Abstract
Seroepidemiological status of toxoplasmosis among the residents of Jeju island was surveyed and evaluated by ELISA with crude extract of Toxoplasma gondii. The sera of 2,348 residents (male 1,157 and female 1,191) were collected and checked for the IgG antibody titers, which showed 13.2% positive rate (309 sera). The positive rates were increasing gradually according to the age from 4.3% in teenage to 20.6% in seventies. The positive rates were significantly different between the sex by 16.2% for male and 10.2% for female (P<0.05). This positive rate of toxoplasmosis in Jeju island residents is regarded relatively higher than any other regions of Korea. And the high positive rate may be maintained continuously among Jeju island residents without any clear reasons until now but due to some parts peculiar socio-cultural tradition of Jeju island. Therefore, it is necessary to study further the epidemiology of toxoplasmosis of Jeju island.
-
Key words: Toxoplasma gondii, seroprevalence, resident, Jeju island, ELISA
Toxoplasma gondii is an apicomplexan parasitic pathogen which causes toxoplasmosis in a broad range of host animals including humans with such symptoms as encephalitis, chorioretinitis, lymphadenitis, congenital infection and neonatal mortality [
1,
2].
In Korea, seroprevalence of toxoplasmosis has been reported sporadically and the generally recognized positive rates among various groups of Korean are in the range from 1.9 to 7.7% [
3-
5], which is significantly lower by approximately one tenth than those of other countries of 30 to 70% [
1]. However, those of residents in Jeju island showed higher positive rates in 2 previous reports regardless of methods applied. By indirect latex agglutination test (ILA) in 1989, the positive rate was 5.8% [
3], and by more sensitive ELISA in 2000, it was 12.9% [
6]. Here we present the third screening result to confirm the seroepidemiological status of toxoplasmosis among the residents in Jeju island with suggestive historical environmental backgrounds of high positive rates in addition.
The sera of 2,348 residents (males 1,157 and females 1,191) were collected from the out-patients of Cheju Halla General Hospital from May to June, 2010 under the regulation of IRB Committee (May 13, 2010) of the hospital. The sera were checked for the IgG antibody titers by ELISA according to the method of [
4], which resulted in 13.2% positive rate (309 sera) (
Table 1). The positive rate increased gradually according to the ages from 4.3% of teenage to 20.6% of seventies. The positive rates were significantly different between the sexes by 16.2% for male and 10.2% for female by the Student's
t-test (
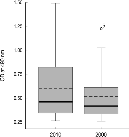
P<0.05). Therefore, we postulated that the positive rate of Jeju residents has been maintained highly over the last 2 decades. Furthermore, the positive OD values of ELISA in this screening distributed more widely than those of the screening done in 2000 [
6] as shown in
Fig. 1. Median OD value increased from 0.41 to 0.45 and mean OD from 0.51 to 0.60, respectively, which suggested the severe worm burden in infected individuals although not directly concerned.
The relatively low positive rates among Korean subjects are due to the difference of toxoplasmic environment such as eating behavior, pet-loving preference and residential mode from those highly endemic countries [
6]. Besides the generally accepted risk factors vulnerable to the infection for the older and male [
7] there are 2 peculiar traditional equipments (
Fig. 2) additionally in Jeju island, the conventional pigsty in the residential regions near seashore and jars to save water in the mid-mountain regions. Though nowadays not used, they may explain the devotion to the primary relatively higher positive rate against
T. gondii infection than in other regions of Korea.
T. gondii is commonly acquired by ingesting tissue cysts containing bradyzoites in undercooked pork or mutton [
1]. The conventional toilet of Jeju island was located in the pigsty (
Fig. 2A) to the open air, as called as 'dotong' in Jeju dialect, so the pigs had been reared with human feces as to be called 'ddong-pig'. Cats could approach to this open space easily to spread the feces to infect the pigs first, and then the residents later in the seashore regions.
T. gondii can be also acquired by the ingestion of sporozoite-containing oocysts directly in the water contaminated with cat feces [
8]. In the mid-mountain region of Jeju island, water supply had owed to rains and morning dews collected in a big jar under the trees (
Fig. 2B). Thus, water might be easily contaminated with cat feces and speculated as a sauce of infection to the residents who had lived in mid-mountain regions, even though there had been no reports on the presence of oocyst in the water of the jar.
Altogether, seroprevalence of toxoplasmosis has been maintained relatively high among the residents of Jeju island, although the traditional equipments not used now and the residents run a living similar to the other region of Korea, which suggested a deeper and broader toxoplasmic environment founded on the past mode of life. For these reasons, epidemiology of T. gondii infection should be further investigated by itself and with the connection to the basic diseases of the infected residents in Jeju island.
ACKNOWLEDGEMENTS
This project was supported partly by a grant from the Korean Center for Disease Control (800-2010023), 2010.
References
- 1. Tenter AM, Heckeroth AR, Weiss LM. Toxoplasma gondii: From animals to humans. Int J Parasitol 2000;30:1217-1258.
- 2. Weiss LM, Dubey JP. Toxoplasmosis: A history of clinical observations. Int J Parasitol 2009;39:895-910.
- 3. Choi WY, Nam HW, Youn JH, Kim WS, Kim YK. Toxoplasma antibody titers by indirect latex agglutination test in patients of Kangnam St. Mary's Hospital and Cheju Medical Center. Korean J Parasitol 1989;27:171-175.
- 4. Choi WY, Nam HW, Youn JH. Detection of antibodies in serum and cerebrospinal fluid to Toxoplasma gondii by indirect latex agglutination test and enzyme-linked immunosorbent assay. Korean J Parasitol 1992;30:83-90.
- 5. Song KJ, Shin JC, Shin HJ, Nam HW. Seroprevalence of toxoplasmosis in Korean pregnant women. Korean J Parasitol 2005;43:69-71.
- 6. Yang HJ, Jin KN, Park YG, Hong SC, Bae JM, Lee SH, Choi HS, Hwang HS, Chung YB, Lee NS, Nam HW. Seroprevalence of toxoplasmosis in the residents of Cheju island, Korea. Korean J Parasitol 2000;38:91-93.
- 7. Park YH, Han JH, Nam HW. Clinical features of ocular toxoplasmosis cases in Korean patients. Korean J Parasitol 2011;49:167-171.
- 8. Bahia-Oliveira LM, Jones JL, Azevedo-Silva J, Alves CC, Orefice F, AddissDG . Highly endemic, waterborne toxoplasmosis in north Rio de Janeiro state, Brazil. Emerg Infect Dis 2003;9:55-62.
Fig. 1Comparison of the distribution of positive anti-Toxoplasma antibody titers in the residents of Jeju island between the present study (2010) and a previous one (2000). Solid line indicates the median value and dotted line the mean value.
Fig. 2Traditional pigsty and water collector peculiar to Jeju island, which may contribute to Toxoplasma environment of relatively higher positive rates in Korea. (A) A toilet combined with pigsty in the seashore region. (B) A jar with straw probe collecting rain drops and morning dew from leaves in the mid-mountain region.
Table 1.Positive rates of toxoplasmosis in the residents of Jeju island according to age and sex
Table 1.
|
Age |
Male |
Female |
Total |
|
< 10 |
0/30 (0.0)a
|
0/23 (0.0) |
0/53 (0.0) |
|
11-20 |
0/34 (0.0) |
3/35 (8.6) |
3/69 (4.3) |
|
21-30 |
7/86 (8.1) |
10/192 (5.2) |
17/278 (6.1) |
|
31-40 |
32/215 (14.9) |
15/207 (7.2) |
47/422 (11.1) |
|
41-50 |
33/232 (14.2) |
26/215 (12.1) |
59/447 (13.2) |
|
51-60 |
43/224 (19.2) |
18/192 (9.4) |
61/416 (14.7) |
|
61-70 |
44/206 (21.4) |
20/176 (11.4) |
64/382 (16.8) |
|
71 > |
29/130 (22.3) |
29/151 (19.2) |
58/281 (20.6) |
|
Total |
188/1,157 (16.2) |
21/1,191 (10.2) |
309/2,348 (13.2) |
Citations
Citations to this article as recorded by

- Seroprevalence of Toxoplasma gondii assayed using Rapid Diagnostic Tests among Residents in Three Counties Adjacent to The Demilitarized Zone, Korea
Jeehi Jung, Jinyoung Lee, Yoon Kyung Chang, Seong Kyu Ahn, Seo Hye Park, Sung-Jong Hong, Jihoo Lee, Chom-Kyu Chong, Hye-Jin Ahn, Ho-Woo Nam, Tong-Soo Kim, Dongjae Kim
The Korean Journal of Parasitology.2021; 59(1): 9. CrossRef - Clusters of Toxoplasmosis in Ganghwa-gun, Cheorwon-gun, and Goseong-gun, Korea
Jihye Yu, Woojin Kim, Yoon Kyung Chang, Tong-Soo Kim, Sung-Jong Hong, Hye-Jin Ahn, Ho-Woo Nam, Dongjae Kim
The Korean Journal of Parasitology.2021; 59(3): 251. CrossRef - Cross-sectional survey for Toxoplasma gondii infection in humans in Fernando de Noronha island, Brazil
Maria da Conceição Carvalho, Müller Ribeiro-Andrade, Renata Pimentel Bandeira de Melo, Dandara Matias Guedes, José Wilton Pinheiro Junior, Erika Fernanda Torres Samico Fernandes Cavalcanti, Fernando Jorge Rodrigues Magalhães, Rinaldo Aparecido Mota
Revista Brasileira de Parasitologia Veterinária.2021;[Epub] CrossRef - Seroprevalence and B1 gene Phylogeny of Toxoplasma gondii of Dogs and Cats in Republic of Korea
Yeojin Park, Jinhyeong Noh, Hyun-Ji Seo, Keun-Ho Kim, Subin Min, Mi-Sun Yoo, Bo-Ram Yun, Jong-Ho Kim, Eun-Jin Choi, Doo-Sung Cheon, Sung-Jong Hong, Soon-Seek Yoon, Yun Sang Cho
The Korean Journal of Parasitology.2020; 58(3): 257. CrossRef - Clusters of Toxoplasmosis in Gyodong-Myeon and Samsan-Myeon, Ganghwa-Gun, Korea
Woojin Kim, Yoon Kyung Chang, Tong-Soo Kim, Sung-Jong Hong, Hye-Jin Ahn, Ho-Woo Nam, Dongjae Kim
The Korean Journal of Parasitology.2020; 58(5): 493. CrossRef - Tissue Fluid Enzyme-Linked Immunosorbant Assay for Piglets Experimentally Infected with Toxoplasma gondii and Survey on Local and Imported Pork in Korean Retail Meat Markets
Won Gi Yoo, Sun-Min Kim, Eun Jeong Won, Ji-Yun Lee, Fuhong Dai, Ho Choon Woo, Ho-Woo Nam, Tae Im Kim, Jeong-Hee Han, Dongmi Kwak, Yun Sang Cho, Seung-Won Kang, Tong-Soo Kim, Xing-Quan Zhu, Chunren Wang, Heejeong Youn, Sung-Jong Hong
The Korean Journal of Parasitology.2018; 56(5): 437. CrossRef - Seroprevalence of Toxoplasmosis with ELISA and Rapid Diagnostic Test among Residents in Gyodong-do, Inchon city, Korea: A Four-Year Follow-up
Yeong Hoon Kim, Ji hoo Lee, Seong kyu Ahn, Tong-Soo Kim, Sung-Jong Hong, Chom-Kyu Chong, Hye-Jin Ahn, Ho-Woo Nam
The Korean Journal of Parasitology.2017; 55(3): 247. CrossRef - Seroprevalence of Toxoplasmosis Detected by RDT in Residents near the DMZ (demilitarized zone) of Cheorwon-gun, Gangwon-do, Korea
Yeong Hoon Kim, Jihoo Lee, Young-Eun Kim, Seongkyu Ahn, Tong-Soo Kim, Sung-Jong Hong, Chom-Kyu Chong, Hye-Jin Ahn, Ho-Woo Nam
The Korean Journal of Parasitology.2017; 55(4): 385. CrossRef
Koki Yakushiji
JOURNAL OF WATER AND ENVIRONMENTAL ISSUES.2015; 28(1): 82. CrossRef- Mesial Temporal Lobe Epilepsy in Congenital Toxoplasmosis: A Case Report
Woo Kyo Jeong, Byung-Euk Joo, Ji-hye Seo, Jun Kyu Mun, Juhyeon Kim, Dae-Won Seo
Journal of Epilepsy Research.2015; 5(1): 25. CrossRef - Toxoplasma gondii Infection: Seroprevalence and Associated Risk Factors among Primary School Children in the Capital Area of the Republic of the Marshall Islands
Chung-Jung Fu, Ting-Wu Chuang, Huei-Shan Lin, Chih-Hsiung Wu, Yung-Ching Liu, Mailynn K. Langinlur, Min-Yun Lu, Wesley Wei-Wen Hsiao, Chia-Kwung Fan
Japanese Journal of Infectious Diseases.2014; 67(5): 405. CrossRef - A Rapid Diagnostic Test for Toxoplasmosis using Recombinant Antigenic N-terminal Half of SAG1 Linked with Intrinsically Unstructured Domain of GRA2 Protein
Kyoung Ju Song, Zhaoshou Yang, Chom-Kyu Chong, Jin-Soo Kim, Kyung Chan Lee, Tong-Soo Kim, Ho-Woo Nam
The Korean Journal of Parasitology.2013; 51(5): 503. CrossRef - Serologic Survey of Toxoplasmosis in Seoul and Jeju-do, and a Brief Review of Its Seroprevalence in Korea
Hyemi Lim, Sang-Eun Lee, Bong-Kwang Jung, Min-Ki Kim, Mi Youn Lee, Ho-Woo Nam, Jong-Gyun Shin, Cheong-Ha Yun, Han-Ik Cho, Eun-Hee Shin, Jong-Yil Chai
The Korean Journal of Parasitology.2012; 50(4): 287. CrossRef - A Surge in the Seroprevalence of Toxoplasmosis among the Residents of Islands in Gangwha-gun, Incheon, Korea
Zhaoshou Yang, Pyo Yun Cho, Seong Kyu Ahn, Hye-Jin Ahn, Tong-Soo Kim, Chom-Kyu Chong, Sung-Jong Hong, Seok Ho Cha, Ho-Woo Nam
The Korean Journal of Parasitology.2012; 50(3): 191. CrossRef - Seroprevalence of Toxoplasmosis in the Residents of Cheorwon-gun, Gangwon-do, Korea
Hye-Jin Ahn, Pyo Yun Cho, Seong Kyu Ahn, Tong-Soo Kim, Chom-Kyu Chong, Sung-Jong Hong, Seok Ho Cha, Ho-Woo Nam
The Korean Journal of Parasitology.2012; 50(3): 225. CrossRef - Acute Toxoplasmosis Mimicking Melanoma Metastases: Review of Conditions Causing False-Positive Results on 18F-FDG PET/CT
K. Ivanova, K. Glatz, A. Zippelius, G. Nicolas, P. Itin
Dermatology.2012; 225(4): 349. CrossRef