Warning: fopen(/home/virtual/parasitol/journal/upload/ip_log/ip_log_2025-12.txt): failed to open stream: Permission denied in /home/virtual/lib/view_data.php on line 83

Warning: fwrite() expects parameter 1 to be resource, boolean given in /home/virtual/lib/view_data.php on line 84
Seroprevalence and Risk Factors of Toxoplasma gondii Infection among Cat Sitters in Korea
Skip to main navigation Skip to main content
  • KSPTM
  • E-Submission

PHD : Parasites, Hosts and Diseases

OPEN ACCESS
ABOUT
BROWSE ARTICLES
FOR CONTRIBUTORS

Articles

Brief Communication

Seroprevalence and Risk Factors of Toxoplasma gondii Infection among Cat Sitters in Korea

The Korean Journal of Parasitology 2017;55(2):203-206.
Published online: April 30, 2017

1Department of Parasitology and Tropical Medicine, Seoul National University College of Medicine, Seoul 03080, Korea

2Institute of Parasitic Diseases, Korea Association of Health Promotion, Seoul 07653, Korea

3Division of Malaria and Parasitic Diseases, Korea National Research Institute of Health, Korea Center for Disease Control and Prevention, Cheongju 28159, Korea

4Department of Infectious Disease, Asan Medical Center, Seoul 05505, Korea

5Seoul National University Bundang Hospital, Seongnam 13620, Korea

*Corresponding author (cjy@snu.ac.kr)

These authors contributed equally to this work.

• Received: January 28, 2017   • Revised: February 23, 2017   • Accepted: February 23, 2017

Copyright © 2017 by The Korean Society for Parasitology and Tropical Medicine

This is an Open Access article distributed under the terms of the Creative Commons Attribution Non-Commercial License (http://creativecommons.org/licenses/by-nc/4.0) which permits unrestricted non-commercial use, distribution, and reproduction in any medium, provided the original work is properly cited.

  • 9,509 Views
  • 180 Download
  • 8 Web of Science
  • 8 Crossref
  • 10 Scopus
prev next
  • The seroprevalence of human toxoplasmosis has been increasing in Korea, and it is controversial whether cats are an important infection source or not. This study was performed to evaluate the seroprevalence of Toxoplasma gondii infection in a high risk group (cat sitters) and to determine the possible importance of cats as an infection source in Korea. Risk factors, including the age, sex, and diet of cat sitters, their contact experience and contact frequency with stray cats, and origin, number, and outdoor activity of their pet cats, were analyzed using structured questionnaires. A total of 673 serum samples from people who have frequent contact with cats (high risk group) and 1,114 samples from general people (low risk group) were examined for specific IgG antibodies against T. gondii by ELISA. The results revealed that the overall seroprevalence of T. gondii infection was 7.4% (n=1,787). The seroprevalence among low risk group was 8.0% (89/1,114), whereas that among high risk group was rather lower 6.4% (43/673), though this difference was statistically not significant (P=0.211). Among the risk factors, only the outdoor activity of pet cats was important; people having cats with outdoor activities revealed 2 times higher seroprevalence than people having cats with only indoor activities (P=0.027). In conclusion, the seroprevalence of T. gondii was not significantly different between the high risk group and low risk group, and the importance of cats as a source of infection in Korea is questionable.
Toxoplasmosis is a worldwide opportunistic zoonotic disease caused by the protozoan parasite Toxoplasma gondii. Almost all warm-blooded animals, including humans, can serve as the intermediate host, and its definitive host is the Felidae family, including cats [1]. Most of healthy individuals infected with T. gondii generally have no clinical symptoms and signs [2]. However, in immunocompromised individuals and pregnant women, the parasite can cause severe diseases, such as meningoencephalitis and abortion [2]. Humans can contract this disease through consumption of food or water contaminated with oocysts from infected cats, eating undercooked meat containing tissue cysts, or by vertical transmission from mothers to fetuses [3]. The significance of each mode of contraction needs clarification in each epizootiological and epidemiological environment and locality.
According to previous reports in Korea, the seroprevalence of T. gondii among general population has been reported to be around 10%; however, the prevalence tends to increase due to various possible risk factors [4]. Especially, owning 3 or more kittens in a household and frequent exposure to cat feces may be highly correlated with higher seroprevalence [5,6]. However, in Korea, there have been few studies on risk factors of T. gondii infection. In particular, it remains to be determined whether a high risk group, for example, cat sitters (called ‘cat-mom’ in Korean) have a higher seroprevalence compared with a low risk (control) group who do not take care of cats.
Recently, the number of stray cats has been increasing steadily in Korea. Thereby, food and water contaminated with oocysts from stray cat feces may be an important risk factor for T. gondii infection. However, no surveys have been conducted on T. gondii infection among people feeding cats in Korea. Thus, it is needed to investigate the seroprevalence of T. gondii infection among people who have frequent contact with cats, including domestic (pet) cats and/or stray cats. In our previous study in 2013, we examined 300 fecal samples of stray cats from all around the country and detected T. gondii B1 gene from 14 (4.7%) samples using nested-PCR [7]. In the present study, we examined the seroprevalence of T. gondii infection among cat sitters (high risk group) in comparison with general people (low risk group) in Korea and analyzed the importance of several risk factors using a questionnaire study.
We collected blood samples from 673 cat sitters voluntarily recruited by the Korean Organization for Protection of Cats (Seoul, Korea) in 2013. As the control group, sera of 1,114 randomly selected healthy volunteers (a few of them may have contact with cats) who visited the Korea Association of Health Promotion for health check-up were included for the serological assay. The questionnaires comprised of various items, including how to acquire their own cats, the origin of cats, and the lifestyle of cats, in order to get information on possible routes of T. gondii infection. All of the blood and sera were stored at −80°C until analyzed. This study was approved by the Institutional Review Board of Seoul National University Hospital, Seoul, Korea (IRB no. C-1310-007-521). The purpose and procedures of this study were explained to all participants, and a written informed consent was obtained from each of the participants.
The process for preparing T. gondii lysate antigens (TLA) [4] and ELISA followed previous studies with slight modifications. Briefly, 96-well microtiter plates (Costar, Cambridge, Massachusetts, USA) coated with TLA were incubated at 4°C overnight. After washing, each well was reacted with the test serum samples (1:100) at 37°C for 1 hr, and horseradish peroxidase-conjugated goat anti-human IgG (1:10,000; Bethyl Laboratories, Montgomery, Texas, USA) was applied at 37°C for 1 hr. After several washings, freshly prepared o-phenylenediamine dihydrochloride (Sigma-Aldrich, St. Louis, Illinois, USA) was added, and the reaction was stopped by adding 8 N H2SO4. IgG antibody titers were determined at optical density of 490 nm. The risk factors of T. gondii infection were analyzed by multivariate correlation analysis with logistic regression (SAS system for Windows, version 9.2, SAS institute, Cary, North Carolina, USA) to find out associations with various basic components of the cat owners and their cats, including the lifestyle of cats. The level of significant difference was defined as P<0.05 for each risk factor.
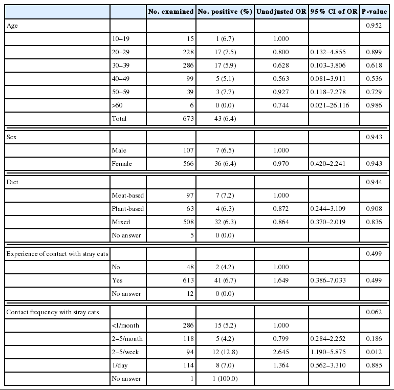
The results revealed that the seroprevalence of T. gondii infection in high risk group (6.4%, 43/673) was rather slightly lower than that of low risk group (8.0%, 89/1,114) (Table 1). However, the difference was statistically not significant (P= 0.211) (Table 1). The questionnaire analysis revealed little meaningful differences between the seropositivity of high risk group and low risk group in respects of cat sitter characteristics (Table 2) and cat characteristics (Table 3). The frequency of contact with cats, in particular, 2–5 times in a week, appeared to be statistically significant in cat sitters; however, the overall P-value for the frequency of contact with cats (4 options) was 0.062, thus this risk factor could not be justified as highly significant (Table 2). A noteworthy risk factor was the outdoor activity of their cats, which showed a significant (P=0.027) correlation with T. gondii seroprevalence (Table 3). The seroprevalence of cat sitters having a cat with outdoor activities was 2 times higher than the cat sitters having cats with indoor activities only (OR=2.072, P<0.05) (Table 3).
The risk factors of T. gondii infection in humans include the age and gender of cats, the way of raising cats, blood transfusion, eating habits, such as consumption of raw or undercooked meat, drinking untreated water, and eating unwashed fresh vegetables or fruits [5,813]. Especially, pork, lamb, and wild-game animal meat has been found to be contaminated with T. gondii, and such wildlife was also associated with the seroprevalence of T. gondii in the US [5]. Stray cats have a higher chance of exposure to T. gondii infection through hunting, feeding a meat, or drinking oocyst-contaminated water that may survive from months to years in soil or water in nature [14].
The results of our study indicated that, in our study setting, the seroprevalence of toxoplasmosis among cat sitters (high risk group) was not higher compared to that in general people (low risk group). Among the subjected general people, a few people who were rearing or who reared pet cats may have been included. According to Segye Daily Newspaper, Korea (17 December 2015), about 2.7% of Korean households were reported to have pet cats. We regret that we could not discriminate them from others and exclude such subjects. In addition, no statistically significant differences were noted in the seropositivity of people having different risk factors, including the age, gender, and type of diet of cat sitters, and their experience of contact with stray cats, as well as the origin and number of pet cats and the duration of living with cats (Tables 2, 3). Only 1 factor, i.e., rearing cats with outdoor activities was positively associated with high seropositivity of cat owners (i.e., cat sitters). This agrees to a previous report in Korea [13].
The results suggested 2 important points with respect to the epidemiological status of toxoplasmosis in Korea. One was that, although not many studies have been performed regarding T. gondii infections among the wildlife, it is highly suggested that this protozoan should be widely distributed among the wildlife in Korea, including stray cats. Active investigations are urgently needed to properly understand the significance of this risk factor. The other suggestion was that undercooked meat, including pork, may be a more important source of human infections compared to contact with cats. However, meat inspection targeting toxoplasmosis, particularly in pork, has not been officially executed in Korea. The importance of pork (including domestic and imported pork) as a source of human toxoplasmosis should be verified by regular monitoring and investigations.

CONFLICT OF INTEREST

We have no conflict of interest related to this work.

This study was supported by a research grant from Korean National Institute of Health, Korea Centers for Disease Control and Prevention, Ministry of Health and Welfare, the Republic of Korea (no. 11-1352159-000231-01) and also by a grant from Seoul National University Hospital, Seoul, Korea (2016).
Table 1
Seroprevalence of Toxoplasma gondii among high risk group (cat sitters) in comparison with low risk group
Table 1
No. examined No. positive (%) Unadjusted OR 95% CI of OR P-value
Low risk group (general people) 1,114 89 (8.0) 1.000
High risk group (cat sitters) 673 43 (6.4) 0.786 0.539–1.146 0.211
Total 1,787 132 (7.4)

OR, odds ratio; CI, confidence interval.

Table 2
Seroprevalence of Toxoplasma gondii in high risk group (cat sitters) by risk factors related with cat sitter characteristics
Table 2
No. examined No. positive (%) Unadjusted OR 95% CI of OR P-value
Age 0.952
10–19 15 1 (6.7) 1.000
20–29 228 17 (7.5) 0.800 0.132–4.855 0.899
30–39 286 17 (5.9) 0.628 0.103–3.806 0.618
40–49 99 5 (5.1) 0.563 0.081–3.911 0.536
50–59 39 3 (7.7) 0.927 0.118–7.278 0.729
>60 6 0 (0.0) 0.744 0.021–26.116 0.986
Total 673 43 (6.4)

Sex 0.943
Male 107 7 (6.5) 1.000
Female 566 36 (6.4) 0.970 0.420–2.241 0.943

Diet 0.944
Meat-based 97 7 (7.2) 1.000
Plant-based 63 4 (6.3) 0.872 0.244–3.109 0.908
Mixed 508 32 (6.3) 0.864 0.370–2.019 0.836
No answer 5 0 (0.0)

Experience of contact with stray cats 0.499
No 48 2 (4.2) 1.000
Yes 613 41 (6.7) 1.649 0.386–7.033 0.499
No answer 12 0 (0.0)

Contact frequency with stray cats 0.062
<1/month 286 15 (5.2) 1.000
2–5/month 118 5 (4.2) 0.799 0.284–2.252 0.186
2–5/week 94 12 (12.8) 2.645 1.190–5.875 0.012
1/day 114 8 (7.0) 1.364 0.562–3.310 0.885
No answer 1 1 (100.0)

OR, odds ratio; CI, confidence interval.

Table 3
Seroprevalence of Toxoplasma gondii in high risk group (cat sitters) by risk factors related with their pet cats
Table 3
No. examined No. positive (%) Unadjusted OR 95% CI of OR P-value
Origin of cats 0.940
No stray cat 214 13 (6.1) 1
Stray cat 426 29 (6.8) 1.129 0.575–2.220 0.900
Unknown 15 1 (6.7) 1.104 0.135–9.063 0.971
Total 655 43 (6.4)

Duration of living together (year) 0.678
<1 119 8 (6.7) 1
1–2 193 16 (8.3) 1.254 0.520–3.028 0.267
3–5 166 9 (5.4) 0.795 0.298–2.125 0.533
> 5 177 10 (5.6) 0.831 0.318–2.170 0.624

No. of cats living together 0.449
1 248 18 (7.3) 1
2–3 300 16 (5.3) 0.72 0.359–1.443 0.209
>4 105 9 (8.6) 1.198 0.520–2.761 0.378
No answer 2 0 (0.0)

Outdoor activity of cats 0.027
No 499 27 (5.4) 1
Yes 151 16 (10.6) 2.072 1.085–3.958 0.027a
No answer 5 0 (0.0)

OR, odds ratio; CI, confidence interval.

aStatistically significant.

  • 1. Frenkel JK, Dubey JP. Toxoplasmosis and its prevention in cats and man. J Infect Dis 1972;126:664-673.
  • 2. Jones JL, Kruszon-Moran D, Wilson M, McQuillan G, Navin T, McAuley JB. Toxoplasma gondii infection in the United States: seroprevalence and risk factors. Am J Epidemiol 2001;154:357-365.
  • 3. Montoya JG, Liesenfeld O. Toxoplasmosis. Lancet 2004;363:1965-1976.
  • 4. Lim H, Lee SE, Jung BK, Kim MK, Lee MY, Nam HW, Shin JG, Yun CH, Cho HI, Shin EH, Chai JY. Serologic survey of toxoplasmosis in Seoul and Jeju-do, and a brief review of its seroprevalence in Korea. Korean J Parasitol 2012;50:287-293.
  • 5. Jones JL, Dargelas V, Roberts J, Press C, Remington JS, Montoya JG. Risk factors for Toxoplasma gondii infection in the United States. Clin Infect Dis 2009;49:878-884.
  • 6. Boyer K, Hill D, Mui E, Wroblewski K, Karrison T, Dubey JP, Sautter M, Noble AG, Withers S, Swisher C, Heydemann P, Hosten T, Babiarz J, Lee D, Meier P, McLeod R. Toxoplasmosis Study Group. Unrecognized ingestion of Toxoplasma gondii oocysts leads to congenital toxoplasmosis and causes epidemics in North America. Clin Infect Dis 2011;53:1081-1089.
  • 7. Jung BK, Lee SE, Lim H, Cho J, Kim DG, Song H, Shin EH, Chai JY. Toxoplasma gondii B1 gene detection in feces of stray cats around Seoul, Korea and genotype analysis of two laboratory-passaged isolates. Korean J Parasitol 2015;53:259-263.
  • 8. Taylor MR, Lennon B, Holland CV, Calferkey M. Community study of Toxoplasma antibodies in urban and rural schoolchildren aged 4 to 18 years. Arch Dis Childhood 1997;77:406-409.
  • 9. Gebremedhin EZ, Abebe AH, Tessema TS, Tullu KD, Medhin G, Vitale M, Di Marco V, Cox E, Dorny P. Seroepidemiology of Toxoplasma gondii infection in women of child-bearing age in central Ethiopia. BMC Infect Dis 2013;13:101.
  • 10. Obaidat MM, Al-Sheyab NA, Bani Salman AE, Lafi SQ. Seroepidemiology and risk factors of Toxoplasma gondii infection in undergraduate university female students in Jordan. Epidemiol Infect 2015;143:1898-1903.
  • 11. Pinard JA, Leslie NS, Irvine PJ. Maternal serologic screening for toxoplasmosis. J Midwifery Womens Health 2003;48:308-316.
  • 12. Han K, Shin DW, Lee TY, Lee YH. Seroprevalence of Toxoplasma gondii infection and risk factors associated with seropositivity of pregnant women in Korea. J Parasitol 2008;94:963-965.
  • 13. Hong SH, Jeong YI, Kim JY, Cho SH, Lee WJ, Lee SE. Prevalence of Toxoplasma gondii infection in household cats in Korea and risk factors. Korean J Parasitol 2013;51:357-361.
  • 14. Dumètre A, Dardé ML. How to detect Toxoplasma gondii oocysts in environmental samples? FEMS Microbiol Rev 2003;27:651-661.

Download Citation

Download a citation file in RIS format that can be imported by all major citation management software, including EndNote, ProCite, RefWorks, and Reference Manager.

Format:

Include:

Seroprevalence and Risk Factors of Toxoplasma gondii Infection among Cat Sitters in Korea
Korean J Parasitol. 2017;55(2):203-206.   Published online April 30, 2017
Download Citation

Download a citation file in RIS format that can be imported by all major citation management software, including EndNote, ProCite, RefWorks, and Reference Manager.

Format:
Include:
Seroprevalence and Risk Factors of Toxoplasma gondii Infection among Cat Sitters in Korea
Korean J Parasitol. 2017;55(2):203-206.   Published online April 30, 2017
Close
Seroprevalence and Risk Factors of Toxoplasma gondii Infection among Cat Sitters in Korea
Seroprevalence and Risk Factors of Toxoplasma gondii Infection among Cat Sitters in Korea

Seroprevalence of Toxoplasma gondii among high risk group (cat sitters) in comparison with low risk group

No. examined No. positive (%) Unadjusted OR 95% CI of OR P-value
Low risk group (general people) 1,114 89 (8.0) 1.000
High risk group (cat sitters) 673 43 (6.4) 0.786 0.539–1.146 0.211
Total 1,787 132 (7.4)

OR, odds ratio; CI, confidence interval.

Seroprevalence of Toxoplasma gondii in high risk group (cat sitters) by risk factors related with cat sitter characteristics

No. examined No. positive (%) Unadjusted OR 95% CI of OR P-value
Age 0.952
10–19 15 1 (6.7) 1.000
20–29 228 17 (7.5) 0.800 0.132–4.855 0.899
30–39 286 17 (5.9) 0.628 0.103–3.806 0.618
40–49 99 5 (5.1) 0.563 0.081–3.911 0.536
50–59 39 3 (7.7) 0.927 0.118–7.278 0.729
>60 6 0 (0.0) 0.744 0.021–26.116 0.986
Total 673 43 (6.4)

Sex 0.943
Male 107 7 (6.5) 1.000
Female 566 36 (6.4) 0.970 0.420–2.241 0.943

Diet 0.944
Meat-based 97 7 (7.2) 1.000
Plant-based 63 4 (6.3) 0.872 0.244–3.109 0.908
Mixed 508 32 (6.3) 0.864 0.370–2.019 0.836
No answer 5 0 (0.0)

Experience of contact with stray cats 0.499
No 48 2 (4.2) 1.000
Yes 613 41 (6.7) 1.649 0.386–7.033 0.499
No answer 12 0 (0.0)

Contact frequency with stray cats 0.062
<1/month 286 15 (5.2) 1.000
2–5/month 118 5 (4.2) 0.799 0.284–2.252 0.186
2–5/week 94 12 (12.8) 2.645 1.190–5.875 0.012
1/day 114 8 (7.0) 1.364 0.562–3.310 0.885
No answer 1 1 (100.0)

OR, odds ratio; CI, confidence interval.

Seroprevalence of Toxoplasma gondii in high risk group (cat sitters) by risk factors related with their pet cats

No. examined No. positive (%) Unadjusted OR 95% CI of OR P-value
Origin of cats 0.940
No stray cat 214 13 (6.1) 1
Stray cat 426 29 (6.8) 1.129 0.575–2.220 0.900
Unknown 15 1 (6.7) 1.104 0.135–9.063 0.971
Total 655 43 (6.4)

Duration of living together (year) 0.678
<1 119 8 (6.7) 1
1–2 193 16 (8.3) 1.254 0.520–3.028 0.267
3–5 166 9 (5.4) 0.795 0.298–2.125 0.533
> 5 177 10 (5.6) 0.831 0.318–2.170 0.624

No. of cats living together 0.449
1 248 18 (7.3) 1
2–3 300 16 (5.3) 0.72 0.359–1.443 0.209
>4 105 9 (8.6) 1.198 0.520–2.761 0.378
No answer 2 0 (0.0)

Outdoor activity of cats 0.027
No 499 27 (5.4) 1
Yes 151 16 (10.6) 2.072 1.085–3.958 0.027a
No answer 5 0 (0.0)

OR, odds ratio; CI, confidence interval.

aStatistically significant.

Table 1 Seroprevalence of Toxoplasma gondii among high risk group (cat sitters) in comparison with low risk group

OR, odds ratio; CI, confidence interval.

Table 2 Seroprevalence of Toxoplasma gondii in high risk group (cat sitters) by risk factors related with cat sitter characteristics

OR, odds ratio; CI, confidence interval.

Table 3 Seroprevalence of Toxoplasma gondii in high risk group (cat sitters) by risk factors related with their pet cats

OR, odds ratio; CI, confidence interval.

Statistically significant.