-omics of cockroaches infected with Salmonella Typhimurium identifies molecular signatures of vector colonization
    Diing DM Agany, Eduardo A. Callegari, Maria D. Paez, Jose E. Pietri
    BMC Genomics.2025;[Epub]     CrossRef
  • Microbiome of laboratory‐reared and environmentally collected cockroaches
    Sohyeon Yun, Jun Ho Choi, Singeun Oh, Myungjun Kim, Myung‐hee Yi, Dongjun Kang, Yun Soo Jang, In‐Yong Lee, Tai‐Soon Yong, Juan Kim, Heung Chul Kim, Jae Rok Lee, Ju Yeong Kim
    Entomological Research.2024;[Epub]     CrossRef
  • 4,155 View
  • 163 Download
  • 3 Web of Science
  • Crossref
Babeisa duncani infection alters gut microbiota profile in hamsters
Shangdi Zhang, Jinming Wang, Xiaoyun Li, Yanbo Wang, Yueli Nian, Chongge You, Dekui Zhang, Guiquan Guan
Parasites Hosts Dis 2023;61(1):42-52.
Published online February 22, 2023
DOI: https://doi.org/10.3347/PHD.22142
The genus Babesia includes parasites that can induce human and animal babesiosis, which are common in tropical and subtropical regions of the world. The gut microbiota has not been examined in hamsters infected by Babesia duncani. Red blood cells infected with B. duncani were injected into hamsters through intraperitoneal route. To evaluate the changes in gut microbiota, DNAs were extracted from small intestinal contents, acquired from hamsters during disease development. Then, the V4 region of the 16S rRNA gene of bacteria was sequenced using the Illumina sequencing platform. Gut microbiota alternation and composition were assessed according to the sequencing data, which were clustered with >97.0% sequence similarity to create amplicon sequence variants (ASVs). Bacteroidetes and Firmicutes were made up of the major components of the gut microbiota in all samples. The abundance of Bacteroidetes elevated after B. duncani infection than the B. duncani-free group, while Firmicutes and Desulfobacterota declined. Alpha diversity analysis demonstrated that the shown ASVs were substantially decreased in the highest parasitemia group than B. duncani-free and lower parasitemia groups. Potential biomarkers were discovered by Linear discriminant analysis Effect Size (LEfSe) analysis, which demonstrated that several bacterial families (including Muribaculaceae, Desulfovibrionaceae, Oscillospiraceae, Helicobacteraceae, Clostridia UGG014, Desulfovibrionaceae, and Lachnospiraceae) were potential biomarkers in B. duncani-infected hamsters. This research demonstrated that B. duncani infectious can modify the gut microbiota of hamsters.

Citations

Citations to this article as recorded by  Crossref logo
  • Nationwide investigation of eukaryotic pathogens in ticks from cattle and sheep in Kyrgyzstan using metabarcoding
    Singeun Oh, Nathalie Amvongo-Adjia, Hyun Jung Kim, Jun Ho Choi, Xavier Chavarria, Myung-hee Yi, Arwa Shatta, Bekbolsun Aknazarov, Ju Yeong Kim, Jung-Won Ju, Bekir Oguz
    PLOS One.2025; 20(8): e0327953.     CrossRef
  • Eimeria infections of plateau pika altered the patterns of temporal alterations in gut bacterial communities
    Maoping Li, Suqin Wang, Liang Zhong, Petr Heděnec, Zhaoxian Tan, Rong Wang, Xinyang Chen, Yan Zhang, Bingmin Tang, Huakun Zhou, Jiapeng Qu
    Frontiers in Microbiology.2024;[Epub]     CrossRef
  • Atractylenolide-I Alleviates Hyperglycemia-Induced Heart Developmental Malformations through Direct and Indirect Modulation of the STAT3 Pathway
    Mengwei Wang, Tong-hua Zhang, Yunjin Li, Xiaofeng Chen, Qiongyin Zhang, Ying Zheng, Denglu Long, Xin Cheng, An Hong, Xuesong Yang, Guang Wang
    Phytomedicine.2024; 129: 155698.     CrossRef
  • Qi Huang Fang improves intestinal barrier function and intestinal microbes in septic mice through NLRP3 inflammasome-mediated cellular pyroptosis
    Tingting Shu, Jun Zhang, Ruiying Hu, Fang Zhou, Hanyong Li, Jing Liu, Yanbo Fan, Xucheng Li, Peiwu Ding
    Transplant Immunology.2024; 85: 102072.     CrossRef
  • 3,944 View
  • 155 Download
  • Crossref
Molecular detection and genotype analysis of Kudoa septempunctata from food poisoning outbreaks in Korea
Gyung-Hye Sung, In-Ji Park, Hee-Soo Koo, Eun-Hee Park, Mi-Ok Lee
Parasites Hosts Dis 2023;61(1):15-23.
Published online February 22, 2023
DOI: https://doi.org/10.3347/PHD.22034
Concerns about foodborne illnesses caused by Kudoa septempunctata are steadily growing, but reports of K. septempunctata in clinical and food specimens related to food poisoning in Korea are limited. This study aimed to genetically identify K. septempunctata in patients with acute diarrhea and in clinical and food samples related to food poisoning caused by sashimi consumption. Both real-time and nested polymerase chain reaction assays were performed to detect K. septempunctata 18S and 28S rDNA genes in the stools of 348 patients with acute diarrhea, 11 samples (6 stool and 5 rectal swab samples) from patients with food poisoning, and 2 raw Paralichthys olivaceus samples collected from a restaurant where a food poisoning incident occurred. K. septempunctata was identified in 5 clinical specimens (4 stools and 1 rectal swab) and 1 P. olivaceus sashimi sample. All detected K. septempunctata were of genotype ST3. This is the first study to identify K. septempunctata in both patients and food samples with epidemiological relevance in Korea, providing evidence that it is a pathogen that causes food poisoning. Also, this is the first study to confirm the presence of K. septempunctata genes in rectal swabs. Despite continuing suspected occurrences of Kudoa foodborne outbreaks, the rate of identification of K. septempunctata is very low. One reason for this is the limitation in obtaining stool and vomit samples for the diagnosis of Kudoa infection. We strongly suggest the inclusion of rectal swabs among the diagnostic specimens for Kudoa food poisoning.

Citations

Citations to this article as recorded by  Crossref logo
  • Point-of-care testing based on colorimetric loop-mediated isothermal amplification coupled with a nondestructive device for rapid detection of Kudoa septempunctata in live olive flounder
    Jeong-Eun Lee, Hee-Kyeong Yang, Kwang-Soo Ha, Young-Mog Kim, Ji Yoon Chang, Won-Bo Shim
    Aquaculture.2025; 596: 741848.     CrossRef
  • First Case of ‘Soft Flesh’ Induced by Kudoa thyrsites in an Atlantic Bonito (Sarda sarda)
    Felice Panebianco, Stefano Bagatella, Tiziana Civera, Selene Rubiola
    Journal of Fish Diseases.2025;[Epub]     CrossRef
  • Exploring the Potential Role of the Genus Kudoa (Myxosporea: Kudoidae) as an Emerging Seafood-Borne Parasite in Humans
    Shokoofeh Shamsi, Diane P. Barton
    Current Clinical Microbiology Reports.2024; 11(2): 107.     CrossRef
  • Re‐evaluation of certain aspects of the EFSA Scientific Opinion of April 2010 on risk assessment of parasites in fishery products, based on new scientific data. Part 1: ToRs1–3
    Konstantinos Koutsoumanis, Ana Allende, Avelino Alvarez‐Ordóñez, Sara Bover‐Cid, Marianne Chemaly, Alessandra De Cesare, Lieve Herman, Friederike Hilbert, Roland Lindqvist, Maarten Nauta, Romolo Nonno, Luisa Peixe, Giuseppe Ru, Marion Simmons, Panagiotis
    EFSA Journal.2024;[Epub]     CrossRef
  • 4,604 View
  • 210 Download
  • 4 Web of Science
  • Crossref

Brief Communication

Genotypic analysis of zoonotic Enterocytozoon bieneusi in wild deer in Korea
Gyeonguk Noh, Haeseung Lee, Seung-Hun Lee, Min-Goo Seo, Kyoo-Tae Kim, Junho Lee, Kaifa Nazim, Sang Joon Park, Man Hee Rhee, Dongmi Kwak
Parasites Hosts Dis 2024;62(4):484-489.
Published online November 22, 2024
DOI: https://doi.org/10.3347/PHD.24072
Enterocytozoon bieneusi is an important microsporidian protozoa that causes intestinal disorders in humans. We collected 191 fecal samples from roadkill deer carcasses, among which 13 (6.8%) showed positive reaction for E. bieneusi by polymerase chain reaction assay. Phylogenetic analysis revealed 6 distinct genotypes, 1 of which was novel. All genotypes belonged to Group 1, which has low host specificity, indicating possible transmission through sylvatic cycle. E. bieneusi infection was predominant in female deer (p<0.05).

Citations

Citations to this article as recorded by  Crossref logo
  • Distribution and genotypic analysis of Enterocytozoon bieneusi from cats in Korea
    Heon-Moo Park, Haeseung Lee, So-Young Sung, Kaifa Nazim, Bo-Yoon Jang, Ki-Chang Sung, Seung-Hun Lee, Min-Goo Seo, Man Hee Rhee, Dongmi Kwak
    Parasites, Hosts and Diseases.2025; 63(2): 188.     CrossRef
  • Molecular Detection and Genotyping of Enterocytozoon bieneusi in Environmental Sources near Cattle Farms in Korea
    Haeseung Lee, Myungji Jo, Hyeyeon Kim, Kaifa Nazim, Seung-Hun Lee, Min-Goo Seo, Sang-Joon Park, Man Hee Rhee, Dongmi Kwak
    International Journal of Molecular Sciences.2025; 26(15): 7270.     CrossRef
  • Distribution and genotypes of Enterocytozoon bieneusi in raccoon dogs in Korea
    Heon-Moo Park, Haeseung Lee, Su-Jin Chae, Kidong Son, Sanghyun Lee, Kaifa Nazim, Seung-Hun Lee, Yoonhoi Koo, Jinsu Kang, Min-Goo Seo, Sang Joon Park, Man Hee Rhee, Dongmi Kwak
    Parasites, Hosts and Diseases.2025; 63(3): 258.     CrossRef
  • 2,164 View
  • 73 Download
  • 3 Web of Science
  • Crossref

Original Articles

Identification of essential genes for Acanthamoeba castellanii excystation during encystation and excystation
Min-Jeong Kim, Hye-Jeong Jo, Fu-Shi Quan, Ki Back Chu, Hyun-Hee Kong, Eun-Kyung Moon
Parasites Hosts Dis 2024;62(4):399-407.
Published online November 22, 2024
DOI: https://doi.org/10.3347/PHD.24062
Acanthamoeba is an opportunistic pathogen that causes Acanthamoeba keratitis, granulomatous amoebic encephalitis, and other cutaneous diseases. The life cycle of Acanthamoeba consists of 2 stages of trophozoites and cysts. Under adverse environmental conditions, Acanthamoeba encysts, while the conditions become favorable for growth, it reverts to the trophozoite form. Acanthamoeba excystation is crucial for its proliferation and can lead to recurrent infections after incomplete treatment. To identify the factors involved in excystation, A. castellanii was subjected to either encystation- or excystation-inducing conditions, and gene expression profiles were compared using mRNA sequencing. A. castellanii samples were collected at 8 h intervals for analysis under both conditions. Differentially expressed gene analysis revealed that 1,214 and 1,163 genes were upregulated and downregulated, respectively, by more than 2-fold during early excystation. Five genes markedly upregulated in early excystation (ACA1_031140, ACA1_032330, ACA1_374400, ACA1_275740, and ACA1_112650) were selected, and their expression levels were confirmed via real-time PCR. Small interfering RNA (siRNA) targeting these 5 genes was transfected into Acanthamoeba and gene knockdown was validated through real-time PCR. The silencing of ACA1_031140, ACA1_032330, ACA1_374400, and ACA1_112650 inhibited excystation and suggested that these genes might be essential for excystation. Our findings provide valuable insights for suppressing Acanthamoeba proliferation and recurrence.

Citations

Citations to this article as recorded by  Crossref logo
  • Encystment and Excystment Processes in Acanthamoeba castellanii: An Emphasis on Cellulose Involvement
    Mathew Choaji, Ascel Samba-Louaka, Zineb Fechtali-Moute, Willy Aucher, Sébastien Pomel
    Pathogens.2025; 14(3): 268.     CrossRef
  • Integrating molecular pathogenesis and predictive modelling in granulomatous amoebic encephalitis due to Acanthamoeba : a digital twin framework for personalised therapy
    Ruqaiyyah Siddiqui, David Lloyd, Naveed Ahmed Khan
    Infectious Diseases.2025; : 1.     CrossRef
  • Microarray-based characterization of airway inflammation induced by environmental Acanthamoeba exposure versus the ovalbumin-alum model
    Shin Ae Kang, Hak Sun Yu
    Parasites, Hosts and Diseases.2025; 63(4): 327.     CrossRef
  • 2,347 View
  • 137 Download
  • 2 Web of Science
  • Crossref
Current status of intestinal parasite infections in fecal samples of dogs in Korea
You-Jeong Lee, Beoul Kim, Dongmi Kwak, Min-Goo Seo
Parasites Hosts Dis 2024;62(4):438-449.
Published online November 22, 2024
DOI: https://doi.org/10.3347/PHD.24024
This study surveyed the current status of intestinal parasite infections in Korean dog fecal samples. A total of 367 fecal samples were collected from the northern (Seoul and Gyeonggi-do), central (Chungcheong-do), and southern (Gyeongsang-do) regions and analyzed using the saturated sodium nitrate flotation technique and the nucleotide sequences of 18S rRNA. Six species of intestinal parasites were detected using the flotation technique. Among them, helminth eggs detected included Toxocara canis (6.0%), Toxascaris leonina (1.1%), Trichuris vulpis (6.8%), Ancylostoma caninum (2.7%), and Spirometra sp. (1.1%). Additionally, Cystoisospora sp. (7.6%) oocysts were also detected. The prevalence of intestinal parasite infections was higher in shelter dogs than in pet dogs. Molecular genetic assays revealed the gdh and 18S rRNA genes of Giardia duodenalis (type D) in 4.9% of fecal samples. To the best of our knowledge, 18S rRNA genes of Cryptosporidium canis were identified in 1.9% of fecal samples for the first time in Korea. These findings provide an overview of the current status of intestinal parasite infections in fecal samples of dogs from Korea and can be helpful in the surveillance of zoonotic parasite infections related to dogs.

Citations

Citations to this article as recorded by  Crossref logo
  • Prevalence and molecular characterization of intestinal parasites in shelter dogs from South Korea
    You-Jeong Lee, Beoul Kim, Gyeonghyeon Lee, Yong-Myung Kang, Dongmi Kwak, Min-Goo Seo
    Research in Veterinary Science.2025; 188: 105620.     CrossRef
  • Temporal dynamics of pathogen removal and faecal source tracking in a Norwegian nature-based solution/system treating urban waters
    Lisa Paruch, Adam M. Paruch
    Environmental Research.2025; 286: 122842.     CrossRef
  • Local field study on the effectiveness and safety of milbemycin oxime and lotilaner (Credelio® Plus) against canine gastrointestinal nematodes in the Republic of Korea
    Subin Lee, Jinyeong Park, Chong-Ho Kim, Kyung-Duk Min, Hakhyun Kim, Seung-Hun Lee
    Parasitology Research.2025;[Epub]     CrossRef
  • 2,401 View
  • 81 Download
  • 3 Web of Science
  • Crossref
A novel kit for enrichment of fecal helminth eggs
Eunsol Lee, Seon-Ok Back, Young-Ju Lee, Jung-Won Ju, Hee-Il Lee, Myoung-Ro Lee
Parasites Hosts Dis 2024;62(3):323-329.
Published online August 26, 2024
DOI: https://doi.org/10.3347/PHD.24021
We developed a new concentration kit, called the ParaEgg (PE), for easy detection trematode eggs from fecal samples in endemic areas of clonorchiasis and metagonimiasis in Korea. To create a standard of detection efficiency, 120 fecal samples were examined using the water–ether concentration method (WECM). The PE kit and Mini ParaSep (PS) kit were used to compare the detection sensitivity of 100 egg-positive and 20 egg-negative samples in WECM. Additionally, stool samples, which were intentionally spiked with 10, 20, and 30 Clonorchis sinensis eggs, were evaluated to assess the sensitivity in lowinfection cases. The PE and PS kits showed detection rates of 100% and 92%, respectively, from 100 egg-positive samples in WECM. Meanwhile, eggs were detected in 3 (PE) and 2 (PS) out of 20 egg-negative samples in WECM. The PE kit detected the highest number of eggs per gram of feces (727 on average), followed by the WECM (524) and PS kit (432). In fecal samples that were intentionally spiked with 10, 20, and 30 C. sinensis eggs, PE only detected eggs 2 out of 5 samples in 10 eggs spiked (40%), and the detection rates were 80% and 100%, respectively. The PE kit enabled a more accurate identification of trematode eggs because of the clearance of small fecal debris in the microscopic field. In conclusion, the PE kit is obviously helpful to detect and identify trematode eggs in stool examinations especially in endemic areas of clonorchiasis and metagonimiasis.

Citations

Citations to this article as recorded by  Crossref logo
  • 2024년 장내기생충 유행지역 감염 조사

    Public Health Weekly Report.2025; 18(19): 707.     CrossRef
  • Diagnostic performance evaluation of ParaEgg for identifying intestinal helminthiasis: A comparative study with conventional copromicroscopy
    Tilak Chandra Nath, Heeil Lee, Md. Mahamudul Hasan, Tanmoy Roy Rudro, Dipta Das, Md. Taufiqur Rahman, Nandiny Saha Roy, Pritha Parial, Proloy Chakraborty Tusher, Tarek Siddiki
    Parasite Epidemiology and Control.2025; 30: e00449.     CrossRef
  • Detection of intestinal parasites in leopard cat fecal samples using shotgun metagenomics
    Jun Ho Choi, Singeun Oh, Myung-hee Yi, Dongjun Kang, Du-Yeol Choi, Xavier Chavarria, Arwa Shatta, Yoon Hee Cho, Seongjun Choe, Seung-Hun Lee, Ju Yeong Kim
    Parasites, Hosts and Diseases.2025; 63(4): 349.     CrossRef
  • 4,111 View
  • 85 Download
  • 1 Web of Science
  • Crossref
Molecular cloning, identification, transcriptional analysis, and silencing of enolase on the life cycle of Haemaphysalis longicornis (Acari, Ixodidae) tick
Md. Samiul Haque, Md. Khalesur Rahman, Mohammad Saiful Islam, Myung-Jo You
Parasites Hosts Dis 2024;62(2):226-237.
Published online May 27, 2024
DOI: https://doi.org/10.3347/PHD.24015
Ticks, blood-sucking ectoparasites, spread diseases to humans and animals. Haemaphysalis longicornis is a significant vector for tick-borne diseases in medical and veterinary contexts. Identifying protective antigens in H. longicornis for an anti-tick vaccine is a key tick control strategy. Enolase, a multifunctional protein, significantly converts D-2-phosphoglycerate and phosphoenolpyruvate in glycolysis and gluconeogenesis in cell cytoplasm. This study cloned a complete open reading frame (ORF) of enolase from the H. longicornis tick and characterized its transcriptional and silencing effect. We amplified the full-length cDNA of the enolase gene using rapid amplification of cDNA ends. The complete cDNA, with an ORF of 1,297 nucleotides, encoded a 432-amino acid polypeptide. Enolase of the Jeju strain H. longicornis exhibited the highest sequence similarity with H. flava (98%), followed by Dermacentor silvarum (82%). The enolase motifs identified included N-terminal and C-terminal regions, magnesium binding sites, and several phosphorylation sites. Reverse transcription-polymerase chain reaction (RT-PCR) analysis indicated that enolase mRNA transcripts were expressed across all developmental stages of ticks and organs such as salivary gland and midgut. RT-PCR showed higher transcript levels in syn-ganglia, suggesting that synganglion nerves influence enolase,s role in tick salivary glands. We injected enolase double-stranded RNA into adult unfed female ticks, after which they were subsequently fed with normal unfed males until they spontaneously dropped off. RNA interference significantly (P<0.05) reduced feeding and reproduction, along with abnormalities in eggs (no embryos) and hatching. These findings suggest enolase is a promising target for future tick control strategies.

Citations

Citations to this article as recorded by  Crossref logo
  • Comprehensive antigen identification and comparative analysis: significant approaches for controlling Haemaphysalis longicornis ticks
    Md. Samiul Haque, Bumseok Kim, Myung-Jo You
    Journal of Veterinary Science.2025;[Epub]     CrossRef
  • Microbiome Composition of Haemaphysalis flava in Korea and Diversity Analysis Based on Region, Developmental Stage, and Sex
    Min Kyu Sang, Jie eun Park, Dae Kwon Song, Jun Yang Jeong, Chan‐Eui Hong, Hyeonjun Shin, Hyeok Lee, Kyoung Won Lee, Hee Ju Hwang, Hyun woo Kim, Seong Yoon Kim, Wook‐Gyo Lee, So Young Park, Se Won Kang, Jung Han Park, Bharat Bhusan Patnaik, Sung‐Jae Cha, S
    Entomological Research.2025;[Epub]     CrossRef
  • Identification and knockdown effect of disulfide isomerase in the Haemaphysalis longicornis (Acari: Ixodidae)
    Md Samiul Haque, Bumseok Kim, Myung-Jo You
    Revista Brasileira de Parasitologia Veterinária.2025;[Epub]     CrossRef
  • 4,073 View
  • 50 Download
  • Crossref

Brief Communication

Molecular detection and characterization of Acanthamoeba infection in dogs and its association with keratitis in Korea
Subin Lee, Badriah Alkathiri, Ji Seung Jung, Nanyoung Kang, Jiyi Hwang, Sang-Eun Park, Yeonchul Hong, Kyung-Mee Park, Seung-Hun Lee
Parasites Hosts Dis 2024;62(1):139-144.
Published online February 23, 2024
DOI: https://doi.org/10.3347/PHD.23112
Acanthamoeba infection is associated with keratitis in humans; however, its association with keratitis in dogs remains unclear. To investigate this possibility, we collected 171 conjunctival swab samples from dogs with eye-related diseases (65 with keratitis and 106 without keratitis) at Chungbuk National University Veterinary Teaching Hospital, Korea, from August 2021 to September 2022. Polymerase chain reaction identified 9 samples (5.3%) as Acanthamoeba positive; of these, 3 were from dogs with keratitis (4.6%) and 6 were from dogs without keratitis (5.7%). Our results indicated no significant association between Acanthamoeba infection and keratitis, season, sex, or age. All Acanthamoeba organisms found in this study had the genotype T4, according to 18S ribosomal RNA analysis. Acanthamoeba infection in dogs might have only a limited association with keratitis.

Citations

Citations to this article as recorded by  Crossref logo
  • Epidemiology, molecular characterization, and risk factors of Acanthamoeba spp., Blastocystis spp., and Cyclospora spp. infections in snakes in China
    Yilei Zhang, Zhouchun Li, Xinyuan Wang, Kaili Gao, Lijie Tian, Olalekan Opeyemi Ayanniyi, Qianming Xu, Congshan Yang
    Veterinary Parasitology.2025; 335: 110420.     CrossRef
  • Acanthamoeba spp.: Neglected Protists in Veterinary Medicine
    Somayeh Bahrami, Mehdi Zarei, Fiona L. Henriquez, Chukwunonso O. Nzelu
    Acta Parasitologica.2025;[Epub]     CrossRef
  • Anti-adherent effects of Rhizophora apiculata bark and leaf extracts and computational prediction of the effects of its compound on β-tubulin interaction in Acanthamoeba triangularis genotype 4
    Siriphorn Chimplee, Imran Sama-ae, Suthinee Sangkanu, Watcharapong Mitsuwan, Julalak Chuprom, Rachasak Boonhok, Dhrubo Ahmed Khan, Partha Biswas, Md Nazmul Hasan, Hazel Anne Tabo, Cristina C. Salibay, Polrat Wilairatana, Maria L. Pereira, Muhammad Nawaz,
    Veterinary World.2024; : 2829.     CrossRef
  • 3,901 View
  • 90 Download
  • 3 Web of Science
  • Crossref

Original Articles

Efficacy of recombinant enolase as a candidate vaccine against Haemaphysalis longicornis tick infestation in mice
Md. Samiul Haque, Mohammad Saiful Islam, Myung-Jo You
Parasites Hosts Dis 2023;61(4):439-448.
Published online November 28, 2023
DOI: https://doi.org/10.3347/PHD.23075
Tick infestation causes a significant threat to human and animal health, requiring effective immunological control methods. This study aimed to investigate the potential of recombinant Haemaphysalis longicornis enolase protein for tick vaccine development. The exact mechanism of the recently identified enolase protein from the H. longicornis Jeju strain remains poorly understood. Enolase plays a crucial role in glycolysis, the metabolic process that converts glucose into energy, and is essential for the motility, adhesion, invasion, growth, and differentiation of ticks. In this study, mice were immunized with recombinant enolase, and polyclonal antibodies were generated. Western blot analysis confirmed the specific recognition of enolase by the antiserum. The effects of immunization on tick feeding and attachment were assessed. Adult ticks attached to the recombinant enolase-immunized mice demonstrated longer attachment time, increased blood-sucking abilities, and lower engorgement weight than the controls. The nymphs and larvae had a reduced attachment rate and low engorgement rate compared to the controls. Mice immunized with recombinant enolase expressed in Escherichia coli displayed 90% efficacy in preventing tick infestation. The glycolytic nature of enolase and its involvement in crucial physiological processes makes it an attractive target for disrupting tick survival and disease transmission. Polyclonal antibodies recognize enolase and significantly reduce attachment rates, tick feeding, and engorgement. Our findings indicate that recombinant enolase may be a valuable vaccine candidate for H. longicornis infection in experimental murine model.

Citations

Citations to this article as recorded by  Crossref logo
  • Comprehensive antigen identification and comparative analysis: significant approaches for controlling Haemaphysalis longicornis ticks
    Md. Samiul Haque, Bumseok Kim, Myung-Jo You
    Journal of Veterinary Science.2025;[Epub]     CrossRef
  • Effect of Silencing subolesin and enolase impairs gene expression, engorgement and reproduction in Haemaphysalis longicornis (Acari: Ixodidae) ticks
    Md. Samiul Haque, Mohammad Saiful Islam, Myung-Jo You
    Journal of Veterinary Science.2024;[Epub]     CrossRef
  • Targeting Plasmodium Life Cycle with Novel Parasite Ligands as Vaccine Antigens
    Shan Khan, Manas Paresh Patel, Aleem Damji Patni, Sung-Jae Cha
    Vaccines.2024; 12(5): 484.     CrossRef
  • 3,216 View
  • 151 Download
  • 3 Web of Science
  • Crossref
Prevalence of chigger mites and Orientia tsutsugamushi strains in northern regions of Gangwon-do, Korea
Soojin Kim, In Yong Lee, Sezim Monoldorova, Jiro Kim, Jang Hoon Seo, Tai-Soon Yong, Bo Young Jeon
Parasites Hosts Dis 2023;61(3):263-271.
Published online August 21, 2023
DOI: https://doi.org/10.3347/PHD.22148
The present study aimed to survey the prevalence of chigger mites and Orientia tsutsugamushi (O. tsutsugamushi) infection in the northern regions of Gangwon-do, Korea. From early February to early June 2015, a total of 17,050 chiggers were collected from striped field mice, Apodemus agrarius, in Cheorwon-gun, Hwacheon-gun, Yanggu-gun, and Goseong-gun, which are well-known endemic areas of scrub typhus in Korea. The chiggers were analyzed using molecular genomic methods, as previously described. Among the 7,964 identified chiggers, the predominant species was Leptotrombidium pallidum (76.9%), followed by L. zetum (16.4%), L. orientale (4.3%), L. palpale (0.3%), L. tectum (0.2%), and Neotrombicula tamiyai (1.8%). The chigger index (CI) was highest in Hwacheon (115.58), followed by Cheorwon (97.02), Yanggu (76.88), and Goseong (54.68). Out of the 79 O. tsutsugamushi-positive chigger pools, 67 (84.8%) were identified as the Boryong strain, 10 (12.7%) as the Youngworl strain, and only 2 were the Jecheon strain. Based on the high infestation of chiggers in striped field rodents and the high rate of O. tsutsugamushi infection in chigger mites, Hwacheon-gun and Cheorwon-gun are presumed to be high-risk areas for scrub typhus. Furthermore, L. pallidum, a major vector of scrub typhus, and the dominant O. tsutsugamushi serotype, the Boryong strain, were found in the northern regions of Gangwon-do, Korea.

Citations

Citations to this article as recorded by  Crossref logo
  • Geographic distribution of Orientia tsutsugamushi strains on chigger mites in the Republic of Korea (2021–2023)
    Hyeon Seung Lee, Byung-Eon Noh, Hyunwoo Kim, Heeil Lee
    Parasites & Vectors.2025;[Epub]     CrossRef
  • Surveillance of Vector‐Borne Zoonotic Diseases in South Korea: Uncovering Novel Pathogen Carriers Among Rodents and Mites Nationwide
    Beoul Kim, You-Jeong Lee, Hee Il Lee, Dongmi Kwak, Min-Goo Seo, Nan-hua Chen
    Transboundary and Emerging Diseases.2024;[Epub]     CrossRef
  • 2022년 쯔쯔가무시증 매개 털진드기 감시 현황
    세훈 조, 태규 김, 현우 김, 정원 주, 희일 이
    Public Health Weekly Report.2023; 16(46): 1563.     CrossRef
  • 5,374 View
  • 118 Download
  • 2 Web of Science
  • Crossref
Molecular epidemiological survey of pathogenic trypanosomes in naturally infected cattle in northern Côte d’ivoire
Jean-Yves Ekra, Edouard K. N’Goran, Leonard E.G. Mboera, Biégo Guillaume Gragnon, Koco Rita Nadège Assovié, Eliakunda Michael Mafie
Parasites Hosts Dis 2023;61(2):127-137.
Published online May 23, 2023
DOI: https://doi.org/10.3347/PHD.22170
Bovine trypanosomiasis is a significant health concern for livestock intensification in Côte d’Ivoire. This study aimed to determine the prevalence and distribution of pathogenic trypanosomes and identify the most infected cattle breed in northern Côte d'Ivoire. We examined 700 cattle and found that polymerase chain reaction (PCR) was more sensitive (12.3%) than microscopic observation (5.6%). Among the trypanosome species detected in naturally infected cattle, Trypanosoma vivax was 7.3%, Trypanosoma simiae tsavo was 6.7%, and Trypanosoma congolense was 0.4%. The overall prevalence of trypanosome infection in all cattle breeds was 12.3%, while the prevalence in individual breeds was 14.8%, 7.3%, 10.6%, and 12.3% for N’Dama, Baoule, Zebu, and Mere breed, respectively. The infected animals had low packed cell volume, influencing the prevalence. Our findings indicate that bovine trypanosomes are prevalent in Côte d’Ivoire, and their prevalence varies by region and breed. These pathogens include T. vivax, T. simiae tsavo, and T. congolense.

Citations

Citations to this article as recorded by  Crossref logo
  • Prediction of the molecular action of Trypanosoma vivax on bovine reproductive parameters and risk factors associated with trypanosomiasis in northern Minas Gerais, Brazil
    Amanda Cristielly Nunes De Lima, Joely Ferreira Figueiredo Bittar, Otaviano de Souza Pires Neto, Eliane Macedo Sobrinho Santos, Priscilla Elias Ferreira da Silva, Hércules Otacílio Santos, Cintya Neves de Souza, Franciane Gabrielle dos Santos, Anna Christ
    Veterinary World.2025; : 837.     CrossRef
  • Genetic Diversity of Trypanosomes Infesting Cattle from Savannah District in North of Côte d’Ivoire Using Conserved Genomic Signatures: rRNA, ITS1 and gGAPDH
    Jean-Yves Ekra, Eliakunda Michael Mafie, Edouard K. N’Goran, Dramane Kaba, Biégo Guillaume Gragnon, Jagan Srinivasan
    Pathogens.2024; 13(3): 262.     CrossRef
  • Trypanocide Use and Molecular Characterization of Trypanosomes Resistant to Diminazene Aceturate in Cattle in Northern Côte D’Ivoire
    Jean-Yves Ekra, Eliakunda Michael Mafie, Henri Sonan, Michael Kanh, Biégo Guillaume Gragnon, Edouard K. N’Goran, Jagan Srinivasan
    Tropical Medicine and Infectious Disease.2024; 9(9): 192.     CrossRef
  • 6,638 View
  • 209 Download
  • 3 Web of Science
  • Crossref

Brief Communication

Distribution and genotypic analysis of Enterocytozoon bieneusi from cats in Korea
Heon-Moo Park, Haeseung Lee, So-Young Sung, Kaifa Nazim, Bo-Yoon Jang, Ki-Chang Sung, Seung-Hun Lee, Min-Goo Seo, Man Hee Rhee, Dongmi Kwak
Parasites Hosts Dis 2025;63(2):188-194.
Published online May 26, 2025
DOI: https://doi.org/10.3347/PHD.25019
Enterocytozoon bieneusi is an opportunistic microsporidian parasite with zoonotic potential that causes gastrointestinal illness in humans and animals. This study aimed to investigate the presence and genetic diversity of E. bieneusi from cats in Korea and to assess the potential public health risks associated with zoonotic genotypes. Among the 137 feline fecal samples, 4 (2.9%) were PCR-positive for E. bieneusi. In addition, 2 E. bieneusi genotypes were identified: Type IV, a known zoonotic genotype belonging to Group 1, and KCAT1, a novel genotype with zoonotic potential belonging to Group 1. This study is the first to report on these genotypes from cats in Korea, most of which were companion cats visiting veterinary clinics. Despite the low detection rate, the presence of zoonotic genotypes in companion cats is a potential public health concern because of the close physical interaction between cats and their human caregivers. These findings indicate the importance of routine monitoring and the molecular characterization of E. bieneusi in companion animals to comprehensively understand their zoonotic transmission patterns and to guide future risk assessments and preventive strategies.

Citations

Citations to this article as recorded by  Crossref logo
  • Molecular Detection and Genotyping of Enterocytozoon bieneusi in Environmental Sources near Cattle Farms in Korea
    Haeseung Lee, Myungji Jo, Hyeyeon Kim, Kaifa Nazim, Seung-Hun Lee, Min-Goo Seo, Sang-Joon Park, Man Hee Rhee, Dongmi Kwak
    International Journal of Molecular Sciences.2025; 26(15): 7270.     CrossRef
  • Distribution and genotypes of Enterocytozoon bieneusi in raccoon dogs in Korea
    Heon-Moo Park, Haeseung Lee, Su-Jin Chae, Kidong Son, Sanghyun Lee, Kaifa Nazim, Seung-Hun Lee, Yoonhoi Koo, Jinsu Kang, Min-Goo Seo, Sang Joon Park, Man Hee Rhee, Dongmi Kwak
    Parasites, Hosts and Diseases.2025; 63(3): 258.     CrossRef
  • 1,846 View
  • 42 Download
  • 2 Web of Science
  • Crossref

Mini Reviews

Emerging Plasmodium falciparum K13 gene mutation to artemisinin-based combination therapies and partner drugs among malaria-infected population in sub-Saharan Africa
Samuel Adeniyi Oyegbade, Emmanuel Ojochegbe Mameh, Daniel Oluwatobiloba Balogun, Victoria-Grace Onyekachi Aririguzoh, Paul Akinniyi Akinduti
Parasites Hosts Dis 2025;63(2):109-122.
Published online May 26, 2025
DOI: https://doi.org/10.3347/PHD.24053
The continuous Plasmodium falciparum kelch13 (PfK13) genetic alterations conferring resistance to artemisinin-based combination therapies and partner drugs pose a significant threat to effective treatment and control of P. falciparum infection in developing countries. This review evaluates the emergence and epidemiology of the PfK13 mutation associated with artemisinin resistance in the sub-Saharan Africa (SSA) population. Despite empirical control and artemisinin combination therapy, the PfK13 gene mutation, previously described in Southeast Asia, has been reported in the SSA. Eight of these validated markers, including P553L, M476I, C580Y, A675V, P574L, R561H, R622I, and F446I, were reported among the SSA population. Novel and unvalidated markers, such as P615S, M472I, F434S, A578S, P570L, Y558C, K563R, A569T, I684N, M472I, and C473F spread among the population with low frequency. We provide insight into the emergence and spread of validated and unvalidated PfK13 mutations among the SSA population, which could lead to high artemisinin resistance. Investigating the verified PfK13 mutations will improve prophylactic strategies, prognostic diagnosis and guide effective population-based surveillance for effective P. falciparum malaria control in SSA.

Citations

Citations to this article as recorded by  Crossref logo
  • Emergence of chloroquine-sensitive Plasmodium falciparum and rising resistance to first-line artemisinin partner drugs in Malawi
    Ernest Mazigo, Hojong Jun, Wang-Jong Lee, Johnsy Mary Louis, Jadidan Hada Syahada, Fadhila Fitriana, Fauzi Muh, Md Atique Ahmed, Feng Lu, Joon-Hee Han, Tae-Hyung Kwon, Se Jin Lee, Sunghun Na, Wanjoo Chun, Won Sun Park, Eun-Taek Han, Winifrida Kidima, Jin-
    Emerging Microbes & Infections.2025;[Epub]     CrossRef
  • A scoping review of antimalarial drug resistance markers in Kenya (1987–2022): toward a National Surveillance Framework and Data Repository
    Kevin Wamae, John Magudha, Emmanuel Asiimwe, Kariuki Kimani, Regina Kandie, Kibor Keitany, Robert W. Snow, L. Isabella Ochola-Oyier
    Malaria Journal.2025;[Epub]     CrossRef
  • 5,251 View
  • 93 Download
  • 2 Web of Science
  • Crossref
Understanding the pathogenicity of Naegleria fowleri in association with N. fowleri antigen-1 (Nfa1)
Jong-Hyun Kim, Hae-Jin Sohn, Ho-Joon Shin, Stacy E. Walz, Suk-Yul Jung
Parasites Hosts Dis 2024;62(4):385-398.
Published online November 22, 2024
DOI: https://doi.org/10.3347/PHD.24025
Naegleria fowleri, a brain-eating amoeba, thrives in lakes and rivers with aquatic vegetation and causes primary amoebic meningoencephalitis (PAM) in humans. Most recently, it has become such a serious problem that N. fowleri was detected in tap water in Houston, USA. Several pathogenic factors are considered very important to destroy target cells in the brain. In particular, the food-cup where N. fowleri antigen-1 (Nfa1) is located, is strongly expressed in pseudopodia involved in the movement of N. fowleri, and is involved in phagocytosis by attaching to target cells. In this article, we reviewed the role of the Nfa1 protein and its associated pathogenicity. The nfa1 gene was cloned by cDNA library immunoscreening using infection serum and immune serum. Nfa1 protein is mainly distributed in pseudopodia important to movement and vacuoles. Moreover, heat shock protein 70, cathepsin-like proteare and Nf-actin are also associated with pseudopodia in which Nfa1 is localized. Interestingly, the amount of the nfa1 gene changed as N. fowleri trophozoites transformed into cysts. Polyclonal antiserum against Nfa1 showed a protective effect against cytotoxicity of approximately 19.7%. Nfa1-specific IgA antibodies prevent N. fowleri trophozoites from adhering to the nasal mucosa, delaying invasion. The nfa1-vaccinated mice showed significantly higher levels of Nfa1-specific antibody. The duration of anti-Nfa1 IgG in the vaccinated mice lasted 12 weeks, strongly suggesting that nfa1 is a significant pathogenic gene and that Nfa1 is a pathogenic protein. Several factors related to pseudopodia and locomotion have been linked to Nfa1. A clearer function of N. fowleri targeting nfa1 with other genes might enable target-based inhibition of N. fowleri pathogenicity.

Citations

Citations to this article as recorded by  Crossref logo
  • Computational exploration of natural inhibitors against toxin-associated proteins in Naegleria fowleri Karachi strain
    Rabia Faizan, Muhammad Naveed, Inmaculada Bellido Estevez, Nimra Hanif, Arooj Arshad, Tariq Aziz, Abdulhakeem S. Alamri, Walaa F. Alsanie, Majid Alhomrani
    Pathology - Research and Practice.2025; 274: 156184.     CrossRef
  • A review of the mechanism, diagnosis, and treatment of Naegleria fowleri infection
    Ling Dai, Xin-Ru Guo, Xu-Rui Chen, Ming-Hao Ma, Zi-Han Liu, Juan Lai, Jun Lu, Ming Feng, Xi-Xia Liu, Sheng-Hui Yang
    Frontiers in Microbiology.2025;[Epub]     CrossRef
  • 5,037 View
  • 325 Download
  • 2 Web of Science
  • Crossref

Original Articles

Trichomoniasis is caused by a sexually transmitted flagellate protozoan parasite Trichomonas vaginalis. T. vaginalis-derived secretory products (TvSP) contain lipid mediators such as leukotriene B4 (LTB4) and various cysteinyl leukotrienes (CysLTs) which included LTC4, LTD4, and LTE4. However, the signaling mechanisms by which T. vaginalis-induced CysLTs stimulate interleukin (IL)-8 production in human mast cells remain unclear. In this study, we investigated these mechanisms in human mast cells (HMC-1). Stimulation with TvSP resulted in increased intracellular reactive oxygen species (ROS) generation and NADPH oxidase 2 (NOX2) activation compared to unstimulated cells. Pre-treatment with NOX2 inhibitors such as diphenyleneiodonium chloride (DPI) or apocynin significantly reduced ROS production in TvSP-stimulated HMC-1 cells. Additionally, TvSP stimulation increased NOX2 protein expression and the translocation of p47phox from the cytosol to the membrane. Pretreatment of HMC-1 cells with PI3K or PKC inhibitors reduced TvSP-induced p47phox translocation and ROS generation. Furthermore, NOX2 inhibitors or NOX2 siRNA prevented CREB phosphorylation and IL-8 gene expression or protein secretion induced by TvSP. Pretreatment with a CysLTR antagonist significantly inhibited TvSP-induced ROS production, CREB phosphorylation, and IL-8 production. These results indicate that CysLT-mediated activation of NOX2 plays a crucial role in ROS-dependent IL-8 production in human mast cells stimulated by T. vaginalis-secreted CysLTs. These findings enhance our understanding of the inflammatory response in trichomoniasis and may inform the development of targeted therapies to mitigate this response.

Citations

Citations to this article as recorded by  Crossref logo
  • Untargeted metabolomics reveals postoperative metabolic dynamics in hepatic cystic echinococcosis patients
    Kahaer Tuerxun, Abudouxikuer Abudoumijiti, Zainuer Yusupu, Rousitaimujiang Yimamu, Ronghua Tang, Ziru Wang, Abudoukeyimu Yasheng, Irshat Ibrahim, Yuanquan Wu
    Immunobiology.2025; 230(4): 153099.     CrossRef
  • Radical-induced lipid oxidation produces a torrent of leukotriene-like agonists in severe asthma
    Si-Yang Liu, Mikhail Linetsky, Abby Hite, Yu-Shiuan Cheng, Masaru Miyagi, Serena C. Zhu, Hong Zeng, Siqi Huang, Myra Qin, Emma Sintic, Carolyn M. Koutures, Abigail Meneses, Olivia R. Laniak, Sailaja Paruchuri, Lakshminarayan R. Teegala, Kaixi Cui, Fariba
    Journal of Allergy and Clinical Immunology.2025;[Epub]     CrossRef
  • 2,470 View
  • 75 Download
  • 1 Web of Science
  • Crossref
Population genetic analysis of Plasmodium vivax vir genes in Pakistan
Sylvatrie-Danne Dinzouna-Boutamba, Zin Moon, Sanghyun Lee, Sahib Gul Afridi, Hương Giang Lê, Yeonchul Hong, Byoung-Kuk Na, Youn-Kyoung Goo
Parasites Hosts Dis 2024;62(3):313-322.
Published online August 26, 2024
DOI: https://doi.org/10.3347/PHD.24036
Plasmodium vivax variant interspersed repeats (vir) refer to the key protein used for escaping the host immune system. Knowledge in the genetic variation of vir genes can be used for the development of vaccines or diagnostic methods. Therefore, we evaluated the genetic diversity of the vir genes of P. vivax populations of several Asian countries, including Pakistan, which is a malaria-endemic country experiencing a significant rise in malaria cases in recent years. We analyzed the genetic diversity and population structure of 4 vir genes (vir 4, vir 12, vir 21, and vir 27) in the Pakistan P. vivax population and compared these features to those of the corresponding vir genes in other Asian countries. In Pakistan, vir 4 (S=198, H=9, Hd=0.889, Tajima’s D value=1.12321) was the most genetically heterogenous, while the features of vir 21 (S=8, H=7, Hd=0.664, Tajima’s D value =-0.63763) and vir 27 (S =25, H =11, Hd =0.682, Tajima’s D value=-2.10836) were relatively conserved. Additionally, vir 4 was the most genetically diverse among Asian P. vivax populations, although within population diversity was low. Meanwhile, vir 21 and vir 27 among all Asian populations were closely related genetically. Our findings on the genetic diversity of vir genes and its relationships between populations in diverse geographical locations contribute toward a better understanding of the genetic characteristics of vir. The high level of genetic diversity of vir 4 suggests that this gene can be a useful genetic marker for understanding the P. vivax population structure. Longitudinal genetic diversity studies of vir genes in P. vivax isolates obtained from more diverse geographical areas are needed to better understand the function of vir genes and their use for the development of malaria control measures, such as vaccines.

Citations

Citations to this article as recorded by  Crossref logo
  • Genetic polymorphisms of merozoite surface protein-3α in Plasmodium vivax isolates from Pakistan
    Kim Oanh Nguyễn, Jung-Mi Kang, Tuấn Cường Võ, Hương Giang Lê, Seemab Akhtar, Thu Hằng Nguyễn, Đăng Thùy Dương Nguyễn, Minkyoung Cho, Sahib Gul Afridi, Byoung-Kuk Na
    Acta Tropica.2025; 272: 107904.     CrossRef
  • Genetic polymorphism of Duffy binding protein in Pakistan Plasmodium vivax isolates
    Đăng Thùy Dương Nguyễn, Tuấn Cường Võ, Kim Oanh Nguyễn, Hương Giang Lê, Jung-Mi Kang, Thu Hằng Nguyễn, Minkyoung Cho, Sahib Gul Afridi, Byoung-Kuk Na
    Acta Tropica.2024; 260: 107421.     CrossRef
  • 3,083 View
  • 78 Download
  • 2 Web of Science
  • Crossref
Genetic structure of apical membrane antigen-1 in Plasmodium falciparum isolates from Pakistan
Komal Zaib, Asifullah Khan, Muhammad Umair Khan, Ibrar Ullah, Tuấn Cường Võ, Jung-Mi Kang, Hương Giang Lê, Byoung-Kuk Na, Sahib Gul Afridi
Parasites Hosts Dis 2024;62(3):302-312.
Published online August 26, 2024
DOI: https://doi.org/10.3347/PHD.24028
Plasmodium falciparum apical membrane antigen-1 (PfAMA-1) is a major candidate for the blood-stage malaria vaccine. Genetic polymorphisms of global pfama-1suggest that the genetic diversity of the gene can disturb effective vaccine development targeting this antigen. This study was conducted to explore the genetic diversity and gene structure of pfama-1 among P. falciparum isolates collected in the Khyber Pakhtunkhwa (KP) province of Pakistan. A total of 19 full-length pfama-1 sequences were obtained from KP-Pakistan P. falciparum isolates, and genetic polymorphism and natural selection were investigated. KP-Pakistan pfama-1 exhibited genetic diversity, wherein 58 amino acid changes were identified, most of which were located in ectodomains, and domains I, II, and III. The amino acid changes commonly found in the ectodomain of global pfama-1 were also detected in KP-Pakistan pfama-1. Interestingly, 13 novel amino acid changes not reported in the global population were identified in KP-Pakistan pfama-1. KP-Pakistan pfama-1 shared similar levels of genetic diversity with global pfama-1. Evidence of natural selection and recombination events were also detected in KP-Pakistan pfama-1.

Citations

Citations to this article as recorded by  Crossref logo
  • Genetic diversity and natural selection of cell-traversal protein for ookinetes and sporozoites (CelTOS) in Plasmodium falciparum isolates from Vietnam
    Tuấn Cường Võ, Hương Giang Lê, Jung-Mi Kang, Nguyen Thi Minh Trinh, Minkyoung Cho, Youn-Kyoung Goo, Huynh Hong Quang, Byoung-Kuk Na
    Gene.2025; 968: 149731.     CrossRef
  • Genetic polymorphism of Duffy binding protein in Pakistan Plasmodium vivax isolates
    Đăng Thùy Dương Nguyễn, Tuấn Cường Võ, Kim Oanh Nguyễn, Hương Giang Lê, Jung-Mi Kang, Thu Hằng Nguyễn, Minkyoung Cho, Sahib Gul Afridi, Byoung-Kuk Na
    Acta Tropica.2024; 260: 107421.     CrossRef
  • 3,320 View
  • 75 Download
  • 2 Web of Science
  • Crossref
Proteome identification of common immunological proteins of two nematode parasites
Shin Ae Kang, Hak Sun Yu
Parasites Hosts Dis 2024;62(3):342-350.
Published online August 26, 2024
DOI: https://doi.org/10.3347/PHD.24027
Although helminth parasites have different life cycles, their hosts share similar immune responses involving Th2 cell-type. Here, we extracted proteins from the larvae of Anisakis simplex complex and Trichinella spiralis to identify common and specific antigens (or allergens) associated with the Th2 immune response. We performed two-dimensional electrophoresis analysis and Matrix-assisted laser desorption ionization–time of flight/time of flight (MALDI-TOF/TOF) experiments. We found 13 potentially immunogenic proteins, which included 5 spots specific to T. spiralis and 8 common to T. spiralis and A. simplex, by tandem mass spectrometry. These molecules were identified structurally as actin, tropomyosin, col cuticle N domain-containing protein, and heat shock proteins. We also identified molecules related to parasite-host immune modulation and interactions. Our results may contribute to reveal potential roles of immunological proteins in parasite-derived immune modulation.

Citations

Citations to this article as recorded by  Crossref logo
  • Therapeutic potentials of Trichinella spiralis in immune disorders: From allergy to autoimmunity
    Minkyoung Cho, Hak Sun Yu
    Parasites, Hosts and Diseases.2025; 63(2): 123.     CrossRef
  • Coupled transcriptome and proteome analysis of L3 and L4 developmental stages of Anisakis simplex s. s.: insights into target genes under glucose influence
    Iwona Polak, Robert Stryiński, Mateusz Maździarz, Lukasz Paukszto, Mónica Carrera, Iwona Bogacka, Elżbieta Łopieńska-Biernat
    BMC Genomics.2025;[Epub]     CrossRef
  • 2,123 View
  • 58 Download
  • 2 Web of Science
  • Crossref
Identification of the protease inhibitory domain of Trichinella spiralis novel cystatin (TsCstN)
Thassanee Yuthithum, Orawan Phuphisut, Onrapak Reamtong, Nathamon Kosoltanapiwat, Salisa Chaimon, Porntida Kobpornchai, Charin Thawornkuno, Preeyarat Malaithong, Orathai Sawatdichaikul, Poom Adisakwattana
Parasites Hosts Dis 2024;62(3):330-341.
Published online August 26, 2024
DOI: https://doi.org/10.3347/PHD.24026
The Trichinella spiralis novel cystatin (TsCstN) inhibits cathepsin L (CatL) activity and inflammation of macrophages during lipopolysaccharide (LPS) induction. To identify the protease inhibitory region, this study applied an in silico modeling approach to simulate truncation sites of TsCstN (Ts01), which created four truncated forms, including TsCstN∆1-39 (Ts02), TsCstN∆1-71 (Ts03), TsCstN∆1-20, ∆73-117 (Ts04), and TsCstN∆1-20, ∆42-117 (Ts05). The superimposition of these truncates modeled with AlphaFold Colab indicated that their structures were more akin to Ts01 than those modeled with I-TASSER. Moreover, Ts04 exhibited the closest resemblance to the structure of Ts01. The recombinant Ts01 (rTs01) and truncated proteins (rTs02, rTs03, and rTs04) were successfully expressed in a prokaryotic expression system while Ts05 was synthesized, with sizes of approximately 14, 12, 8, 10, and 2.5 kDa, respectively. When determining the inhibition of CatL activity, both rTs01 and rTs04 effectively reduced CatL activity in vitro. Thus, the combination of the α1 and L1 regions may be sufficient to inhibit CatL. This study provides comprehensive insights into TsCstN, particularly regarding its protein function and inhibitory domains against CatL.

Citations

Citations to this article as recorded by  Crossref logo
  • Systems biology of Haemonchus contortus – Advancing biotechnology for parasitic nematode control
    Yuanting Zheng, Neil D. Young, Tao Wang, Bill C.H. Chang, Jiangning Song, Robin B. Gasser
    Biotechnology Advances.2025; 81: 108567.     CrossRef
  • Therapeutic potentials of Trichinella spiralis in immune disorders: From allergy to autoimmunity
    Minkyoung Cho, Hak Sun Yu
    Parasites, Hosts and Diseases.2025; 63(2): 123.     CrossRef
  • 2,586 View
  • 71 Download
  • 2 Web of Science
  • Crossref

Mini Review

Sparganosis in the Indian Sub-continent and the Middle East
Yukifumi Nawa, Mio Tanaka, Masahide Yoshikawa
Parasites Hosts Dis 2024;62(3):263-269.
Published online August 26, 2024
DOI: https://doi.org/10.3347/PHD.23126
Sparganosis is one of the common zoonotic diseases caused by infection with the larval plerocercoids (spargana) of the cestode genus Spirometra. While this parasite distributes globally in canine and feline hosts, human infection is predominantly reported in East Asia, especially China, Korea, Japan, and Thailand. Maybe related to the behavior and food culture, this zoonotic disease is rather rare in South Asia to the Middle East. In these areas, sporadic case reports have been appeared mostly in the local medical journals. To draw a solid picture of sparganosis in these non-endemic areas of Asia, we made an extensive literature survey to gather sparganosis cases in the Indian subcontinent and the Middle East.

Citations

Citations to this article as recorded by  Crossref logo
  • Case report: Sparganosis in Minervarya pierrei (Dubois, 1975) (Amphibia: Anura: Dicroglossidae), a new host from India
    Neelanjana Saha, Sudheer Kumar Jena, Oindrila Paul, Suman Das, Upasana Bhattacharya, Anjum N. Rizvi, Pratyush P. Mohapatra
    Journal of Parasitic Diseases.2025;[Epub]     CrossRef
  • Deciphering the global genetic structure of Spirometra mansoni and S. erinaceieuropaei based on 28S ribosomal RNA: Insights into taxonomical revaluation and population dynamics
    Anil Kumar Nehra, Rasmita Panda, Prem Sagar Maurya, Ansu Kumari, Aman Dev Moudgil
    Parasitology Research.2025;[Epub]     CrossRef
  • 3,298 View
  • 91 Download
  • 2 Web of Science
  • Crossref

Original Articles

The anti-amoebic activity of Pinus densiflora leaf extract against the brain-eating amoeba Naegleria fowleri
Hương Giang Lê, Woong Kim, Jung-Mi Kang, Tuấn Cường Võ, Won Gi Yoo, Hyeonsook Cheong, Byoung-Kuk Na
Parasites Hosts Dis 2024;62(2):169-179.
Published online May 27, 2024
DOI: https://doi.org/10.3347/PHD.23103
Naegleria fowleri invades the brain and causes a fatal primary amoebic meningoencephalitis (PAM). Despite its high mortality rate of approximately 97%, an effective therapeutic drug for PAM has not been developed. Approaches with miltefosine, amphotericin B, and other antimicrobials have been clinically attempted to treat PAM, but their therapeutic efficacy remains unclear. The development of an effective and safe therapeutic drug for PAM is urgently needed. In this study, we investigated the anti-amoebic activity of Pinus densiflora leaf extract (PLE) against N. fowleri. PLE induced significant morphological changes in N. fowleri trophozoites, resulting in the death of the amoeba. The IC50 of PLE on N. fowleri was 62.3±0.95 μg/ml. Alternatively, PLE did not significantly affect the viability of the rat glial cell line C6. Transcriptome analysis revealed differentially expressed genes (DEGs) between PLE-treated and non-treated amoebae. A total of 5,846 DEGs were identified, of which 2,189 were upregulated, and 3,657 were downregulated in the PLE-treated amoebae. The DEGs were categorized into biological process (1,742 genes), cellular component (1,237 genes), and molecular function (846 genes) based on the gene ontology analysis, indicating that PLE may have dramatically altered the biological and cellular functions of the amoeba and contributed to their death. These results suggest that PLE has anti-N. fowleri activity and may be considered as a potential candidate for the development of therapeutic drugs for PAM. It may also be used as a supplement compound to enhance the therapeutic efficacy of drugs currently used to treat PAM.

Citations

Citations to this article as recorded by  Crossref logo
  • A xanthone O-glucoside isolated from Iris setosa Pall. ex Link exhibits promising anti-amoebic activity against the brain-eating amoeba Naegleria fowleri
    Hương Giang Lê, Buyng Su Hwang, Ji-Su Choi, Yong Tae Jeong, Tuấn Cường Võ, Minkyoung Cho, Yeonchul Hong, Jeong Ho Kim, Young Taek Oh, Byoung-Kuk Na
    Phytomedicine.2025; 147: 157199.     CrossRef
  • From nose to neurons: The lethal journey of the brain-eating amoeba Naegleria fowleri
    Arindam Mitra, Débora Brito Goulart
    The Microbe.2025; 8: 100537.     CrossRef
  • 3,609 View
  • 97 Download
  • 2 Web of Science
  • Crossref
Toxoplasma gondii IST suppresses inflammatory and apoptotic responses by inhibiting STAT1-mediated signaling in IFN-γ/TNF-α-stimulated hepatocytes
Seung-Hwan Seo, Ji-Eun Lee, Do-Won Ham, Eun-Hee Shin
Parasites Hosts Dis 2024;62(1):30-41.
Published online February 23, 2024
DOI: https://doi.org/10.3347/PHD.23129
The dense granule protein of Toxoplasma gondii, inhibitor of signal transducer and activator of transcription 1 (IST) is an inhibitor of signal transducer and activator of transcription 1 (STAT1) transcriptional activity that binds to STAT1 and regulates the expression of inflammatory molecules in host cells. A sterile inflammatory liver injury in pathological acute liver failures occurs when excessive innate immune function, such as the massive release of IFN-γ and TNF-α, is activated without infection. In relation to inflammatory liver injury, we hypothesized that Toxoplasma gondii inhibitor of STAT1 transcription (TgIST) can inhibit the inflammatory response induced by activating the STAT1/IRF-1 mechanism in liver inflammation. This study used IFN-γ and TNF-α as inflammatory inducers at the cellular level of murine hepatocytes (Hepa-1c1c7) to determine whether TgIST inhibits the STAT1/IRF-1 axis. In stable cells transfected with TgIST, STAT1 expression decreased with a decrease in interferon regulatory factor (IRF)-1 levels. Furthermore, STAT1 inhibition of TgIST resulted in lower levels of NF-κB and COX2, as well as significantly lower levels of class II transactivator (CIITA), iNOS, and chemokines (CLXCL9/10/11). TgIST also significantly reduced the expression of hepatocyte proapoptotic markers (Caspase3/8/9, P53, and BAX), which are linked to sterile inflammatory liver injury. TgIST also reduced the expression of adhesion (ICAM-1 and VCAM-1) and infiltration markers of programmed death-ligand 1 (PD-L1) induced by hepatocyte and tissue damage. TgIST restored the cell apoptosis induced by IFN-γ/TNF-α stimulation. These results suggest that TgIST can inhibit STAT1-mediated inflammatory and apoptotic responses in hepatocytes stimulated with proinflammatory cytokines.

Citations

Citations to this article as recorded by  Crossref logo
  • Toxoplasma GRA16 attenuates Tau hyperphosphorylation and enhances autophagy in thrombin-treated HT-22 hippocampal neuronal cells
    Seung-Hwan Seo, Do-Won Ham, Ji-Eun Lee, Eun-Hee Shin
    Scientific Reports.2025;[Epub]     CrossRef
  • Toxoplasma gondii GRA16 Suppresses Aerobic Glycolysis by Downregulating c-Myc and TERT Expressions in Colorectal Cancer Cells
    Ji-Eun Lee, Seung-Hwan Seo, Do-Won Ham, Eun-Hee Shin
    Biomolecules & Therapeutics.2025; 33(4): 621.     CrossRef
  • 6,846 View
  • 534 Download
  • 2 Web of Science
  • Crossref

Brief Communication

Molecular detection of Borrelia theileri in cattle in Korea
Hyeon-Ji Hyung, Yun-Sil Choi, Jinho Park, Kwang-Jun Lee, Jun-Gu Kang
Parasites Hosts Dis 2024;62(1):151-156.
Published online February 23, 2024
DOI: https://doi.org/10.3347/PHD.23105
Bovine borreliosis, caused by Borrelia theileri which is transmitted via hard tick bites, is associated with mild clinical symptoms, such as fever, lethargy, hemoglobinuria, anorexia, and anemia. Borrelia theileri infects various animals, such as cattle, deer, horses, goats, sheep, and wild ruminants, in Africa, Australia, and South America. Notably, no case of B. theileri infection has been reported in Korean cattle to date. In this study, 101 blood samples were collected from a Korean indigenous cattle breed, among which 1.98% tested positive for B. theileri via nested PCR. The obtained sequences exhibited high homology with B. theileri strains identified in other regions. Phylogenetic analysis of 16S rRNA confirmed the B. theileri group affiliation; however, flagellin B sequences exhibited divergence, potentially due to regional evolutionary differences. This study provides the first molecular confirmation of B. theileri infection in Korean livestock. Further isolation and nucleotide sequence analyses are necessary to better understand the presence of B. theileri strains in cows in Korea.

Citations

Citations to this article as recorded by  Crossref logo
  • Nationwide Geographical and Temporal Distribution of Tick-Borne Diseases in Korean Water Deer (Hydropotes inermis argyropus)
    Beoul Kim, Su-Jin Chae, You-Jeong Lee, Haksub Shin, Sunmin Kwak, Hyesung Jeong, Suwoong Lee, Dongmi Kwak, Min-Goo Seo
    Animals.2025; 15(10): 1499.     CrossRef
  • Circulation of tick-borne pathogens in wildlife of the Republic of Korea
    Hye-ryung Byun, Seong-Ryeong Ji, Jun-Gu Kang, Chang-Yong Choi, Ki-Jeong Na, Jong-Taek Kim, Joon-Seok Chae
    One Health.2024; 19: 100913.     CrossRef
  • 3,751 View
  • 82 Download
  • 2 Web of Science
  • Crossref

Original Articles

Evaluation of the antimalarial activity of SAM13-2HCl with morpholine amide (SKM13 derivative) against antimalarial drug-resistant Plasmodium falciparum and Plasmodium berghei infected ICR mice
Hyelee Hong, Kwonmo Moon, Thuy-Tien Thi Trinh, Tae-Hui Eom, Hyun Park, Hak Sung Kim, Seon-Ju Yeo
Parasites Hosts Dis 2024;62(1):42-52.
Published online February 23, 2024
DOI: https://doi.org/10.3347/PHD.23093
Antimalarial drugs are an urgently need and crucial tool in the campaign against malaria, which can threaten public health. In this study, we examined the cytotoxicity of the 9 antimalarial compounds chemically synthesized using SKM13-2HCl. Except for SKM13-2HCl, the 5 newly synthesized compounds had a 50% cytotoxic concentration (CC50) > 100 µM, indicating that they would be less cytotoxic than SKM13-2HCl. Among the 5 compounds, only SAM13-2HCl outperformed SKM13-2HCl for antimalarial activity, showing a 3- and 1.3-fold greater selective index (SI) (CC50/IC50) than SKM13-2HCl in vitro against both chloroquine-sensitive (3D7) and chloroquine -resistant (K1) Plasmodium falciparum strains, respectively. Thus, the presence of morpholine amide may help to effectively suppress human-infectious P. falciparum parasites. However, the antimalarial activity of SAM13-2HCl was inferior to that of the SKM13-2HCl template compound in the P. berghei NK65-infected mouse model, possibly because SAM13-2HCl had a lower polarity and less efficient pharmacokinetics than SKM13-2HCl. SAM13-2HCl was more toxic in the rodent model. Consequently, SAM13-2HCl containing morpholine was selected from screening a combination of pharmacologically significant structures as being the most effective in vitro against human-infectious P. falciparum but was less efficient in vivo in a P. berghei-infected animal model when compared with SKM13-2HCl. Therefore, SAM13-2HCl containing morpholine could be considered a promising compound to treat chloroquine-resistant P. falciparum infections, although further optimization is crucial to maintain antimalarial activity while reducing toxicity in animals.

Citations

Citations to this article as recorded by  Crossref logo
  • The Importance of Murine Models in Determining In Vivo Pharmacokinetics, Safety, and Efficacy in Antimalarial Drug Discovery
    Glory Adebayo, Opeyemi I. Ayanda, Matthias Rottmann, Olusola S. Ajibaye, Gbolahan Oduselu, Julius Mulindwa, Olayinka O. Ajani, Oluwagbemiga Aina, Pascal Mäser, Ezekiel Adebiyi
    Pharmaceuticals.2025; 18(3): 424.     CrossRef
  • Structural, electrochemical and theoretical studies of some carboxamides
    David Izuchukwu Ugwu, Nandisiwe GS Mateyise, Jeanet Conradie
    Journal of Molecular Structure.2025; 1348: 143454.     CrossRef
  • 5,302 View
  • 119 Download
  • 2 Web of Science
  • Crossref
Latitude and seasons influence the prevalence of Theileria orientalis and affect the hematology of non-grazed dairy cows in Korea
Hector Espiritu, Hee-Woon Lee, Md Shohel Al Faruk, Su-Jeong Jin, Sang-Suk Lee, Yong-Il Cho
Parasites Hosts Dis 2024;62(1):64-74.
Published online February 23, 2024
DOI: https://doi.org/10.3347/PHD.23087
This pilot study aimed to investigate the effects of regional and seasonal variations on the prevalence of Theileria orientalis and the hematological profile of non-grazed dairy cows in Korea. A total of 365 clinically healthy lactating Holstein Friesian cows from 26 dairy farms in 7 provinces that were categorized into northern, central, and southern regions were sampled during the warm period from July to August and the cold period from October to December. The detection of T. orientalis major piroplasm surface protein gene and the hematology non-grazed dairy cows were analyzed using peripheral blood samples. The T. orientalis prevalence was 20.0% (73/365). The prevalence in the southern region was 35.9%, which was significantly higher than that in the central (21.6%) and northern (12.9%) regions (P < 0.05). The prevalence during warm period was higher (43.0%) than that during the cold season (13.5%). The infected cows showed significantly lower erythrocyte counts in the southern region (5.8 ± 0.6 M/µl) and during the warm period (5.8 ± 0.7 M/µl) compared with those in the central and northern regions and during the cold season, which affected the extended RBC parameters, including hematocrit and hemoglobin concentrations. Our findings revealed the prevalence of T. orientalis in Korea, highlighting its high occurrence during warm periods and in certain geographical regions. Climatic factors could contribute to the health and productivity of cattle, as evidenced by the prevalence of T. orientalis and its negative impact on animals.

Citations

Citations to this article as recorded by  Crossref logo
  • Characterization and identification of novel polymorphisms in the OR51H1 gene associated with resistance/tolerance to natural Theileria infection in Vechur (Bos indicus) and crossbred (B. taurus × B. indicus) cattle in a Theileria-endemic region
    K. Kalaiyarasi, Muhammed Elayadeth-Meethal
    Veterinary Parasitology: Regional Studies and Reports.2025; 60: 101242.     CrossRef
  • Molecular characterization of tick genera Haemaphysalis, Ixodes, and Amblyomma in Korea
    Subin Lee, Badriah Alkathiri, Kyu-Sung Ahn, Jiwon Kim, So Youn Youn, Mi-Sun Yoo, Hyang-Sim Lee, Jae-Myung Kim, Dongmi Kwak, Sung Shik Shin, Seung-Hun Lee
    Parasites, Hosts and Diseases.2025; 63(3): 272.     CrossRef
  • 3,818 View
  • 83 Download
  • 2 Web of Science
  • Crossref
Diversity of midgut microbiota in ticks collected from white-tailed deer (Odocoileus virginianus) from northern Mexico
Zinnia Judith Molina-Garza, Mariana Cuesy-León, Lidia Baylón-Pacheco, José Luis Rosales-Encina, Lucio Galaviz-Silva
Parasites Hosts Dis 2024;62(1):117-130.
Published online February 23, 2024
DOI: https://doi.org/10.3347/PHD.23006
Ticks host different pathogens as endosymbiont and nonpathogenic microorganisms and play an important role in reproductive fitness and nutrient provision. However, the bacterial microbiomes of white-tailed deer ticks have received minimal attention. This study aimed to examine the bacterial microbiome of ticks collected from Odocoileus virginianus on the Mexico–United States border to assess differences in microbiome diversity in ticks of different species, sexes, and localities. Five different tick species were collected: Rhipicephalus microplus, Dermacentor nitens, Otobius megnini, Amblyomma cajennense, and A. maculatum. The tick microbiomes were analyzed using next-generation sequencing. Among all tick species, the most predominant phylum was Proteobacteria, followed by Actinobacteria and Firmicutes. The ticks from Tamaulipas and Nuevo León presented the highest bacterial species diversity. Acinetobacter johnsonii and A. lwoffii were the common bacterial species in the microbiome of all ticks, Coxiella were present in R. microplus, and Dermacentor nitens also exhibited a Francisella-like endosymbiont. The microbiome of most females in D. nitens was less diverse than that of males, whereas R. microplus occurs in females, suggesting that microbiome diversity is influenced by sex. In the bacterial communities of A. maculatum and O. megnini, Candidatus Midichloria massiliensis, and Candidatus Endoecteinascidia fumentensis were the most predominant endosymbionts. These results constitute the initial report on these bacteria, and this is also the first study to characterize the microbiome of O. megnini.

Citations

Citations to this article as recorded by  Crossref logo
  • Distribution of Rhipicephalus microplus and Hyalomma lusitanicum, and the pathogens they are carrying: A systematic review
    Afito Luciano, Binta J.J. Jallow, Mandie Liu, Yuting Ma, Regina Daniel Miambo, Fanming Meng
    Parasite Epidemiology and Control.2025; 30: e00437.     CrossRef
  • Nationwide investigation of eukaryotic pathogens in ticks from cattle and sheep in Kyrgyzstan using metabarcoding
    Singeun Oh, Nathalie Amvongo-Adjia, Hyun Jung Kim, Jun Ho Choi, Xavier Chavarria, Myung-hee Yi, Arwa Shatta, Bekbolsun Aknazarov, Ju Yeong Kim, Jung-Won Ju, Bekir Oguz
    PLOS One.2025; 20(8): e0327953.     CrossRef
  • 3,817 View
  • 87 Download
  • 2 Web of Science
  • Crossref
Involvement of NOX2-derived ROS in human hepatoma HepG2 cell death induced by Entamoeba histolytica
Young Ah Lee, Myeong Heon Shin
Parasites Hosts Dis 2023;61(4):388-396.
Published online November 28, 2023
DOI: https://doi.org/10.3347/PHD.23094
Entamoeba histolytica is an enteric tissue-invasive protozoan parasite causing amoebic colitis and liver abscesses in humans. Amoebic contact with host cells activates intracellular signaling pathways that lead to host cell death via generation of caspase-3, calpain, Ca2+ elevation, and reactive oxygen species (ROS). We previously reported that various NADPH oxidases (NOXs) are responsible for ROS-dependent death of various host cells induced by amoeba. In the present study, we investigated the specific NOX isoform involved in ROS-dependent death of hepatocytes induced by amoebas. Co-incubation of hepatoma HepG2 cells with live amoebic trophozoites resulted in remarkably increased DNA fragmentation compared to cells incubated with medium alone. HepG2 cells that adhered to amoebic trophozoites showed strong dichlorodihydrofluorescein diacetate (DCF-DA) fluorescence, suggesting intracellular ROS accumulation within host cells stimulated by amoebic trophozoites. Pretreatment of HepG2 cells with the general NOX inhibitor DPI or NOX2-specific inhibitor GSK 2795039 reduced Entamoeba-induced ROS generation. Similarly, Entamoeba-induced LDH release from HepG2 cells was effectively inhibited by pretreatment with DPI or GSK 2795039. In NOX2-silenced HepG2 cells, Entamoeba-induced LDH release was also significantly inhibited compared with controls. Taken together, the results support an important role of NOX2-derived ROS in hepatocyte death induced by E. histolytica.

Citations

Citations to this article as recorded by  Crossref logo
  • CysLT receptor-mediated NOX2 activation is required for IL-8 production in HMC-1 cells induced by Trichomonas vaginalis-derived secretory products
    Young Ah Lee, Myeong Heon Shin
    Parasites, Hosts and Diseases.2024; 62(3): 270.     CrossRef
  • Optimization of 18 S rRNA metabarcoding for the simultaneous diagnosis of intestinal parasites
    Dongjun Kang, Jun Ho Choi, Myungjun Kim, Sohyeon Yun, Singeun Oh, Myung-hee Yi, Tai-Soon Yong, Young Ah Lee, Myeong Heon Shin, Ju Yeong Kim
    Scientific Reports.2024;[Epub]     CrossRef
  • 3,611 View
  • 158 Download
  • 2 Web of Science
  • Crossref
Brief Communication
Genetic polymorphism of merozoite surface protein 1 and antifolate-resistant genes in Plasmodium falciparum from Mali and Niger
Mahaman Moustapha Lamine, Rabia Maman, Abdoul Aziz Maiga, Ibrahim Maman Laminou
Parasites Hosts Dis 2023;61(4):455-462.
Published online November 28, 2023
DOI: https://doi.org/10.3347/PHD.23049
Since 2015, countries in the Sahel region have implemented large-scale seasonal malaria chemoprevention (SMC). However, the mass use of sulfadoxine-pyrimethamine (SP) plus amodiaquine impacts the genetic diversity of malaria parasites and their sensitivity to antimalarials. This study aimed to describe and compare the genetic diversity and SP resistance of Plasmodium falciparum strains in Mali and Niger. We collected 400 blood samples in Mali and Niger from children aged 3–59 months suspected of malaria. Of them, 201 tested positive (Niger, 111, 55.2%; Mali, 90, 44.8%). Polymorphism of merozoite surface protein 1 (msp1) genetic marker showed 201 allotypes. The frequency of the RO33 allotype was significantly higher in Niger (63.6%) than in Mali (39.3%). There was no significant difference in the frequency of the K1 and MAD20 allotypes between the 2 countries. The multiplicity of infection was 2 allotypes per patient in Mali and one allotype per patient in Niger. The prevalence of strains with the triple mutants Pfdhfr51I/Pfdhfr59R/Pfdhps436A/F/H and Pfdhfr51I/Pfdhfr59R/Pfdhps437G was 18.1% and 30.2%, respectively, and 7.7% carried the quadruple mutant Pfdhfr51I/Pfdhfr59R/Pfdhps436A/F/H/Pfdhps437G. Despite the significant genetic diversity of parasite populations, the level of SP resistance was comparable between Mali and Niger. The frequency of mutations conferring resistance to SP still allows its effective use in intermittent preventive treatment in pregnant women and in SMC.

Citations

Citations to this article as recorded by  Crossref logo
  • Preventive interventions and diagnostic testing compliance in the management of tropical infections among patients with sickle cell disease in Tanzania
    Felician Paschal Mgasa, Singeun Oh, Avelina Mgasa, Sunjoo Kang, Erasto Mbugi, Ju Yeong Kim
    Parasites, Hosts and Diseases.2025; 63(2): 147.     CrossRef
  • Micro-geographic variation in antigenic diversity of PfEBA-175 region II in asymptomatic Plasmodium falciparum infections in Tanzania
    Jadidan Hada Syahada, Wang-Jong Lee, Hojong Jun, Johnsy Mary Louis, Fadhila Fitriana, Fauzi Muh, Feng Lu, Md Atique Ahmed, Sunghun Na, Wanjoo Chun, Won Sun Park, Bo-Young Jeon, Eun-Teak Han, Jim Todd, Alphaxard Manjurano, Winifrida Kidima, Ernest Mazigo,
    Frontiers in Immunology.2025;[Epub]     CrossRef
  • 2,328 View
  • 126 Download
  • 3 Web of Science
  • Crossref