Abstract
Toxoplasma gondii is an obligate intracellular zoonotic protozoan with a worldwide distribution. It infects humans as well as a broad spectrum of vertebrate hosts. Cats and wild felidae play crucial roles in the epidemiology of toxoplasmosis. This study was performed to survey the prevalence of T. gondii infection among stray cats in the Gyeonggi-do, Republic of Korea. A total of 174 stray cat blood samples were collected from Gwacheon-si (n = 20), Bucheon-si (82), and Yangju-si (72). Positive sera for T. gondii were identified in 14 samples (8.1%) exclusively via the latex agglutination test, 28 (16.1%) via ELISA, and 23 (13.2%) via PCR analysis. The overall infection rate of female stray cats (29.2%) presented as higher than that of male cats (24.0%). This study suggests that T. gondii is widespread in the stray cat population of Gyeonggi-do, Korea. It is urgently needed to control urban stray cat population and to reduce the risk of zoonotic transmission of toxoplasmosis to other animal hosts and humans.
-
Key words: Toxoplasma gondii, stray cat, latex agglutination test, ELISA, PCR
Toxoplasma gondii is a worldwide parasite that can infect the central nervous system of warm-blooded animals, including humans. The infection is acquired mainly by eating food or water contaminated with oocyst or tissue cysts of
T. gondii [
1]. A zoonotic infection of this parasite leads to an asymptomatic infection in healthy persons. Clinical toxoplasmosis appears to occur by reactivation of the infection in individuals who are immunocompromised, especially patients with acquired immunodeficiency syndrome (AIDS) or cancer [
2]. Cats play an important role in the spread of toxoplasmosis because they are the only animals that excrete resistant oocysts into the environment [
3]. In the Republic of Korea, large numbers of stray cats are found roaming residential streets and increasing the risk of public health for animals and humans. The present study was performed to determine the prevalence of
T. gondii in a Korean stray cat population, as this frequency is important for determining the epidemiological significance of
T. gondii infection.
A total of 174 stray cats (75 males and 99 females) were assayed for the prevalence of
T. gondii using the latex agglutination test (LAT), ELISA, and diagnostic polymerase chain reaction (PCR). Twenty samples were collected from Gwacheon-si, 82 from Bucheon-si, and 72 from Yangju-si in Gyeonggi-do, Korea. Stray cats were captured as the TNR (trap, neuter, return) program, promoted by the government from April to October 2007. Blood was collected from each cat by cephalic or jugular venipuncture, allowed to clot, and centrifuged for 5 min at 1,800 g, and then the serum was collected and stored at -20℃ until used. The presence of
T. gondii antibodies was analyzed using a LAT kit (Eiken Chemical Co., Tokyo, Japan). The procedures described in the manufacturer's instructions were followed accurately. Briefly, serial 2-fold dilutions of the sera were prepared to 1 : 2,048 titer. After mixing the sensitive latex suspension for at least 12 hr, titers measuring 32 or higher were recorded as positive. ELISA was performed as previously described in Choi et al. [
4]. The cutoff absorbance of 0.25 was recorded as a positive reaction. For diagnostic PCR, 2 pairs of oligonucleotide primers directed against the B1 gene of
T. gondii were used to perform nested PCR [
5], using a Maxime PCR premix Kit (Intron, Korea). PCR reactions were cycled 40 times with denaturation at 93℃ for 10 sec followed by annealing at 57℃ for 10 sec and finally an extension step at 72℃ for 30 sec. The amplified DNA was visualized following separation in 2% agarose gels.
In LAT,
T. gondii antibodies were detected in 14 (8.1%) of 174 cat sera. The seroprevalence of
T. gondii according to districts is shown in
Table 1. A total of 14 sera (4 males and 10 females) were positive and their positive rates for each region were as follows: 5 (6.1%) of 82 Bucheon-si samples, 3 (6.7%) of 20 Gwacheon-si samples and 6 (8.3%) of 72 Yangju-si samples were positive for
T. gondii. Sera of the stray cats were tested for specific IgG antibodies to
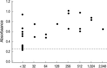
T. gondii via ELISA, which indicated 28 (16.1%) positive out of 174. In Bucheon-si, 15 (18.3%) of 82 sera were positive, and 3 (6.7%) of 20 sera in Gwacheon-si and 10 (13.9%) of 72 sera in Yangju-si were positive (
Figs. 1,
2). Among the 28 positive sera, 8 were male and 20 were female. Following analysis of the
T. gondii B1 gene via diagnostic PCR, 23 (12 males and 11 females; 13.2%) of 174 sera exhibited positive reactions (
Fig. 3). In Bucheon-si, 17 (20.7%) of 82 sera showed positive reactions. In Gwacheon-si and Yangju-si, 2 (10.0%) of 20 sera and 4 (5.5%) of 72 sera were positive, respectively. There was no significant difference between gender, regions, and test (
P > 0.05).
A lot of tests have been used to find the positive infection with
T. gondii such as LAT, ELISA, indirect hemagglutination assay (IHA) and PCR for various target genes. The LAT and ELISA are now widely available for serological diagnosis of toxoplasmosis. Serological surveys are good indicators of the occurrence of
T. gondii infection in cats because serologically positive cats probably shed oocysts [
6]. The development of a highly sensitive and specific PCR protocol to identify
T. gondii DNA will help in the early diagnosis of toxoplasmosis [
5]. In the present study, the positive rate of
T. gondii infection was 8.1% with LAT, 16.1% with ELISA, and 13.2% with PCR analysis. ELISA showed a higher positive rate than other tests. Therefore, ELISA is a more effective screening test for
T. gondii infection than LAT and PCR.
Free-living animals such as stray cats, boars, and foxes could be surveyed as indicators of environmental spreading of
T. gondii. Stray cats are especially important in Korea because they occupy the highest position of the urban food chain and have increased their numbers gradually [
7]. In previous reports on the prevalence of
T. gondii in Korea, 37.0% (17/46) of cats raised on Jeju island were seropositive by ELISA [
8], 13.1% (26/198) of stray cats in a rural area near Chinju-si were positive by sandwich-ELISA [
9], and 20.7% of 212 stray cats from 5 regions were positive by indirect immunofluorescent antibody assay [
9]. The seroprevalence of
T. gondii in cats has been shown to vary depending on their type (stray or domestic), age, method of testing, and geographic location [
10]. The present study also represented different prevalences of
T. gondii in each region of Korea. Especially, Han et al. [
11] reported that the seropositive rate in Seoul and Gyeonggi-do was 31.9%, though the sampling area in Gyeonggi-do was not documented. The positive rate of
T. gondii in the present study was significantly lower (
P < 0.05) than that reported by Han et al. [
11]. This result may be related to the density of animals in each district and environmental conditions in Gyeonggi-do.
Our current study represents that T. gondii is widespread in stray cat populations of Gyeonggi-do. Further studies in various areas will be necessary to survey the overall epidemiological status of toxoplasmosis of stray cat populations in Korea. Control programs of urban stray cat populations are needed in order to reduce the risk of zoonotic transmission of toxoplasmosis to animals and humans.
References
Fig. 1
Toxoplasma gondii IgG antibody titers in sera of stray cats caught in each area by ELISA.
Fig. 2
Toxoplasma gondii IgG antibody levels in sera of stray cats by ELISA to serial LAT dilution titers.
Fig. 3Amplification of 96 bp B1 PCR product from stray cat blood DNA in 2% agarose. M, 100 bp ladder; N, negative control; P, positive control (genomic DNA from T. gondii); 1-8: Blood DNA extracted from Gwacheon-si stray cats.
Table 1.Number and percentage (%) of stray cats seropositive for Toxoplasma gondii captured at different cities
Table 1.
|
City (Number of samples; n) |
LAT
|
ELISA
|
PCR
|
|
Female |
Male |
N* (%) |
Female |
Male |
N* (%) |
Female |
Male |
N* (%) |
|
Bucheon (82) |
3 |
2 |
5 (6.1) |
11 |
4 |
15 (18.3) |
8 |
9 |
17 (20.7) |
|
Gwacheon (20) |
3 |
- |
3 (6.7) |
3 |
- |
3 (6.7) |
1 |
1 |
2 (10.0) |
|
Yangju (72) |
4 |
2 |
6 (8.3) |
6 |
4 |
10 (13.9) |
2 |
2 |
4 (5.5) |
|
Total (174) |
10 |
4 |
14 (8.1) |
20 |
8 |
28 (16.1) |
11 |
12 |
23 (13.2) |
Citations
Citations to this article as recorded by

- The AB Blood Group System Phenotype Does Not Play a Role in Toxoplasma gondii Infection in Cats
Eva Spada, Greta Tattarletti, Daniela Proverbio, Roberta Perego, Luciana Baggiani, Giulia Donato, Rosalia D’Agostino, Francesca Arcuri, Paola Galluzzo, Giuseppina Chiarenza, Valeria Blanda, Francesca Grippi
Pathogens.2025; 14(12): 1227. CrossRef - Metabarcoding of pathogenic parasites based on copro-DNA analysis of wild animals in South Korea
Jun Ho Choi, Soo Lim Kim, Dong Kyun Yoo, Myung-hee Yi, Singeun Oh, Myungjun Kim, Sohyeon Yun, Tai-Soon Yong, Seongjun Choe, Jong Koo Lee, Ju Yeong Kim
Heliyon.2024; 10(9): e30059. CrossRef - Seroprevalence and B1 gene Phylogeny of Toxoplasma gondii of Dogs and Cats in Republic of Korea
Yeojin Park, Jinhyeong Noh, Hyun-Ji Seo, Keun-Ho Kim, Subin Min, Mi-Sun Yoo, Bo-Ram Yun, Jong-Ho Kim, Eun-Jin Choi, Doo-Sung Cheon, Sung-Jong Hong, Soon-Seek Yoon, Yun Sang Cho
The Korean Journal of Parasitology.2020; 58(3): 257. CrossRef - Excretion of Toxoplasma gondii oocysts from Feral Cats in Korea
Kyu-Sung Ahn, Ah-Jin Ahn, Sang-ik Park, Woon-Mok Sohn, Jae-han Shim, Sung-Shik Shin
The Korean Journal of Parasitology.2019; 57(6): 665. CrossRef - Prevalence of Toxoplasma gondii infection in household and feral cats in Korea
Sung-Eon Kim, Ran Choi, Seung-Won Kang, Changbaig Hyun
Journal of Parasitic Diseases.2017; 41(3): 823. CrossRef - <i>Toxoplasma gondii</i> B1 Gene Detection in Feces of Stray Cats around Seoul, Korea and Genotype Analysis of Two Laboratory-Passaged Isolates
Bong-Kwang Jung, Sang-Eun Lee, Hyemi Lim, Jaeeun Cho, Deok-Gyu Kim, Hyemi Song, Min-Jae Kim, Eun-Hee Shin, Jong-Yil Chai
The Korean Journal of Parasitology.2015; 53(3): 259. CrossRef - Mesial Temporal Lobe Epilepsy in Congenital Toxoplasmosis: A Case Report
Woo Kyo Jeong, Byung-Euk Joo, Ji-hye Seo, Jun Kyu Mun, Juhyeon Kim, Dae-Won Seo
Journal of Epilepsy Research.2015; 5(1): 25. CrossRef - The health status of stray dogs and cats adopted to public animal shelter in Gwangju area, Korea
Ho-Myung Na, Jong-Woog Choi, Jae-Sung Park, Yeun-Ey Lee, Seong-Yeol Bae, Seong-Do Park, Eun-Sun Kim, Yong-Hwan Kim
Korean Journal of Veterinary Service.2014; 37(4): 281. CrossRef - Seroprevalence of Toxoplasma gondii and Bartonella henselase infection in stray cats of the Daejeon City, Korea
Hyung-Jin Park, Sang-Eun Lee, Sung-Hee Hong, Won-Ja Lee, Kyoung-Won Seo, Kun-Ho Song
Korean Journal of Veterinary Research.2014; 54(2): 87. CrossRef - Detection and Determination ofToxoplasma gondiiSeroprevalence in Native Korean Goats (Capra hircus coreanae)
Byeong Yeal Jung, Eyerusalem Bizuneh Gebeyehu, Seung-Hun Lee, Min-Goo Seo, Jae-Won Byun, Jae Ku Oem, Ha-Young Kim, Dongmi Kwak
Vector-Borne and Zoonotic Diseases.2014; 14(5): 374. CrossRef - Seroprevalence of Toxoplasma gondii and Trichinella spiralis infections in wild boars (Sus scrofa) in Korea
Seung Won Kang, Huong Thi Thanh Doan, Jin Hyeong Noh, Se Eun Choe, Mi Sun Yoo, Young Ha Kim, Kondreddy Eswar Reddy, Thuy Thi Dieu Nguyen, Dong Van Quyen, Lien Thi Kim Nguyen, Chang Hee Kweon, Suk Chan Jung
Parasitology International.2013; 62(6): 583. CrossRef - Prevalence of Toxoplasma gondii Infection in Household Cats in Korea and Risk Factors
Sung-Hee Hong, Young-Il Jeong, Jae-Young Kim, Shin-Hyeong Cho, Won-Ja Lee, Sang-Eun Lee
The Korean Journal of Parasitology.2013; 51(3): 357. CrossRef - Investigation of Toxoplasma gondii infection on stray cats in Daejeon
Sun-Hye Sung, Sang-Sik Yoo, Yeo-Jeong Im, Nyun-Ki Chung, Byung-Chun Moon
Korean Journal of Veterinary Service.2012; 35(1): 19. CrossRef - Biology and Impacts of Pacific Island Invasive Species. 7. The Domestic Cat (Felis catus)
David Cameron Duffy, Paula Capece
Pacific Science.2012; 66(2): 173. CrossRef - Seroprevalence of Toxoplasma gondii and Neospora caninum in dogs from Korea
Thuy Nguyen, Se-Eun Choe, Jae-Won Byun, Hong-Bum Koh, Hee-Soo Lee, Seung-Won Kang
Acta Parasitologica.2012;[Epub] CrossRef - A Surge in the Seroprevalence of Toxoplasmosis among the Residents of Islands in Gangwha-gun, Incheon, Korea
Zhaoshou Yang, Pyo Yun Cho, Seong Kyu Ahn, Hye-Jin Ahn, Tong-Soo Kim, Chom-Kyu Chong, Sung-Jong Hong, Seok Ho Cha, Ho-Woo Nam
The Korean Journal of Parasitology.2012; 50(3): 191. CrossRef - Development and Clinical Evaluation of a Rapid Serodiagnostic Test for Toxoplasmosis of Cats Using Recombinant SAG1 Antigen
Chom-Kyu Chong, Wooseog Jeong, Hak-Yong Kim, Dong-Jun An, Hye-Young Jeoung, Jeong-Eun Ryu, A-Ra Ko, Yong-Joo Kim, Sung-Jong Hong, Zhaoshou Yang, Ho-Woo Nam
The Korean Journal of Parasitology.2011; 49(3): 207. CrossRef - Clinical Features of Ocular Toxoplasmosis in Korean Patients
Young-Hoon Park, Jae-Hyung Han, Ho-Woo Nam
The Korean Journal of Parasitology.2011; 49(2): 167. CrossRef - Prevalence of Toxoplasma gondii Infection in Feral Cats in Seoul, Korea
Sang-Eun Lee, Neung-Hee Kim, Hee-Sun Chae, Shin-Hyeong Cho, Ho-Woo Nam, Won-Ja Lee, Sun-Heung Kim, Jung-Hark Lee
Journal of Parasitology.2011; 97(1): 153. CrossRef - Seroprevalence of antibodies to Neospora caninum and Toxoplasma gondii in cattle in northern area of Gyeongnam
Min-Kwon Lee, Jong-Sik Park, Min-Hee Kim, Dong-Yeop Park, Cheol-Ho Kim, Guk-Heon Kim, Jae-Hyeon Cho
Korean Journal of Veterinary Service.2011; 34(3): 245. CrossRef - Prevalence ofToxoplasma gondiiInfection in Stray and Household Cats in Regions of Seoul, Korea
Sang-Eun Lee, Jae-Yeong Kim, Yun-Ah Kim, Shin-Hyeong Cho, Hye-Jin Ahn, Heung-Myong Woo, Won-Ja Lee, Ho-Woo Nam
The Korean Journal of Parasitology.2010; 48(3): 267. CrossRef - Parasitic Diseases of Companion Animals
Sung Shik Shin
Hanyang Medical Reviews.2010; 30(3): 246. CrossRef - Waterborne toxoplasmosis – Recent developments
J.L. Jones, J.P. Dubey
Experimental Parasitology.2010; 124(1): 10. CrossRef - Genotype of Toxoplasma gondii from Blood of Stray Cats in Gyeonggi-do, Korea
Hye-Youn Kim, Yun-Ah Kim, Ho Sa Lee, Ho Gun Rhie, Shin-Hyeong Cho, Jae-Ran Yu, Sang-Eun Lee
The Korean Journal of Parasitology.2009; 47(4): 413. CrossRef