INTRODUCTION
Giardia lamblia (syn. G. duodenalis, G. intestinalis) is an intestinal flagellate that infects a wide range of vertebrate hosts, such as domestic and wild mammals, including humans. Theses flagellates have a simple 2-stage life cycle consisting of the reproductive trophozoite stage and the environmentally robust cyst stage. Cysts are shed by infected hosts into the environment and these cysts can survive in the environment for months without losing their infectivity [1]. Transmission occurs through various routes, such as person-to-person spread, animal contact, or ingestion of polluted food or water .
Especially, this protozoan parasite has been recognized as a frequent cause of waterborne disease [2,3], because of their strong resistance against chlorine disinfection [4] as well as the low minimum infectious dose [5]. Many of waterborne outbreaks in 1980s have been associated with the ingestion of un-treated surface water by hikers and campers in the USA, Canada, England, Sweden, but giardiasis outbreaks have not been limited only to these people. Some waterborne outbreaks were reported in some municipal drinking water systems, and then the United States Environmental Protection Agency (USEPA) have regulated treatment techniques for a sufficient removal of Giardia cysts at water treatment plants as one of the drinking water rules [4].
Although there have not been any documented giardiasis outbreaks associated with drinking water in South Korea, there have been some reports on the cases of giardiasis in humans and animals [6,7]. Huh et al. [8] reported that the most predominant protozoan was G. lamblia (2.5%) among gastroenteritis patients from 2004 to 2006 in Gyeonggi-do. Kim et al. [9] studied that G. lamblia infection among the habitants in the upper stream of Daechong Dam was 0.3%. Some studies [10,11] have reported the occurrence of G. lamblia cysts in the river and sewage water environment. However, there has been no long-term survey on Giardia cysts in drinking water supply system in South Korea, which was necessary to develop a long-term strategy for the safety of drinking water. The present study was conducted over a 10-year period to determine the occurrence of Giardia cysts in the Han River as source water of municipal drinking water in the Metropolitan area of South Korea, to estimate their pollution source and to evaluate the removal efficiency of oocysts by their 6 conventional Water Treatment Plants.
MATERIALS AND METHODS
Surface water samples
From 2000 to 2009, surface water samples were collected quarterly at 6 intakes along the Han River that included an intake on the end of a reservoir and 5 intakes on the downriver (Fig. 1). The Han River is the only water supply source for 20 million people of the Seoul Metropolitan area. Six intakes in the Han River supply source water for 6 Water Treatment Plants (WTPs) of Seoul. We also collected water samples at the end of Wangsuk stream, coming to the middle of the Han River. About the half of this stream flow was made up of treated effluents from 2 adjacent Sewege Treatment Plants (STPs). Two STPs treated sum of 0.16×106 m3/day by activated sludge treatment and the secondary effluents were discharged without any dis-infection until 2004 and with ozone disinfection since 2005.
Drinking water samples and log removal by conventional water treatments
We collected treated water samples quarterly from 6 WTPs of Seoul for 10 years, which served total 3.27-4.34×106 m3/day. Physical treatment process included poly-aluminium chloride coagulation, flocculation, sedimentation, single-media rapid sand filtration, and then subsequently disinfection using chlo-rine gas. During the winter of first 1-year survey, the level of cysts in source water was the highest. We sampled settled and sand-filtered water at some plants and calculated the removal efficiency of Giardia cysts by each treatment process of full-scale plants as the following:
Log removal=Log ([concentration at the inlet of the process]/[concentration at the outlet of the process])
Pre-treatment of environmental water samples to detect Giardia cysts
We used USEPA Method 1623 to detect Giardia cysts in the large volume of water samples [12]. This method combined concentration and immunomagnetic separation (IMS) with immunofluorescence assay (IFA). First, capsule filtration technique (Envirochek™, Pall Corporation, Ann Arbor, MI, USA) was used for river water and stream water of 10 L and membrane filtration with 142 mm-diameter, 2 µm-pore disk for treated water samples of 100 L. Filta-Max™ filtration (IDEXX, Laboratories, Inc., Westbrook, Maine, USA) was used for evaluation of the removal efficiency and direct centrifugation for sewage effluents of 1 L. All materials on each filter were eluted and concentrated. For IMS, cysts in the pellets were magnetized by attachment of magnetic beads conjugated to anti-Giardia antibodies (Dynabead GC-Combo, Dynal., Oslo, Norway). The magnetized cysts were separated from the extraneous materials using a magnet (MPC-1, Dynal., Oslo, Norway), and the extraneous materials were discarded. The magnetic bead complex was then detached from the cysts by the change of pH.
Staining and examination of Giardia cysts
We stained purified samples on well slides with fluorescence labeled, anti-Giardia monoclonal antibodies (MeriFluor, Meridian Bioscience, Inc., Cincinnati, Ohio, USA) and 4,6-diamid-ino-2-phenylindole. Using fluorescence and differential interference contrast microscopy, we counted the objects with the size of 8-18 µm long by 5-15 µm wide, round to oval shape, and brilliant apple-green fluorescence characteristics of Giardia cysts by scanning each slide well.
Quality control of cyst detection and various water quality parameters
Routinely we analyzed the percent recoveries from spiked control samples (EasySeed™, BTF, Sidney, Australia) prepared by flow cytometer. Routine matrix spike recoveries were calculated from a pair of unspiked and spiked field samples, and then they were average 52% (range 17-84%) with a relative standard deviation of 37% for river water samples of this study. When samples were concentrated by other techniques, recoveries were similar and comparable, too. Matrix spike recoveries using Filta-Max™ filtration were average 49% (range 32-70%) and those using membrane filtration were average 63% (range 32-83%). Method blanks using reagent water were routinely analyzed and then all tested blanks were negative. We simultaneously tested various water physiochemical quality parameters, such as turbidity, particle counts, total nitrogen, pH, temperature, and indicator bacteria, such as total coliforms, fecal coliforms, aerobic spore formers with Giardia cysts. Microsoft Excel and Minitab program were used for statistical analysis.
RESULTS
Intake water samples
Cysts with internal structures, such as nuclei, median body, axonemes (Fig. 2), or amorphous structure, were confirmed in 35.0% of intake water samples and the arithmetic mean was 1.65 cysts/10 L with maximum of 35 cysts/10 L (Table 1). With their typical size, shape, brilliant apple-green fluorescing, ovoid, or spherical under a blue filter block of epifluorescence microscopy, they had up to 4 sky-blue nuclei or intense blue internal staining under a UV filter. There were many fluorescing empty cysts or cyst-like objects without internal structures in environmental water samples. When the empty cysts (Fig. 3) were added to the count of confirmed cysts, presumptive cysts were detected in 58.3% of intake water samples, and the mean was 4.75 cysts/10 L. Because empty cysts without internal structures might have already been unviable, and so, had no influence on human health or could be only cyst-like diatoms, such as Navicula minima, presumptive cysts might be the maximized possibility of cyst pollution [13]. Analyzing the source water of 80 WTPs by similar detection method, USEPA reported that Giardia cysts were detected in 83% of WTPs, and the mean concentration of total cysts was 0.27 cysts/L [14].
Geographical distribution of Giardia cysts in the Han River and its largest stream
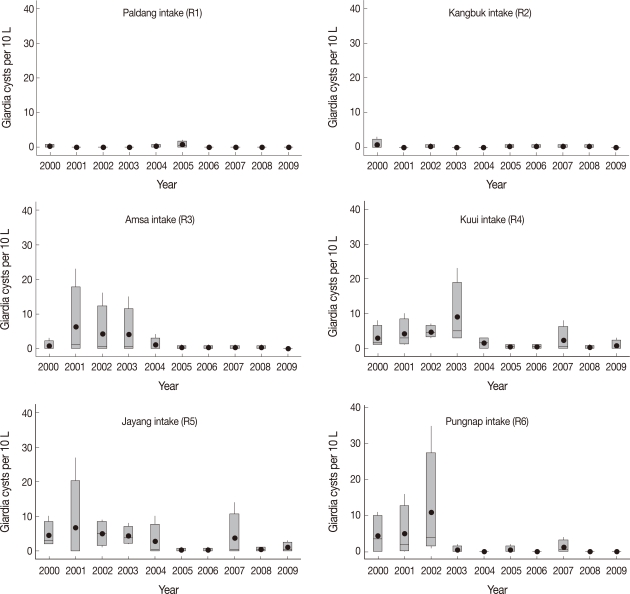
The pollution level of each intake by Giardia cysts was a little different. The lowest concentration of confirmed cysts was observed in Paldang intake water samples (R1) with 0.13 cysts/10 L as the arithmetic mean and 10.0% as the positive percent. Cysts in Kangbuk (R2) intakes water samples were found in similar levels to R1 with 0.20 cysts/10 L and 15.0% (Table 1). However, the cyst pollution level increased at Amsa (R3), Kuui (R4), Jayang (R5), and Pungnap (R6) intakes, in which their means was 1.73-2.91 cysts/10 L, and their maximum values were higher with 23-35 cysts/10 L.
From 2000 to 2006, total 28 water samples were collected at the end of Wangsuk stream quarterly. As a result, confirmed cysts were found in all samples and the arithmetic mean was 140 cysts/10 L with the range 1-2,142 cysts/10 L (Table 2). Lee et al. [11] surveyed the cyst pollution level of Wangsuk stream and these 2 STPs at a distance of 1 kilometer from the end of the stream together in 1999 and reported that confirmed cysts were positive in all 1 L discharge of these STPs, and the mean at the discharges and Wangsuk stream water samples was 1.5-12.6 cysts/L and 46 cysts/10 L, respectively [11]. Year-round de-tection of cysts in the stream under the influence of sewage may reflect the chronic shedding of cysts by people. Although we did not investigate STPs in this study, it seemed that the pollution level of cysts at Wangsuk stream until 2003 was still similar to, or little higher than, that in 1999.
The cyst level of Wangsuk stream showed a decrease after the operation of ozone disinfection process at STPs and the installation of new STP in summer of 2004. This decrease at the end of Wangsuk stream was related with the low occurrence of cysts at R3 to R6 since 2004 (Fig. 4). This suggests that domestic wastewater from the urban region was a very important source of Giardia pollution in the river, and separating sewage system adjacent to intakes may be critical in the Metropolitan area of South Korea.
Giardia cysts and indicators
Computing Pearson's correlation coefficients (r) between cysts and various water quality parameters, occurrence of confirmed cysts in surface water showed the correlation with total nitrogen (r=0.434, P<0.0001), NH3-N (r=0.391, P<0.0001), total coliforms (r=0.246, P<0.0001), fecal coliforms (r=0.218, P<0.0001), which generally act as indicators for fecal pollution of water quality. Although previous studies suggested that coliforms were not a helpful indicator for parasite pollution [15,16], this result implied that coliforms could be used as an indicator in case that surface water was under the direct influence of sewage. Less than 5 cysts/10 L was detected in all surface water samples with less than 500 CFU/100 mL of total coliforms. Also the cyst level in all surface water samples with less than 50 CFU/100 mL of fecal coliforms was less than 10 cysts/10 L.
Drinking water samples from 6 water treatment plants
No Giardia cyst was found in each of 100 L of drinking water samples collected quarterly at 6 conventional WTPs from 2000 to 2009. Total coliforms were not detected in all 100 mL sam-ples. Wallis et al. [17] proposed less than 3-5 cysts/100 L of drinking water as the action level of Giardia to prevent waterborne outbreak, which was based on the epidemiological survey of giardiasis outbreaks. It means that 6 WTPs in the Metropolitan area of South Korea were estimated to have removed cysts effectively to prevent outbreak under the present level of pollution of source water and to have supplied safe drinking water against Giardia cysts during the period of this study.
Removal of Giardia cysts at full scale conventional water treatment plants
As a result of 8 full-scale tests to evaluate log removal of presumptive cysts, average 1.1-log removal was achieved by sedimentation process. The 13 full-scale tests resulted in average 2.9-log with exceeded 2.2-3.1-log removal by whole physical process. Considering that this evaluating on removal efficiency was performed in winter of 2001 and 2002, the removal efficiency might be improved a little more since the enforcement of the law for 3-log removal of Giardia cysts in 2004 of Korea. This results was similar to the previous studies, in which Hashimoto et al.[18] reported average 2.9-log removal of cysts by physical processes of a full scale WTP of Japan, and Niminski et al. [19] confirmed 2.8-3.7 log removal.
DISCUSSION
To understand the distribution of Giardia cysts in drinking water supplies in Seoul, the Republic of Korea, we performed a 10-year survey on 6 intakes of the Han River and their WTPs from 2000 to 2009. Although all finished water samples collected at 6 WTPs were negative for Giardia in each of 100 L sample for 10 years, the cysts were found frequently in intake water samples and the level of the cyst pollution depended on the intake sites.
Although the detection method applied for this study had a limitation to determine the species and viability of detected cysts, it seemed that a portion of the cysts would be viable G. lamblia cysts. In the past studies, we performed PCR analysis to determine the species and to estimate the viability [20]. We reported that 33% of the Han River water samples were positive for G. lamblia by amplification of β-giardin gene and a nested PCR, and 11% was estimated to contain some viable G. lamblia cysts by reverse transcription PCR [20].
From the result of this study that cysts with internal structures were confirmed in 35.0% of intake water samples and the arithmetic mean was 1.65 cysts/10 L with a maximum of 35 cysts/10 L, it seemed that the cyst level of the Han River water samples was higher than the level of Cryptosporidium, 1 of the 2 important waterborne protozoans causing frequent outbreaks. Lee et al. [21] reported that confirmed oocysts with internal structures or amorphous structure were found in 19.2% of intake water samples collected from the Han River, and the arithmetic mean was 0.52 oocysts/10 L (0-22 oocysts/10 L, n=240). Similarly, some surveys in the USA and Japan reported a tendency that the Giardia cyst level was higher than that of the Cryptosporidium oocysts. In the survey of 94 sources of water supply in Japan, the positive rate and detection range of cysts was 17.0% and 1-14 cysts/10 L, which was higher than that of Cryptosporidium oocysts with 6.4% and 1-4 oocysts/10 L.
During the 10 years, annual averages of cysts in intake water samples were variable as 0.21-4.21 cysts/10 L (Table 3). The mean of cysts at the first half of the 10 years was 2.82 cysts/10 L, and that at the second half was 0.48 cysts/10 L. The R3 to R6 intake water samples showed a little higher level until 2004 and the clearly lower level of cyst concentration since 2005, although most of R1 and R2 samples showed no cyst detection all the year round during this survey (Fig. 4). The significant decrease at the end of Wangsuk stream after the operation of ozone disinfection process at STPs and the installation of new STP in summer of 2004 seemed to have resulted in the low occurrence of cysts at R3 to R6 since 2004. As a result, the cyst level at the second half of the 10 years was significantly lower than the first half of the 10 years on average by 2-sample t-Test (P<0.0001).
The frequency and concentration of cysts in the river water were more frequent in winter (Table 4). The positive percent of 43.3% for confirmed cysts on first quartile was a little higher than 25.0-31.7% of the second, third, and fourth quartile. The mean density of cysts was 3.74 cysts/10 L in winter and 0.80-1.08 cysts/10 L in other seasons. This seasonal trend was found repeatedly every year. It seems to be related to the stronger resistance of cysts in low temperature [1] and the lowest rainfall during winter in South Korea. The range of temperature measured with sampling was 0-10℃ for the first quartile, 12-23℃ for the second, 20-27℃ for the third and 4-23℃ for the fourth.
It is concluded that conventional water treatment at 6 WTPs of Seoul appeared to have removed Giardia cysts effectively under the present level of their source water; however, water treat-ment should be performed more carefully in winter. The domestic wastewater from the urban region could be an important source of Giardia pollution in the river. Therefore, routine monitoring on human infections and water pollution by Giardia cysts is needed.



