Skip to main navigation Skip to main content
  • KSPTM
  • E-Submission

PHD : Parasites, Hosts and Diseases

OPEN ACCESS
ABOUT
BROWSE ARTICLES
FOR CONTRIBUTORS

Articles

Brief Communication

Morphological Characteristics and Fish Hosts of Isoparorchis sp. (Digenea: Isoparorchiidae) in Korea

The Korean Journal of Parasitology 2018;56(5):501-507.
Published online: October 31, 2018

Department of Parasitology and Tropical Medicine, and Institute of Health Sciences, Gyeongsang National University College of Medicine, Jinju 52727, KoreaJFIFddDuckydqhttp://ns.adobe.com/xap/1.0/ Adobed     ! 1AQa"q 2#w8B36v7XRr$9bCt%u&Ws'(xy4T5fH  !1AQaq"2B Rbr#u67Ѳ3sTt5v8Sc$4ĂCÔ%UӅFV ?_Aנj- H>>,m*>fzp"TrKkr^r.|_&]|*vPuܶvoQ1mwVJUhu-I"=LniAƕ8"۲ k*ҿ[yu:.vUQ+)%F DHyVBk>Hy8jݹ q~9D4KRmzQ)^ʔ.J%k_tVi5NTjg!'ky|5asOȻ)R۸ߩFMԿ3L4j6dڜ#NIwUF]JqB/(FafJRzq3\G՛ ?~\ 6)6W4m[O^L0E&rRMض*C .]Unl-1 1r#Rj/&QɈ׉˩s6Rj=5Tg.y.·Pӡ:JJS:C8-2u]d&vUz;7p9 5VnL֢"y)">iי(IDDd| Yj0; LRfS:ktYK%*N2^m|&dğth":ey)uPQZW)gcC3Pv&MMWd&Ŵ۲mvTRoժM03*F3Yd6\8,\hݻ kߔi<k NTwSԪmljj[>->ptU%'LR>&EBH$MQAUx[$Z6vi&_a.KIQ{hyƒ j"JOC9eFҝfj;˚Ω<[3_m% lQ@4g=5$(J]Yc-OMq<Ǎ wSzڗ)k$7VIP붾ͯnV+卵*t]iЎD31~SA1éC2u)ʼnQn-Uoi3:grI8ؓWm*G zܕ)ZקJ}Y YlGeJ6cB2I NS3Q>k=KTBT]W6+SOXQgGR? telˊ%-Re\hѯ2TF"C/OJΩ6r[N.0{SpljjX1“jOsӥ;ҭhe}xu`Ք&.)yO̒ Fߑ.$Qw;9Iw2o+RVJMSOj[SoҌZ%;`d$blQ{Ro{Imڌ>3egf\O֝Uzx"䢸g+mv%Gʆ:|V[N'&ס-ޝ'kfE|K,G&˳98Juin/\\Qݿ̋v~Ǩ!rtWU d|E߫R4d}.qPw*Ӭv5YEcn~f5c%MTMkb-F>5JT,})QHg%{("ӔȸWMsYyWNRrkkJr0XドnͫT}r-jj,Ŕʍ\Q2Ri>v$5!]"JB2WɅ)]VԜUc8i|.jeRO6^V.¸ Q&#|ܶ-*uOG%JAtRZRr]FFG\۩w+?'zչSѧt jz>KW&ot{7P&2D;&\\>Q2JzܗAKSfeNn[jRrԕf6,q,F1tRfԗ>vֶևj-&R'Zi2=xv~Elbsvm8=ӛ"ū񕜈BȩlWau[]ٷBߨF~J!|Ipr3R̴#Yp)={7:G{+:\W}n|Q#%)7^-h"Ƒq:M*%J&$T軨I333׎g_- ucBwwjp[6i25$̏bU’ٱRv?G\~#Iͪb7<<}Ezt" q_Inw,7-d,G÷%T* Wg1"䥱kq/A.,_KhqŒxwvo u2ۥۧ.bQ}XκA$֣ +K״ZUNmڸII{.v{5z5ѮRme[moyƾd~cRݾK'j.\i&/S6f|b=5: p!6i_ 4j6=.si˧eƾtS^c.Y^RJVS-Vi3,esi08?H$GvZgg?gi䤟2adw릿:"۪lkSN>q-4kI܋ێe̊qۅgDoѨ9; #T.Q;7#~_Ufstb_'w~Xw1Xk,vcOt._}v}8"(4Z\ۘgk?J?bm_c!g{HZV]Fkk%~gEt)b秴vΰB|꽸}mp~E6ݹv;7P٤v+ri*3Ԣ|'O14_~7nP{7ZU\Vű[ +7󖱅o#:ǥŬ\|3r%TJX]V7ez¨Y]lc|O3V! R zbJ'PnGqVJ"19WVeOF埜EaEJωqCN5Z g-9[S<$sUK5b|7sn\7x qmv##FF\ w[=-43$^ooVSiXօv7iB۴yg>]Vf"r$J3""32!Zh[K%7GvNLs+4nB/B{vlsobJaҺJR:0g%&zR\ S3T[&ִor*ⷳc3ʊO[iozW٨%$gn:ܶWwFBԹjHP&z u&F2\f;ipW73 [; '_̽b;vib!oec dC-tS__$Xs]l9&z$2/N>%'[}b{h/{`{Ji׉׏ YJB/X%}.|+{(S:qz]4_Kѵo`^tY_4S#* ^zvݾMr+TrkQ g.8Ͽ^i>ӈǙvix>$o( ^qt*&t1oJVu-ql5U6jCЉmĻ*"?JT=K'O/|=Vo}l0b}}f?X[?/\JSBe,kP8ETJ==?.p5ފgbU9}ǶdNKk—_$8̸͓ۍ8Di\BԿ-1v{FF]|.^ۅ{vl12׏z7-R7wE?\nh\jN/Kձr_oBw"N QMBZqe-m:ӨSn6j4%!hQ;sv'm4kcM=!8\m[M4{SMliۇ%eֽR&N:{2A8)THLK3Zj[jPBx#BگMf:G1\`edcʮ?|w(-̮vXt,bW2;.ιNHRR#YwTM"<;mk\.foIDjmlJ;vxy7o7i\,KQŊ9d^Mmgc L*.T6tLeIuOH3SJQ3=F/ʿ<9\JM6mN6=<{xkP!F1QR[I$6ُimXu2An2yԒMU q f[IB-'䤯jYm52&JG\zд\~vdg QtHGXw&1Lw+nDEdC1w|YJmvP)HZ>i0BPβә?R:QO["]I_Jʏۍ>QKyu^bycBq4lXF~l [\*N>-J6,Gq(Zr5h]CwYӤU~ʶߑ u*SIv%ZfJ7)! FS*s_\|IŸZ)J ]ܜi4"z[+Z,MOZ))}|Ʀ(RUNIII.S'ˍO~˨rn}M)xxӕ0 eyҵ7YMAB]ӣU:/ѭ*6bcwP͵ "+qēVjŹO|GtY4V j[mLV M -m>",B$ GD1~j6O4|LxnNmqATNR3ε|DŽa[fmn-ڭ+FiK7Pcm;r5 l8r{#-]'nrFh2ruycb;pW=njRqRJ(d mnpckNnʹ+6]tz~E=ʕ l ZZ5jSi3#47.Lcfe`9؏v囜.F\-UZ:*0_<Νu9Lӵm&)_3\^ҹ3"1n1v_|uRʞͫr'iȧN_kH׺8xXrj=\МH)V\ˬ.Xʸ oVRC}ySU9/OBY먌5 ٿwޞ)rw8Ӫi5*5ZΗcGƱ !ZۄlmpjJ -l <R̵/JAպZuq\IdUS 48wXJJtcg4cI~aqߓwŷrm-v)G7yS^7H^-\mŌAq|"m9IBnF㏉9[N+mmy/!KKۉ%n +BdddfFF6FQRN-U5;Sv'm4kcM=Mn)\qιqUd9F%",6MGdT%-+~ f%+y֛^3SrF>6lc(֪vۊN;g._0Sѧ]ETWرkQKzGe9ʨsKA"yC y2\[5 rԭ7Gk5Mzw_4sM3hxЊ'oÍ5jsub )ͪ~tR2H]R͍>̋m6=%(˿(Wrr-܅y5(ܔJ޺YunW̹븹NsqK ]/QR#"ZMDfD|43Qw|._ԡSqTZBg??O Ϥ)/E_U|i}2 9Z?¹0:x'3,whǣ?C y-A~=daJј&M?D1_PS+Oi&;a @;Dž7[ zZC"bv:jjMQk$M RԸ3uA\=wI.AwC"^.{?-\NSiˏ"b}T/}q/ o.1M}R%:-ZniʒL$SgrBW*,Mw'N\ɇ{s\j]VryG'8f`}'N<*/`U숻z CwHq18J+vԕKss4R53/&XTt1bZƟo\=%nO)h$rBi-nKĪ^ ջڜlwkYm[̑+/QrZo%TQ;TLs($2C:s.%+eoNttq۰kK7O0m_t_pZ1SsSM7"mevFZ[w -FJ*T*jФQRg BSu|]g:ɵzjqwmltL.e3sRMچkSmjkmWœިm++¦'tILk*բQ D,PB\lI[9{%Gb R6öۍmX-MaʉA931cs..G4CujQտ[9 }G-xwl)IQz j Ó"rqe&=]꾧֎c)<kӳ+0JrRR3'TnXi^xMF Bު*tIL.[h"2"nKzZe'ZV/RrNYz]8죝n]Ķܩ>^Ժ]u-7^\mZjܣ9+Rmn ߑv?oꋘ?&ƪy^N4o=3-ؔ̿*`}V݁ ƒPu8%$ ݗ]wt;\y\>='OjPIp/nJU8{϶FNMsf"ίNqƹ(+ ݮF2Km |jܴZs%zf*eȫ?]4)I۵nR&FX + [jDh(#哑9q9Eծj8noǕZf\J-l&Z˫}`ӎhyrΉn\űn]9pʌӣ"׮Wt?N4_I_~54#/my1Xr*척aS#DT >q ssΛW;3oUaJSRMDgQnt:Ql,/ ܷfRqiM Ȼ>Cob;A>ڦWقM9X~/!'MW.}Vrߔꔵ!5|iB(0-zF=}okڢE$^wW~nokY߮\6՜̌{i-AF*9)\t9IV6۸5ZUF6R$ŨQIq砳YUZ]eyv >hI櫥N )&l JulwE1GDOuFN2| }馥uC1rޫV+^gdb&W[4<^e4YW,d|htͮsUM)۸8:{3d{AѢ)~ \#J=NdƮꮓ90 |1K$v*?мS ]i$J,C,SG?/_՜pMSƯM|mG1V1$~K>CSvkuj=&) -,yLjuFHK{c駗.SOua;BrSqj-ۍZ#'Jys7[g2z/.u4+XV2VQ.ޕ)$"(%)#Z7suZ%j }BǬݕe)Jvz8zJf:hIN|svO1O#IEcۍjݽ:SdὮvu^@:o^5cs>i/VqmVm]ؔܢn6'vޑ̗J4Wn@OlKbX ;n:hgJ9ŻyǑz8f܌q&Y fN0N;[69 rbׅC2/#kE l&2~èMR.*%g=Ft.%؝e8<.e=Uv{~㻏"EˑnvDѭ͜Lu3u0:U֝$[M5<:oi+V4V9 6nXvx&_ q Qqw3W:uϔ2yb/(ɳ|5zQiJ#r|Hw#.W?4aDŲ\ugWG;Cw鐢K|xg)##=O.dF˟jMUvWĻsr.z]kPc9"]R)mkfOd*uYf١RsB Aîh=k]ʳUrrZsq`d#r$/Ը3o^&lRWȍyuW̦Y4QDUMJ65ƒ[+ygk XK_±k#y:8(TJOSQhJt2.DR}"5[) r)6V6u5k:eXZmv𭤔!푊Q[qQ}ҹLE- 8qIZG|UM4j}Mܕ[Vwm{} Naqµ"ԈM zOpKѰ?IAD3Ir0'/q1itoB5{%wkOBn-ۜduqIzYK60{+DʕܞqIt";r1mG/\/ym[6JƫR \L=S=OT@Ix[TMm{>ݾտ֒ݸӉLYIx>+"JVNzx||5rI?C{oz8۹e\R-^\A2F R+N9 vlT]"ۭ d)t֞i #E2jB@׵=#/N+!ĕhx}I!cM`ąZ*ŻɄҒ߮Y.Z}='/oۙ3IpW̮hT7cTSuz9>B}΄&h!>lӵn~j˅IvU.'v'CSZw8QK3G> ,J59ٷ+HSg䧎hJdzvwv-cvxS5[̊n~ؿ%ַX?O0\6ne 6kn9.ϯ} *h 8_QhLݣ7q +=XBҲ5?[[)+F`=4 }B,sNg==u*Nj9k_GJ)+R~GSPBȒZ:(K]heL=vKPӢwq(NrG^ثϣ?#tC?.ͼ[ۅo؞y#%ǛjVyLSw%T*s92JTM%"YkQО.q)gCͲn8cgi6j1MѾ[{9h^vƘǚםidfi.^RHmg&rׇz:}݃}xT$ضk'5s-狶,\vpbPD،=Okf.c#cdz2FK5T!&)|ntD<+OŹU i-G[EE*FDfeaf2QƤM\UG_{ǹm%\yrGy:.\4wjPGUJޕUV7Do\7Vy_13w;[?c]H\$IJ,*L]3b%L{y.JRKG2sq,B6T}(#nW|km+q5] r㪍bJ@y{byz,b踊3ϻJ,'^xd،)JVw#.Vټc''ÝպWtbRؒJz۠8!o9IۄS95E9ؔ-e9JR{dmnッ<[~n${~Њ$W?&ՐY_? #a.ߑv?oꋘ?&ơ|y^N4o=3t=~7!/M3>n8W홎2M`Qx+ z qy8%]7_~540ۦ彷]Wq CѡwkďyF5Dum_}~P(5.(X,K9vᯐ?leB9;Jhm#3{CxGE-S{;@Fz˙]=O'!ɿ]' r`:7'2bЖ>Iy,/eTy/V<.H?UYY{\^#ѣr9^7?xoRȆ7EoS_&??zϾM?(~Q-K&>"~aߨ t7Emsϛ+?;fCr)fY+>z$tIkjn_>vnrֳki-˹l= t;'EyC¥|/BLwBJdgjۛ$s S1|ɍV%JI6KvəhzIlBYɒ|0"Sy0F>eo5W)O+X˻u';v)2vVq۳kۮws?UʑBǴYO漪e2MIjPAک\b1)DDؚKm6ZWΨgȕ۶yjڳ 2ضN[C[|r@9Jfo<_eI7q.|cÊV߷:i.:$ȋ)1%%)ADZCEBxJ0MJۥy(bNsKM9k43IwNt.\%N簤I'.j|ƃ2$grBEٌ\}9:v*!n7M(ɽ]7c@XxƱԨ37īf62cTTfFK]9wntQHͮvٱI/f|j=7}\_V5U^+:uljSȃY(XI.ȱmo1甅jڎIZ2>#\*:gY|4k\8ZwSqtyA!+];бޞKծË¥e)#5ap.QK^8VdU{*ѽL\=qmjnB5>{ Ӟ`v±5 ^k&O~Oshɷ,;6nOW>u6{RqS`)S%jp\ipdEBLfTWy$GIYw~䲭J.1vSY5z.V>^+Ǎvc.I[R{QsNR3ӎfhd>y?UJ*}~[e\i5U^͛E]G_FS(Iɿ]i8:4zj~շsW,ˆsy:%O}iur]iF5~3M:Ӟ#N06)4ߧgdawIotiz:1r5YDZLHBSi;NQc44la=Y kQIT*ըl:tq2(է9VO4뒳܂~2rq'nrVZŦ[t7\oլfb/mlpc.I8콚q^1iE~䰳mi[dۧw֤ICfdFeCsg:i| 6擣׋* 96lust^{%99UNRvaMܽo ammi$em4D6DD\nA%$$#}۷/ݕr99JMն[oT޲E"KTaP+HGkŴj5TM5xƱOS-k`ۛkٝWz;{kS}F;~q|~^_|euwnE'pSupUP)V]vE+t =ZRaVdG6= *.ϼnj9:UɷbېmF_tޫgHjVS'śǕًdkkѻ_]Kv?nT>)^e=Ar1'3ԔILyD?:-^in):{7.؂\.:V }#뺾.3r̸*xbFM aȵz 6SQ:ײj[ 8nn iFMw rR"5M5I旘35f^j='j:nNW.ʭocZvZKV^ɚJ.cM1ZI7E'6rg탸5oZ=[m Z`\hbMUR١Ȗĉ):Jin!_7Dй+f̷eKҷvͨBPR(V`y6tw*MRΝcB.ڭTnc;P$8nFvm4(D(R#R-L -2:FP lxZKQc6I("Km%$E, 78uXIFA$RQI$JbInG]c[ֹ:ZM+n^')JmJMJRu{e)7jQDw~%yQl}BZujSSf۩QZ+Dzhd5o%BIc'GZ?}΍:>Ɵivז-%݌J5MqGWTVʦh݇ܟ~Օ_6 n'{3~mϬj'J11OȻn߃r Qr\3y٘+WӍ'WxEs^O3 o~[|7>]]H9݇ZomT@]?5B:Z߂'`V_+/MSKX߆ޠk3?o7y:4R/7þ] iG߬aBRU&?r&/} cQߥGj2?C5Yśe7hU=?+ x龳f-܈czW^7p%-(\D4h{UK&ӡn^m]Fݢ:`δvj俜F+) y[{{ 7 tu>gvrěOj'5 iRg[ͶFjGe n~qT$ci ۚ0oԹc*jL[sVWqj\ݻ&6"WoK:cnWmrv)o>66(F>=W^bf#c zzʞtپy%mՉPël e}J.\Zk4ttt>oEM=q)hJjI=ͥ(%]脼_88ф;͛gWG;Cw~˘$4=uWdĜTثNDkiQL9U*O"4XP`02,Ge-k5$h>ܼ]3vr6!9RQPIVSnM(ۓ{>;/Qͱv{3&-[rc)ܚI$n{Sv3[j00)-D3z}MRzVQпj,T[uVs0\}Sid;r(ݝJ>æʺL&c[jPK0~d(FKÝW\m]GTcF|Iׁ)I3~#oX%vҦEݑؼ5Żv2qAZTE^..M{ʐfȏ2##.R}*KʛZz^ӞN*lPťLf\G6[WVQquV]XAi)5J!,$iJ6o$tPZc;Kjx_n3`qIelV~vLy{fn匋Ѿn%;zV.n'-ұdd2߽1bZksPe3TI9)$ԩIN9Vơ\=2885N\ p)/a柛w9g_lױo8ݷ iixJV& ғRi{N^_oAŮE6Y7I$Nk$|Q)-*4Z)^¸%4Qm [I%.c-OV+C֧R#%ѨCe3i;w$G+_dy| Fzj$DI(=OA gj%v/]8qԯNIS*֩',Q%\44ZZ%D|Ǧʴ6&vֵI$%8(ԬƾS&#Z. }6z?b/|Jl{ץv&mpx4Z$”ڝ4-H%dGKfM:sKSRWeJAn]>s6应-W9'H]'uȫYvgK^\czp|My\鏩w/ËQ.)]\QiS`8uL뚛̸=J"ܻi\å'-)54Ue]:K\퓡vK xwBqrH\*֕TnzC.mT=t-H]SČ~Nu╏NÅ3f|͡G~B+Xm[Q7U{9"~jgK Zoʰ7"qJ,ekSeNGgϳ] ^.6:s}_,%eRg<5⿨z{ZPun#jRІ.6g T.!]xa c#jN$Zpl̋H WZu8WmMRýsĮ?Mco~sx TU҆Q :KDG4n42.<3/'^?6/ܠڒ^yrrÿr2\D}}B]^E~^T cɛ7϶Y[<֞[7d}2%QPqOLEQR\CIsj1?\}%tJ0e~ *sk"*)&ۓEi#{1J8Hrt|'ܝRr8)=ƔN'RVz:cf]F7bZyZUȘ4x8,#JG̒?.W9XnO]KO]%]ƻ O5Γ/3qÓj؍/r̺rƵ 5\&m6h.xoeX[=<3%< lZ"2h\Z[&jW3ejm?k&[]ųj+{N{66leu_+lj]q* 7g*knأYv= q ەdxЬZ|%GUrQ3jLŒqET]1% qkXYūYc[7Ś]QY\jko\</Lc7+'hMSUc6qXyؙ~6#ѯv.0$BQi5YyIhɍiy=KD!n3Vm[V%W-B%swa97ajۗ m+9~]fKq|Ddaˑ0A]_v޺mM5* F-BYHJ5}q>ʉ.6hyDmpD׬'-_v5;5[8K[viJ.3dR:oYHHh9I7:۽fi+wm^ [)odPѱ52CZUJicSw\&_s0uBȍh32džzQflcd^m|7GѹE!fO5]]H9݇ZomT@]?5B:Z߂'`V_+/MSKX߆ޠk3?o7y:4R/7þ] iG߬aBRU&?r&/} cQߥGj2?C5Yśe7hU=?+ x龳f-܈czW^7p%5|Y:SJE\U-(a_cƣUǽXXKiȞNlmۊڭڄR!**ܤMeȽ$|X5(Ź\rJ~ܮ]>'HB0cp XFr_c?f?7<ukSgov¥iG>>䙗i.+t+bOjIܶ . i^:nm}s}(3>NZ$2Qg([".>i.ƾ)B̋M8+"- >eE6DݥJnJˣt׻ 5.˅nJGwZD~!i۶a,Db3ZQ3O#KO5/֍ozuK'GbRi᝘NV_ҝcvם ZoX}F6z 7e5_e:ۓj=AB+iܔERadMBq*ԯ DwI/Gy*mĥiRKg6skY/#SN4e$-yXM YL?^ĸNNӪ{$r1JJRSLO]Aqm>V/s[~i/j+m>z}eI"Qvp]{ZԼ:{vPAG2=T͡@ڐ#u"E*>C;o$~C#_d/HBq^YRٽzIKbOm\~żjFFGdiQ(*/i*#.FF]©m=BmpQQQSP&Ҫ!T&^>:y)$ˑÐFčI Bӡ-t!bM WҦŶ'UZ=}zvn~oT/\ǒ'nr8 AJIӆz<^uߖ4eFC1i+v!3qNyߕni?4JZlmYFXFۼO0B\m[ tʄU3s"Sr(NJ;SKW72L4̏BVdf^Ҹj\]ȱ۪(ӷm?J-KEmWڽ^4<8qu%9pŹW~877ܾeVгS(յe^C]yX͹! םm4FGȋ\y'Z FX7e)|Gjt߹#gb\ŧq_([R8[qU$Z (ʻezV2V!iQ,i$JE˂٩ a(GK'O{vnBvryRd-RK4=qxZJMl_CuuIz @Rt㮽޳!|68\-l[џ84-2Pu" RJ_^OL>G1~XnBŬw6J0*Uvlږ1N G1q9IUm*'oWu][&UyYZbBZRZNfEJf"+2nF~Eû7n1xv.RUM$6 lAxSQJ&n5ܞwlEói"#>4׿Q.nEq7Oko[1wg8ZQwZYiqtm&~">Bo?w͡ni2峋NCEy Ҕ+%ZJ ʩq*fpˤl,~^Mχk1+:ݕ z&Y`KLӪУDr3[*Z :(SL&ݻ۬Vqsyԭs x|iI߽zZrg.:mp%6ԜvgmpIUt;QbS.Է) ǨKSV,*lڌ|5Jt3#NP.=+OZ~/G سIgbꥹJnl_DUM\iM!֔wVZuԺ,yV.Q>f v:݇WiaŸN5Ҕ[M7SsrvǣrMW= \8ZW-jsnڕ.ZnF2qt ً[ٻޘY۷Zm"Jxr&NAfA-݌to9s359݆mZ+N1-qS$D=17 x׵+%_ ve4ir6Z$FDڗnFtOr'7'{9C˨ꤡaYoace{Refnft RR"4%ʌm:Sj3)OdInTO>X'vxV#jܮw9Fog;5.~Y5\~18YQܹvj4+~t7S ﬕs %^۵ڴDZV69R^Y+rj$ԇoJKR5wB9C>Y:l+EǎS{ʲ{T6Wi* ^^9k/y/Cs\g*qڵgn4T8mERr|Ti+iPe;;.i\EBEJ 丬i9ɧM-ԼsGDrZ>r#R>~X9y4b棇9JwV۔%m(b[Tjvl}۩~nDԺ{Zo-YuK1vx.nWuO+jN [ٮ0%"΢CdTJK-RަH"$I(*ve &҉FzB,_Vpqp9m8werv')E;o&QE׵^d9˦j\_,ڵugZȻ̧8k+jK{wmr@3ӭ2 wFkzFVqs1؛.v'I%$[iT]D5Dl2 nk7qUxԫLS+sا3/ΖeZYK<["%-g/kRs:f3;*E ت wJ%)5&+&rw*霣i|sMҴ|;R+fm䡩.!**dӶ-6s6,]zAXMWjmnz%SJߴm2UXw7MQ%<!tKys#P,W>s;3IYwx<+i_\\\U6 u7P|xbn_k&ӓVOe䦒 VUr,-㘘"-LZeOSҠթrEvq8Kf%5%&K"#%vD/.ZYYŏ+p$nZkvއuW9㓱Z G wYIFyf)?ƎUm5ԉ/'k84{KO:rQI}XRuԪ|*lu)3qZ[mSm5R3".Xcَ5c®ࢫI*۳~wRϿQWޝ(EJrri&ۥ^ʶ齲Im|[yb;mnm֩uiܘq>E+Ikx߄3r33-5𹻖09ϖ9[Tz~mr5NsWl$oPusޛ^{Z;);sڹf\3oٹZmԉ/'k84{NO:rQIBø8Bݱ3n֤DiK4u& ofSȒܩx<˘|N0Fչ]qsp"}! QWw@t4ӭ+cO5%]'*{eM߲DRO1y*q8w++e!c߶ܪlZWّM欼 CQ̼빶lX{vib/V/ ai;x6~]+z]MWB>re-:lgk}պ!#9?%܋V-c[z!W?c7YNm/jRr[HOzԻefճ0q15Zp#rkQQ0tU-AmڵP/cȕ?0cZYj;:0ZM=D6g ?'UN+ձ[K ܖB2'xq9{|۫N0ku 7xaj;n\ 2[VznMlWiKbSk))f..)Km)&bGZ=>OR܍W:j'rM'wYz&/鶧{Sʵb"vջq[I-ՌZH._x*BagC'T(Q:$ͳQcMCKy?3g'ߝqnT);qs #ؤZ}OOI:cfnc8W~qy.;^pVl]Hԓ>^H^@7-AA܃nmL(uWܻS߿ Td95Bdh4t6*dDh!EhI[iŨ\L.&Nc ܮf^;$R)\rip9I|ٺ?#R.ZDZ;/]nݻqs\QE9M&Bd ]N mN*D>tgbK>+ˏ.!23]BȔR1ɝ^j'k2ƮqBQq[$di]icV/e`޵B.FIIJqbi>Ӥ|p; 6${)RU>_e}^dzdfzi %ekRVUS?6'hׂ)5.\+qUgzE2C˷ecŏ^֔ibk shesFWJ#~> Wk~ݨ}ڶ>ơǚ)׽ZƉo~B-ڼrvoE:Ʃ3ۣK7+Y`WirS):{>ڛ}:wԨ(J_";6R%[u&ƫdZ_\'np| RJwNeTW,=rrbnkڄ[M3ܴz)3- R.?:okۼ0TU'w{6&w7j1z3ON'fGoO?)S_bQ_¿R(^ԴԴG.EtMڇ&RUiW uQjU> Kiu1d<ѥIQ'RQ1:O/lŗᏩiʂv&Jc{D5 Tt)1.n[n۶X}RjqnOʽ(~[Ns{ސ⛌uO,kgo֢dRNQȄ .'6W!׌P朼tdZjFGE"]K@'i۪N;sI[{SOzk>`rRR+!σj8&TjlvA̷Q?HyjyLHNտJMjܶT۽lG?SnKN%<‘ nq[N0Sq[Ta(&t(|HGO~gvkݻTR4&Z$#ViOY1r$6YF?e4U/Mvxų:zbU^gQQ+NW_'4jfz^c'#`rvrڡ(IJ/J ݦ6 ]-CW |_{v*_q3^DZ}Ic6Uڌ8p7{crZq5ki`)mU6|-Z5^iEz3P=:Cu7DF'k%}<C-޹ֲ̱#\,(f88%X-N(ck0VLR~} G"-8ӏ/ϰKq?(#nrVTmZ;zióM4 m |UT'C^_1X.gXM{%ʤd 4\ovN":"y-,T)fLQgۢr=/CƹǨJVr[a+!rT|%Y\ٱzsS>jͱ.oOc6f$q% ǒGo;n[];ߎjrk{~\VۓNIGn:iqxo |~t5)Rxעri{Vi&NUOl_ѮMfsޕkЄay.0P{7N((BaIP$ K"U6Gl ݙqJRu+qN$ m#*p<|{:>-Ev=86N*MM긭U*uѾ?/^o7;'u,h4݌xښRM:5.(/ \իU.{F^rmF-Jɷ.>Q"[4xT^OZ~mK}T0ݛ^SAo9u?lX(' qj%=X}"^e4wˠ|rܫ 6I\Ķ;Ӻw!'ڍWg{ i U_9Avhۣƾ+:vs/MK[ɭīe{`Zgb}r[i'GE2J7Nez579wRq+Un ]J.cJ4M:h箽Wxxm^ pc\wcN%'My $$| :$Fqɏ¾^қP9J6Wxvu}ݵP>Z'FFdg"-; [¢cmWkÎT8nG%ݣ7*\խCLRYZͤiD&J#'ehbSyXK|y*ӞpS̍R`[pTr/Eg)K+92{_ n3zwz'oŸۤ+sOj J:`T>Cf*lwd\fYOP"R E֢̔L4ɥ :;.b(B02rJ蠟9>V'9M%)IqnhP<%,r'P/vNSwr#w"ݨaqc(|{kd=^0jTMR2ULNz|.<|^PfY22##!,K~E BEJۜ&jRNsHަޛg\r,v؜.jK3)[EJ2ii{KEiHP^&]Gn8x=K}Wx/KI9-ϵwQ%spܾ[^R}S3$qvq8M[ ozKxcqmJ/ӿ{_}7&ݨ\f6ZSyQz& 7ۉ[8~UNn|nkiTB+4RI8'Nc%tn{!]Ȋo.nEmʱn𵵥J A+wy#+ikǒڂ;՛s85'KmE:Ђu""Iģ5p=БbTY-ͽڔ詻ngL2Q}$de# fs^o{DUUsfwӶ;s1T,ǤtޒQ\෼J=.tKU,7čJ5 N$y3kdSMQU~mO[03 $zAڟsF5^뜞"Կ QHmrR"ӳηer+ҔZ]hE-6Jmt'ޒ=O[sQj)6K}?e4v_KfZheޓ=BV[bY}lݒTTЬ{ȫvO_qpRApVŗ 6ju=*BR)g "O1yhb=tqJ gtm\b3RY+JQ^Ō֍\յ\>+uSi{=x ^w;uӘ#ĸzLn*$anok߷CBӷ}5Yqvdž<( "_OWit5:EZj2 B ρ1̊fi[n!HQF82q1牙nqnEpT(2RMoM4ϳOu ':֧_Xjsg jP^(ڙ{2%E͖j^}ZU[Q$'U) <܂%!s"m R'G5M0<+zM6qYm$ڕ$3ǧH]?o2N<8F1̻r_my[Rf59NjpzBnl7*{.QP 3N&^BLJPjAHCK2Q}$#~YMq8 k(MFMU)8MEqTy+Tʞ-ar5yܕOXw!e;q-Jqܶ䓊Y:LC UE{/t>r"lI9)3KJjϤA 6SEE$d߇3KG*En|P\ԭTn6I-ƍKTj<1H_zwGr19wF N8ݝ+a9ɫM6mhePi%mmD! """"""*1bRKrD"vnrM۫mmĽm]ӡiG~e"˩ lhRTMk^MX["Jݱk7_ޕ*DqĒ&flՒ}`W}~SմZ{ĕ~wm*/{{ѹ_-0ط#P]xlڱ~Tn5wi*lڪ (JxioϏbqKYR|!|KN53 OS222$jzww%i}>N)E+rۥ7c$Ofl/LNث\6H9: FY󡈾I)fB֔JI_ ֣^: 9mY{66㒢7Uj]:.-os[R&gMF3˸#໹kmjq^8W"PΦURjʄWa˧T!͋ lW48JB2ko+ /Nw QwQzQ ے%$ޓ7^YL|r7!v%Trܥ &|M8~ybrn[RV gSn{{*#2#ԽᢏӴHak" ӌcwҜw&RJ07ױ>Ļ =^ BɆ)v32.M1=#6%̠tҤnzqMwԣ~s*%-j|_m*.Yx9Sz=)qE4 3pk+,`=kNRڥ=B=nŔNAx)Q$ԩȧ4z3t#Z2lҮYn$S%y- JzGpu|LBV7ZW#;Wwipܷ%(6jFG5#{$D"uۭ~]֫SrD܃fҎӾ+Tu>-ZTQ& N|$沸ii>eRWݳu'[O̻j8JۻEѩ[]vni= ڒ,[_%kC7I3Nv$4ɎЈeٸoUu:[}Do5|zNq=Tre%ɧ6&~DȍF]ƞG5q m]/w/ \ʲr8=oʔe9U(W"|S]uZd#?Se[W"ֿh][-7Nu:T=)R}.;ml*5Dlf $fF(̏T hiIUU4Szɕ t(%_|2 ~6eM;TƗK[f&]LK^CE2[ȏBOd;Mi|cx,^6;sیGpQ\NuJIFTJ~đArh* B"$H쉩eXPRj?sl"ԥ)su]xpԴY%VESH"ЋJǰ K&5^Ukzׄ8kEgS2h&Se\ Yl]WҶp-ZUvi7QS:4byqOo+[̺腋[6-_Fo.6[7$p&^ _GZԸߍkc.qqoI[9m߸YxOZЦ1uoiSH)P9Uʄjcq= S>֙NeR><;+ڌk%_qT].srNO?s[=vH[]RZHRMtᩗVؾ:/~u)ԍdg%=edVrISb{6vSu=(ܥ)mTv/J}̇8 S3ad:^hBSf؉OɔLhI_1d8,L><_A0y3rXq"'(۱;mFNII.v5_(^q~X>y{3צ I*Vܛv/jW' T'NR'j%ꔩ:mJ3SB}΋!-H-RJBТQoedi9tjENenPpke.%4]#{:>mkEɱdYWl\\\'nRM4&U>?Ќˉk÷!𴪛]]5}UqG~ݏI"O~s6(Ļ)qO~h}uԕd}Q~G,oE!&G&/]_H-O=o{k\̭bkv.Ô܈+;arZx)m?M\3lU$mk-CFXjTv6u' g:Vn_*qk:VC A%'4JV%EY)#BғO4<e׿jQQ]yUr4=wm[K1r׵%Iũ-O}|kC;/VcݩWZ)EHdžTru]8hgĵ-;=>U_ InvTm_jBM+QiF"9*{DI/iuo(=TzϖmPQl_v4z>T*ȴ>YF;ε\t]EH4ꌇ[VrLzef 2T^V>g2~kg5~Nק;{~Z~W}&ŒBӿS2$J?~(Yœ"˲ߩ\O]: J׉ښT{mmIѩn3˧)4LdFZ/zUG>U> n 5& ϴ-KJi2o]uKljvK3$bԔҚV旧iY5.ίfi96v7!v))FJM4{jG~Jt/lUE%pTAFe4qQk\ve۽/u/Im+W')v{\-E|Pms7߮DZRr۞/mu*1ՙaB܆ -xg3#6ۥtRogʌU)׎]ZҞNnŞr}F1Nnޞ;cZ{N}ۿMiuxʉ*3qi'9KHQ$WJxXyرŔe~[v5~/jN9Q4o6rJv FrdxM*iRjMzUinHdн7ᾞS=S'7 } ̽zt7K|_g J=Lq+/Bw_\ۧx\HJUPzQ<hqF[V0x==CsU7q|^ {)Iq38$_A(VgcKu06Ƅ"%i~_ˉk QCܣB8Ku/񋇵u([w}$F|8TՠI.E !;RJ^}MɒD_q2];Ɖ{5}*n7nEInO{Mwv}&q+v [V}Ĝ@%>#dXQ$f;iep.GquixVt x6bj͵mlKقQ[T]zs/&yەnM'W}!Fp_d^Tu N{ɻ'l{խ2.sTu{W^H&;1s)Pӛ6>$mě;Łnj= fLT)>׸+qReɴ[UR\L*P/!$Ӊ3Q 'K=m~6XqW3^W+ųO_[F$rR*u"T%@O +%# ]˽!aܽz{ͷvQh쩎]hGތ5ɇ*DzJDRNLi 4:{~2FmXY-zzĽ^f=]uū{/+&c:Ma{ĝDp2m܍kHș/(--m_vݮK(V{R}.k&yƴ7i^4@3f sK3^Ř˸B=]?gt5KbZB<e;kQLpxuWC}n 5ҴepB##~q= `x]KWF {GfŲ}?G.I9pjWkU]>={7q{kO/^I3==f1ɏ%nnʫ/Zu_yXN<57ۍ'vy/"8넭M2eԷ&Y,в33%IkjMr7xf nmQkX4踼>a-GcIeތw&U=-:qnW)z¥j :WqSZvԒ#j"KrIU)%qrmRoDGQ~SYRsu*V)  ,/x)MFD6O#]z 96[Ui(JRfw'y$GeUީkdMF-ݻ98F2d[o{Rn0n-xsV6Dh|Eb2E:KCOӪv4SJCr"J!!m,hRLD| ZYFm/X~ΧfrN&4Ƒ=Z9Mh.Mܵw/BdrܥniŪ8ɧ|y%œ[M=_tj?F!z5\evM:\ ~F-sg钬OWq“iiȍ<Gi%%n2rqͻllƑ)okw7}\Uk-:&fj솘XerV9yZuʼşdFC=rmo%~ZN78X(N)_7.Εn1MpJ}62jjJdI";R5&iLԸc:jmqiQj$ujp\{;v5B񥍪Xn Ą4qOERjzN(Ga٠䌡)p*v(J7#ZۻZ8O W uONb+^Qipv9GvֽƼϯrYƖKGJQDNPhRJjᡧC"21"9ѓS1;R_O7/WGz)8fE%F2ukmvSov/iZ&/]~KmI[:^~ͤ\kMi稜\ywJt3W7 8Ʒ~ݥeFgѼw"8VVSج\뻆}ݭ/J6Q)d|)zU3>k\L=;ow֯gN3pKѫ|wmkZ$z^2R:E)f>ς нd|#׆?\ǔpV{;\$ƵE%-ͪm0S6[n< kE[}mvE4DDZ^$OZ0*$~XUv҅B@^?]so#%ojw;Y#SxxueBگy v^i-)s)zV jC{7Gt.w3v,ygg8s]aE_,*E tY5k٨h=o"m泏:\6w噓aiL׎n^c\75AGkЯ0Lf46َ`egZ˓p/k;̛]kq!ݸzpԭG"}R9Ve>ˏHUjJ-&7nrnwG*Xv\˱/vN}O)ʼn&CV͍f̵]r\PMB-6Du-#RͰtRN^)mT _}nSȕC*_xBuTkJW[`ɩ`ejvsngP ڻ.-WUtܑqԹQj)t;vN&RNũT+8%IXӃ5fK՛-d9 ]CƑm|nZ-6=Hz,*aEm W3VzRšdY~Xf׀Xx"]s;)5u*ُHB BRGS6bݶؿ 9j[1*jױga7oX CUI%0v#~\-O-Ꙛuɷ쏪&5mY٦M`LJ2qK~HZbr =N'YobI. (^ ׾{_ ?OJ`S`3BN[}5w6:ǵ/iSlt=4F*d&T4y/#. ɵim5Uֲf 眕6Y7 fơ=3dϕq뚩$qTM-%r!$@A? ޾V0c~{[{;򥧅a~ڵ»&ڄv1ek=wb MLkNAԬw-x>~/r=e73VeVN)K%Sښe"+3uXuچrn ֺVzscJ峻m}vb㶓n\YbIUBT%*,0nov=;z꣓S/nSXSpl##k9mXGrZv^Gde!ŷRԠzQyjC]`gToPov{j~KRBMY}i[߶9KL2ԉO0K#m>wB[ٍ+n[[b٦DX ݲpo] [\m5qdT()mo4Oy9Ie b][wղmM~vmi۱~t \}$яimRk(L c Cvk7r9_r1 ;zv|F@KyZ[&jEji/"6$69ml#e]9s\{ScL}Ȣؿ0q/nZ*t,CLoD߉Njǚy=Pgmu6^]l-["çUʖMlʍp-"qmU>۷uFOJ%Ǔkx 'g=睋k[3u,{³WɘݪF]ՍeFX"Oy\,cچ=w/gn Ļ]#2? vqy-gXnR.^}ݺFs{ŝG]}e|#0mjx"ƬWكm?rgU^xVB":Dt>@LRbun~ݭ,w+v⪕;\U(RYa61>#Jm˞Μ9g9XKaG='u8gf}'qy#ɉw J]We.ʲ-<+&q%s?2dњztҼn`cΤmmqMdz O[-ߩӲ&;[tmܝVnr">{x<8U+p:Ig]zjGkt,uzf}dؠoJaکqEq -(:d<պ=eKy[˗^%ZXkX[C2߱\ITTLGzANM￵i]K>UsOGDDD.ZF6* ҃V Zhz{'xp^`wo8r0h ZmJ5"jb[l=yUu7-;7IT%:jFjߖm0tzU'K)څNۧYJ)4IQ}^KWm7kSP>q;ނ#)'n7&׊r?óM{IwR\j2Qn[v pe#/tAF\ϵ225q֒om6z})6҅*oqDsMf CNIN=T S2t,_ѧ}kveMF0J\Rnnݙܹy[rUc-j{yGtkQ%s]5qB.Nw.JN1LvR Ui5J ZESQԙr):MJ+g}χ!2;q([jAud][ljVK3$ײSJI=/|&tl'*n۽f.frܥ jQO8>&Z];.|7T/C}$ڋUmP2Reҭ8hFF\L 3~e v\۫]ݝNmrnB%*]Z«hKc=BTLG :V74$=Ǘy+EX'4tn(I:Ѝ;Df8c,k1%dJ6.j6ź{N~l6&*fœI7 WAlGOu-ҢH,,(ǔe뿋쩨kM܍ZſgRvQ' 9)?n|er˭|I|-fGK.rΛp8XV1%K6mvG+tc+qE&ǸC_Nm:l=_/m5^[dߌڇ.c<%:)tQ$Ow~-aY;UJ>=F)2[nk؆?훐M=l6[4(O.]2#-H^n#->&mp5~Fӛ+|| S,xag%qkEUzUgæBhߕP(7]kFnq?֖CpruZ6*rEڊtS|*tI*E}7R<,nUU֫^I7Q*mSly%rdȓd8hE<9oHhMfNSRj[i7D[Rj݊+kდq{"$$H?p\̅S?㭻;t~R߁)^/>Qj`yt[w ԛ;²~+ߔ_ YW~|o]?x^ᯛ `ʼn;g)T@vWn]>&4lp+$D̢1l|ȨF%-}.9[}w~ ԠLM9hСablfe&QoW!s?wjLK?s7yO>(=C~_nyǜu?v3vyo oI@qV-jeES^[9WoSܝh"l2C1a͔CiJ@3:Pճw=/7ovuk+\V;lDgն<[A+rX~d;m!_s8ݖ׷;;.0llUC+?i#_crʙ1~C.\–q ul8Hܶ2m`ܻM3Tov|Bs rɵ"oLS- DКw=Tv@f'6|YlD͓Y%׵-#Ѯo%:&!3o%\J<02;K87>^vgƓ# ;ݝmz^Y6=PS39U%~ &f# }o!muH;ʲŇ˷yvP+&.7e[3'vR4Yj̗IZ`e˽3o[WU{ m[sUbۋZǾۆl6~9'V*.\S2<Sd*zY[aŶ`]C$n.v^Ʌ dng>ەZ,Mmϑ :n6nϦezWqUJ4! ۇ4R! =>>Fn|Q[{pRO17ƕ~._I''00k=b՛o}Osðc2'o\3}ݭQ^2 . R1yKȣtAݿ-uܾw!`?1Whn|gzUo[ECWwjUIן)^h#1ɭ!/Z np;o;ΗŻkXs."6E`Z1 עӐ9Kl8qd q} 2Stt;#j>;խabONŗ=fwP1j)l6J̶|gV2`y/0E˛6+ԫ1? 6}KW c\KoKͨ2ۅFw–s*TԞLיuDx .kCzWXhy۶gLu|%TnupǺl-S* PRaLnT+c+*xl.v!.U=|; !_L̎뱚U=4hm:ٯ"y)$:>%(n}X'p[ȴ ^˒4kƓmzDx \ 'NqamP7nyN݅=j7%McSڵj%STy qXymvCg{w/w=wSW5r̹u erծˊsOm=DhEҚRb#n)QOxtվQwe]I}wCa'"[ۂ-z}2UuKP$㜉ԧ:mc<Ý>RoL?wu|%ҷ&K y_!y9 ??:tq3(UU-lkS'ɸ@jdzQˬR] EVPW1DJq2n:,c|ǻ̑;y{X,ۂ.u.b˕u.tKBjQ"[S園S`ٮdNبeJ&9Ơ ~0a(Vm٘L+Jr*vڑE( x0+tp˕ n';wm-ޜMOxX>{#2%jgb2M[`K*\5@8l'e=0u+w ֘鳾{y܀:R*Ya]"Ӧ%ktynlۣ65,3gU}{GYrb;ge'TKwǘ.,rpܚV]Tr,!dp /ԺU,xՉ>s׽~W5oTh yx?xrrx?)?ilbT׬,z$Ԏ.UH٠\U1pU:]JwSrGZq8àd驐,N67QYBӢD㏙W!Q25ϸo9ms-7-%3CihO.J鯽-;MZM8ku-7k9S$8]q2E(}bۏI[DKOK}3KUB^u %Y,u.-&f#]'܆o$x`Yu,dzwM;#oKxn;\[d7}Rb+*Y䛂ZuBӱl{j0O̓}LhK;[aֶaGL{Cb#S.T[>߃F]NK"u^LUʐ_ykW?!GRj29͖qa'0[npcDvV)qz9R)PۨM^aJx W] r>];eN3vxdmĘ(5W2K1䪖weF{mE/QP6\u54x5[hۮ-Nk”i[lUgL]J}5 S:EhiUrgHl!ŒJ$pe=q^b͵Q' ?6|R\,JA ڵ"TDꈭ:ymg`B5t%M] <N_zv2_Ortٵ/i/ReӮ*7[qүqEG* m"[I:6e^p"I$jԴęh!m)]GZkcjS!{e^z}+Cѥ9;R|/ֱeiUԏCNu2Zhcٗg$ݭwvr P8*7/Lk~I'Km1+MW%Bk|oOm>-#qj*|Dbѱkn|n{v#jĮqNpMIUm(7Liz;{ҜݞڝVƚVϬ+sO!OstGvxӉ']uӎ4g_ 1^-8ۦ k!)Ύ5O;YSB#2Zzχ;<.ֵOtge~.(RC#wFZeGZٸ6FFJ4e2ˇpJT$[wgV)q6muDGJ56q\I!̗ y/I~RtJ9kJ]Iy*'FN0s.[l!fw'y(7$œ WƫgyΙdMEU JQJv̋vmrۖ.jWR_M֨djYgSj0^\y'EoECjm$ IƩK>Z28J2TiJ2N#}.s cArl嫶nB.FIJ.)۔\ZiM>/hLĸ=C1s[?YMqp|94- 鮝𦔽/k^#NT(Y LS$6˩}{;5 )B۷W$qpN)qqoot}ZDVә;7TiK|6f3h$dԄ}fqݡ>Nb򗉉+ͶO]>ߡ_VtYf79ڰիF sq~prս|QM)g%l0ocJȨHz V;Bb/kLAcfPJ,ԭ{ƍgpjNR6VSI*$!yV足jᇑ.](EܣqM\qJ2eZT).<9UB/(B0j)mtKEj#׿fDI-=rZړj|'Nڤ]k*i$5qt"ݙPM6E4ke^Z8ۏhz$Q(R Ay2zfRñnpnkbkI:=j &ΝșW?׵d{+ύM'??XqeeĽ.[o=UxFS=ӷdZwenՄ]_X=ĭVa* pKs0ބۍfJ3 gz̚i|wnxtjc¼5${(1fXQ65ȼb̶Zkn>%FQMJXӡ{TZEVNᖣimT/37cNJUPnP҂ZOE~"-Rc4^b- FEͧtf5[)S!OZIښݲ͑;tvܡ+N)AR=hCNn;wL16-:特7M$=Tҕ-.R[HٷnXk sn[ҞD-0WS9p9:-Ϸ-jѬNu{ҹfv)[Ľvwfg(ٷfe+0mYj8Q1\ݧg]Eǎvڿc!4#j5̋C2"}BRriFp7=ô\TZ:\BLfj#I22װ<;صZl j 6:l"6]۸ K'6RTѯ^ئOԓV\?$x7s#r:Oh{ց=MmuHԷd{pN /܅:UE#Yy+(SgQ(Щ)RHzw>^Ѿݻ>mK&^ '$Jۻ&w%F|xfz%˳ L~3N?Cy9 v w/{ƿ kz3x> sXv}vP"@WyC z`'톽Dw%-tt yVY\wmuPYQA0iG-2JP,6/gˢ]u.-n!Zw.N7Q]Df}Q0({a\@=i_X7gFǘ8^⻲}G MZ1)WEfO12G+=-B@z\`||w6ċj߬m}UwRox֢I &c~XGP6Qndpvܻul'V7^FJt^{b^B(L~sѣ6@߿^xqU!ڙ5|Vpvef-uӥ^3  FSDɯKD%0r}FF穛r7 +o"V8tv̖NQU!5uFd"bCr^bJ=֤fM#ʳԷP0O-9xRBm\=`r-:;~3Tl(nXtXi%2Vٛ#vwqƴ`L@"H‹qW.j,JM5B[)WܺUeZFqc'V˷1W7V̾-MHФwn8N;HPSdݷC7&2j.W\τGŎ'Vb]c.x+Rx1%C2T{myg[qU|+m:M:շ8҉yWd)ՋWS%%:iqlʹmGwݹ WnNŤѩ5(9hTٵDdGUi-)vSs2 2{OnT$Xck n:¶(lASLeȔBjμPpTb2~N2~%^k[ܗ[Jzs0ӓHBKq[}JَA-$dFQgjxxFv4r/x*Rm% `4J(&iv7SkԲmSH1YWmx 8n.k']:Z˭_W >ڃXЩ. jTq%Aā[E}amc]D:rmHRiu:uӚӢ\p(5-q%e)(۬ҖȽIf<߽pr&ݫVfY91q2ĭEQgYbTGQ&,yL+N$[q*RVۉQ=FuTܻ>f>f㋳8N6$܌n)9&»iˤsX,݅܍ȩv+sRTpO}d?Wn/Inpȸ%O]StQO|v5\}7Zwb.AIVK^:wb{[uݯcytO߶S<{8KSRׁH̏N7ۚ[xkwYy_'ZӵF+>쌛ZUĦreE9F[24De{}@:ExWs-\ǻ7K-\JNvEk%:s˙#κ].oͳ;լ7wB6nwu:$L; DkI#Wz.:Xp(˅v$Sq,wn\qIN-e<5Oe+vuYTpcojUI_ާP8 O 7&VL8z$_B-H-[uh]T{|8=qVRN-:Ij:7PUtXϷmy鉿:RIM~33ӸS2#׳GdŲ5+/Bx{(WzȨ5Y㞎#|˖+ ط.|e<o/rߔX>7s}VE.OVti׽ .5nNJO"95{#q}Ay9do]R"M6z\tnNS-D!@3N_jicWsy*5uٮRcWv/.,j}=S)j5C^> Ie =gu9ӛqjtz]۪TMoߧI!Ǧ¶m:,"[L!{qAv-o 3{"KʼnrIkfٶj2ƙ؄S`7` k6jzޞ?e5G&6uʷ2%ԒRKE*G\Npom F/V |C0.q_eenƣ<5Oh'67ɪn[SĽ{ڔjǘzs;~׌(ۂ`ܢ1ƣ` _l9Va6%UQWh~P~\F^ZHR@:ۧCJ{ôGeBh;~ۧnU J\O+n2 RҠ)ng}Kh{5+S×ܛ.1ZjG)iRȤIN 4%{oΜ/eO[Nffd ĹK?nnԼMqX'܌nZvq<ķbFnͪaQ`5 s,M_լ?-@_{w{ӺձJ}GF[%v\5[ŒGkOw/ΜM9rjË%2+rd~+󲕛C9U۳r[aJǭm|˒LAʨSCq[XMۺoubfp:t+ΤĻo ][ zt-*67kvS7D·MMCQXm;)܎n_h%]4ܙnRk!]ڵsDUF"`R, &#R_*[z*ZqFXɻ]7|۵w+'pFDەs=r./ᐚm3Hשy yD"jHCr':sA65نѮ^o1V/ f;nFr3VM)e*- s D'H݅fӧ\*޷[k<7u<-]֍Q8R h|p=WlW3s%Q %3l}@U-K6f-NϿu|ڴmWN׮[׸F*mW\%r! C78:޳vBG7ŵ.JթԚ2x)ST!řn~9 W:Wpܢ件{xf8ٳwKE ҰWxVB\qBZ 2wMb[lGSnyԚ~z9ZmያvoN2Afnݽjf>)j3 !;gOYʹK" Wftڎ+׭b*2ϻK>ۢӱeyԪXISUm[z+ugX%0lϏnvg!;t{BqPj>PyvR7Cj]O%+ݲ :qiMj6W}3vC/R=4Som]ŗ=ю, TF6U_-\6MyskwMr&Q\wjKܩyMϣUj0*}RZܷSdY3>Zjqj6TgzpA/M`/Cmл,޻feE[/+uk^Vs1W$G(JsW2ٰu*߻q*Y޵.Wi:ur5T),=0uRmho.twܖiYwrWHntvEj8qhf`Ͻpf(R&>Ki%I7$QӖm-2 ~yߗQ-앑/ x[k8nw.c㩵k}]FkbJl:{.(˩n0Hqvαp7 귎.Gupx[N`Yq'+ruU7[ү+>!xrȫoSo]OC# d^Q]\>!ƛGw^Mx"-+%vdX-:M2UR%d>%l ioSu6lsj7D P>XxHz Ukà(n^Q V>5cVtWj SEiJdznyej[lE' 3kuٌNn4JW)gB {4 j6&]' m-(ZMEz8cz>WZ6#7+[,MR-Z!4ܓtCyE|umj1ƽvƷV\;%>Q :#Le(iVz5 4ũۤUWxX ^(ҔsլB2w-V ^R+; ˂M\z+Uwr+RWY⺧~ Q*JcYSNSλUd8in=v K낫k\IRרSUaCFmϿ5̗P|u ZTԕ}>oYѲ1sfP+sQkX8Gb~6r,s>^\,mGL+7[n-E\.Fqḕcl*Jmjb5 ,m]c}NXfeVlǸJ5eˡ$4%g~N p4Y*WwW٧<8v#;qԩTut,m"#Y D\5V`\\Lȋ];LȇiS6ϝZ l>LruR\v=ǘϔDg=ԈdFZ+M{=|,[;0>RiSi4,S5}yxw&(E7&fݙ4UՕ! ~'Id)]ǽu2K-fޭ \08Vڅ쓬=Vy^^ IhyKR-B#Ըr=]mܻӾ'*Umkoy rTqT_i,/8Q^<ݤ|4ԻO(܄"'5N~#m.(Ҿ2i6Uev&I*<}҄$eNtÛzyWJubW^iBW.܅Wڮg]irO6Ve90sgv.+sV޿aޔ[p?3q*FutUo*eL\KM'EG*ZcAFfG5J 5jj=MJ3OK:k˝'NMB7m3uFҕ\-Ywg%PRqMIyZGY9|μvn߻5cWݷa^+X֥vnݘ\v7m>Fgzv"-;Ew֝}1|RjN𿊀7g#֟*GQQ|#/bo]p$>_Un9гUbn9׃ErQBU-^vDmVh'<R[fdHT]*~}3j;nvjc7s-rӳ Y8[n[1pJx kX[Jk9Mn!_Nю6x:iZ˦U |߉^Ԛ݃hYxk &U^bwKk.[jE+P(˞=9j@snCv7%c_7=xǁ<l {t'酚+1F‹l׭:ݻILruǶkL-L(K0L1&>wXB(pm;1fpnlp֓%Skidkt(U +xulo'/ڕeN r=^pZZ:Pnj8Hf"48ijY[ N[yZٻ+=  ø:3 ?^ܷ^Sr#YK[UF?CuhC b]GM')mڏsNrܗI]ljq6VB. W,UK"YX5{c >Iqā> T:n!,5l2VzCl|+I[*SrjnS6٨y+x,@>П.g+!rn9>N|W>OZT_ut Y""v7|sfި;Pclm EùN,{'fNT%U&LfH8~1v>Il}统u6P˗c(WV~H^bMU.o*oOF0N:_:6Smr_.b+|ݶYY غF,mwjv>f*>QM뭱Sd:`N{l/⎱;n-z~"Gze퇎J5S KG9!Gn;N1 ݎ h6m|S?ɂ5'WOÞ 7|7^ao @mxGmi^jϽ>01Mf0լD3-2T. VXR"ɥV Kl J O7|u?bvа;6.eߓ|[1bmRr,eRz`z 6܎-ͨku͹Fː dPhYgZUj}nvX;z=gVեTv_J }\1n7w2J?ޘγc\E 1Aޑzq;\r]]\Y&[nsNei\uURje*Qk2CSl*xJz-xٶlm+|UjUؓ`Ladqiĩ!Gd\W~fz;Tn*PdRM&T4`չSWq5k훶(N"Ӎ% V]֦wb.nUO!u*J&Oӕ2e|Z=eV쫚΅g#+/RW:طnbi*Wyo)p{:ETKؚR(RY+r웓r(IF) VmȵNB:h Q1ғ|u8E]{,'$-TR[j49l*3"I鯴zhd>Q+\BkNF=.$ZR4Nwհ(IpNi.(Gi33#33e$FXK*NdWrud[r{xnk$v2ıh+J1TQ[#JQl[tRO]LHKٮ NӍnF񨔤֞Em'MILB"ԋ%dBŋ+p̿_17jzT~4pc Vo\ƹb9Rq-'1j;8ܗ)hE%DZKS<璸Bu*%*Yw5ڻ9ۣ^z4U; Ñk\U(o~G?VUĎ:?P?_F_Kߤ~ᓾI |pr.Ok\SklRhҪz{­P .}SktZ7UQ4ڌIM8̈eaӊJZ%FFZu,KZvln廐SNFIVtuNi?CM5]+Ph,{jN JSR$IS^tSUVrORYu.9WyP6 [Kiu m!X|]Y79ӄ)\ģ)pbڳr%*&ꑶ_-H*dzk)1 V3')UAϹٶWRxe'պn۫h7AR9 EAJeGLms!%D| A 5]/Q3eb̄vnVn%za\m kZnv([emqrIҕij|""><hjJשvvǕ|Pޟs}V~2&Z?+2N&Z4w@)4iSڪ_>/JN9Hiۏuf8'It[ȲR.hZ$ȋ_Y ~U<UUO*6b)Ovzڜj\R̋.$FsQuҊj^נ䈈y<zZIuP[}Qm=C?zN(Exqu/kn S-FzKZzOסӽjJ\)F3b!r5ٝ|;6 o=-3*λ]αb\abqRi-w޵⦪~b8Kpo)Z=>)ғ"5/GTZLE-輵f7ݘ۹~+&+w/7GFI:l33fg.N~۲\2|*cnermnnM+Fq"ѪIz%j =YW8@~gc/~?N'?)«qȸs➟n=k" X“m֮VreMh2[uݖ] *FܖN)MȐ`f0 g,C9̑o;ddudJ=In13:ݒvvdMUEJLp^,6t-@͐9'{7m{-3,>hnF;ѰM)->>+Ěz!R* :`e--m7nB\u{b U>[8֪]6^ߤLʦ\DFNo$$dͶlgno8OrsQ\l̯hRo8tuNo+ CTxu!2[>ctFpeޓƻֶR"3QrQuOѳgwQr;S~)6HhZw/GgVTmUf_yt7%$];zLWF̰xy2Ʉu!MCmš_0[W6jf#a-KLi+3Q7c^qg%s<1aYIQeZf+}>;S6L0]Yu_h9߻<ƅpmiM$AVvŚ,*#t2.8Y)-Zhshü97/#Oro"u^/uFgWɺ,p:6a,^x%$Yve^3PƗMnTP&yS}OJ '덫MH^:rXԴJۋ/rI;S*,+yz1hv)Qw^ڍJ2oL׊q(\fDj:^T%vOadɂnS}ZO)N*λdaȜkG_PIEO}нa(^iQX᯦-7^)%g'SJx(.S9zVɴZ{E ))ۅi/s7 VIV-|sj0*UBTHIqRf>FP$KqN0 R̻8j\GcC}IUz\i 6F)Q{Gҧ3qSzKj-Az VЛS-zy:8*mNk|D鿓ND2u+0Yŝ7kqm·?8Ib]u>˗^_>(]vӋzv+ݩ){vZrJ2RQ몋C$z [,pp,8mڊbR]Il .f~d/ݓs㓓mͶ{mgjQwn=Oic9ܚm4Q/6ݨ[TƧ?nԶoytf{@AzT{e{[O'ZRZt~AGD?s3􌿂ՉIw'|~U\ w~di:Kޱ)U/sU%njѩ&GSP^ǝd)..!^U` 1wX[aԇSxoFV6_扐)T 2Mfd=ۖͭiZ7KK Bi9%7@<3<ճԻU,},a}FRqɛr i@ONJvK KLN M, ʖv0n-]DwlI-X6ܶ$Jʴh5O+mOI+Ra瞠\ MG7BفjYo1#͖0V`Ѱ2M?c8>-Crt*JkIGS:e#hPKx[鱼>{5m;wcն&>j-M֥^َ) 6yȜl_w{-ō̱r> U=]iw3)r*]:K]6BdCTZ|>gf}LW}[$'Y5 &c -j.z6R 67MԷFMnÌwI7w5E}o޽+K ֵy4܌ȥW"COyR[q5Ӱ͙f[v"_#q{MV6܍3"u9BK(41ӯqˇc${ߝCi6I(OmθzҜ5k^:>Jzw.>qV8{vU[ڶEm|DžBz].KHjI]x;Mɗ{m,qZXr忇2u^RO2Z}ZێS[2Jen!*NDcrBUً4<ǼMҲs1Zw57c3&ĖڻzmP*FuJG1-dN:|OU}ҵgi2t~F^^Z.VxjvŧnNNh<:]^~NN+ge^g.SԔGFe߯'[vn'(ScJ]kܗ7eJOlRrfziݮq̋S"\*U<*W]k$FջV}? 7g#֟*GQQ|#/bo]p$>_Un9;l S VvQU%OLU{οmU6bZ1MTx%!֙Q7, J=!3 ;Q,ڌ;6ͱ݅q^&ߔ·n #WbwӖX.HtG)N&d̵zpI,n cu ޖUj+VXUp[w]N o.J6Z8Ts&utxln;~HPHS/xw`G\ʡ¿rj Z^vt"[L:SD\h0sUwR,}[x^X,R2Vn< ]2YDr[SRKs8tXb̷G?Ps Tv 3be,zVz D[/I.KOEQrm'$7|[J>r S`5յwT#\w1FTz\Ԛ &"ׅhSHrD\'r]~/>p;:Piuu:"9ő=tTaS7V2rӷk7mb[^WmPp*[y.Þ6f]cizJCgRR@UVl큝.WJP1N{/\whZ ػϧӱE7|E֫Sί.x-Y&pi%v''-x6r'Ws*6=DwwUu]=C?MK [yrtܒG$!WGqJ*%SAz ED[^)/tė/g=#Omd.|^n/sl׉g DZqemqowݮRzUܜ=ڽ-o/Iۖ;qVʘgPp|mm;6zGl9.8pwWgsJ2qPbe}}UpNjٯ}7TMQKrؽtEx%v w߾8%|j;~|}pK]ơ/ w߾8%|j;~|}pK]ơ/ w&~e_H 8PL7:%ʭ5Kw&U2vwR_+rm'}C7#rWoO&HoG?M$UR7{FU]u ;# !Wk`|W>׹潇9Vn)6)*ҹ{%qV4q>W1vi#T"Qk&GwxcJBJ- Ϸ^ˁxkU}ԣ/3.;]J=<*)cS)ROK9H=,r zX @)cS)Da^ԽQ gxJI=w֣gf*TRj

*Corresponding author (wmsohn@gnu.ac.kr)
• Received: March 20, 2018   • Revised: August 16, 2018   • Accepted: September 2, 2018

Copyright © 2018 by The Korean Society for Parasitology and Tropical Medicine

This is an Open Access article distributed under the terms of the Creative Commons Attribution Non-Commercial License (http://creativecommons.org/licenses/by-nc/4.0) which permits unrestricted non-commercial use, distribution, and reproduction in any medium, provided the original work is properly cited.

  • 9,351 Views
  • 156 Download
  • 6 Web of Science
  • 10 Crossref
  • 8 Scopus
prev next
  • We described here the morphological characteristics for the species identification and fish hosts of Isoparorchis sp. (Digenea: Isoparorchiidae) in the Republic of Korea (Korea). Total 1,371 freshwater fishes collected in Yangcheon (Stream) in Sancheong-gun, Gyeongsangnam-do were examined by the artificial digestion methods to survey the infection status of digenetic trematode metacercariae for 4 years (2013–2016). Adult and larval worms of Isoparorchis sp. were detected in 38 (8.4%) out of 451 fish in 4 species, i.e., Pungtungia herzi, Acheilognathus koreensis, Squalidus japonicus coreanus and Odontobutis platycephala, examined. The infection density was 1.1 worm per fish infected. They were mainly found in the subcutaneous tissues and abdominal cavities. Nodules with worms in the subcutaneous tissues were revealed as the blue ink-colored bulges. Adults leaf-like, 21.6×9.84 mm in average size. The ratio of body length to body width was 2.20: 1. Oral sucker subterminal, 1.03×1.22 mm. Pharynx muscular, 0.55×0.54 mm. Esophagus very short. Ceca convoluted, terminated near the posterior end. Ventral sucker anterior 1/3.75, 1.99×2.10 mm. The ratio of ventral sucker to oral sucker was 1.74: 1. Testes round to elliptical, both sides of ventral sucker, 1.43×1.33 mm. Vitellaria highly dendritic, posterior 1/3 level. Eggs operculated, embryonated, 52×32 μm in size. By the present study, 4 fish species aforementioned are to be listed as the fish hosts of Isoparorchis sp. in Korea and additionally the morphological characteristics are to be described for the species identification.
Isoparorchis sp. (Digenea: Isoparorchiidae) is a fish fluke, which is associated with the ink spot disease in variety of fish hosts [1,2]. This fluke species has been reported in several Asian countries, i.e., Japan, China, the Republic of Korea (Korea), Vietnam, Indonesia, Bangladesh, Pakistan and India, and Australia and Russia [313]. Especially in Japan, Nagasawa et al. [14] reported 7 fish species, i.e., Anguilla japonica, Silurus asotus, Acanthogobius flavimanus, Candidia temminckii, Pungtungia herzi, Rhinogobius fluviatilis, and Rhinogobius sp., from western Japan as the fish hosts of I. hypselobagri. Additionally they reviewed the literatures published in 1915–2013 on the host-parasite relationships of I. hypselobagri infecting Japanese freshwater fishes. As the fish hosts of I. hypselobagri, total 26 fish species in 10 families were thus listed in Japan [14]. In Korea, only Chu et al. [6] detected I. hypselobagri from a snake head, Channa argus. Recently, Shimazu et al. [18] analyzed lots of Isoparorchis spp. samples from various countries with morphological and molecular data, and they made the differential key for the identification of 4 valid species, i.e., I. hypselobagri, I. trisimilitubis, I. eurytremum and I. tandani., and an undetermined species, Isoparorchis sp. 3. Therefore, we intended to describe here the morphological characteristics for the specis identification of Isoparorchis sp. detected in some species of fish from Yancheon (a branch stream of Gyeonghogang) in Sancheong-gun, Gyeongsangnam-do, Korea.
The fish collection site in Yangcheon is located in Saengbiryang-myeon, Sancheong-gun (Latitude: 35.36020; Longitude: 128.05824), Gyeongsangnam-do, Korea. Total 1,371 freshwater fish in 23 species (No. of fish), i.e., Pungtungia herzi (280), Acheilognathus majusculus (157), Zacco koreanus (154), Zacco platypus (152), Acheilognathus koreensis (91), Hemibarbus longirostris (70), Squalidus japonicus coreanus (62), Zacco temminckii (62), Coreoperca herzi (61), Squalidus chankaensis (51), Carassius auratus (43), Pseudogobio esocinus (39), Acheilognathus rhombeus (28), Acheilognathus yamatsutae (27), Sarcocheilichthys variegatus (23), Acanthorhodeus gracilis (20), Acanthorhodeus macropterus (19), Odontobutis platycephala (18), Channa argus (6), Sarcocheilichthys nigripinnis morii (3), Liobagrus mediadiposalis (3), Siniperca scherzeri (1), Micropterus salmoides (1), were examined for 4 years (2013–2016).
All collected fishes were transferred to the laboratory of the Department of Parasitology and Tropical Medicine, Gyeongsang National University College of Medicine, Jinju, Korea. After the identification of fish species, they were individually digested with artificial gastric juice to detect the metacercariae of digenetic trematodes. Worms of Isoparorchis sp. were found in the characteristic ink spot lesions of fish and sometimes were detected in the sediment of digested fish meat (Fig. 1).
For the light microscopic observation, recovered flukes were fixed with 10% neutral buffered formalin under the slight pressure of cover glass. After washing with distilled water, the specimens were stained with Semichon’s acetocarmine, followed by dehydration with graded ethanol series (70%, 80%, 90%, 95% and absolute), and cleared with carbol-xylol and xylene. The specimens mounted with Canada balsam were observed under a light microscope with a micrometer (OSM-4, Olympus Co., Tokyo, Japan). Some worms were washed with 0.2 M cacodylate buffer (pH 7.2) and fixed with 2.5% glutaraldehyde for scanning electron microscopy (SEM). They were washed, dehydrated, dried, and mounted on aluminum stubs, followed by coating with gold using a JFC-1100E ion sputtering device (Jeol, Tokyo, Japan). The mounted specimens were observed using a XL-30S scanning electron microscope (Philips, Amsterdam, Netherlands) at an accelerating voltage of 15 kV.
The worms of Isoparorchis sp. were detected in 38 (8.4%) out of 451 fish in 4 species, i.e., P. herzi, S. japonicus coreanus, A. koreensis and O. platycephala, and their average density was 1.1 per fish infected. The infection status by the fish species was detailedly shown in Table 1.
Juvenile worms (n=7) (Fig. 2A, B): Body somewhat slender, 2.625–9.625 mm (6.639 in average) long and 1.125–4.425 (2.707) mm wide, with the attenuated forebody and the broad-elliptical hindbody, the ratio of body length to body width 2.45: 1 in average. Forebody tapering anteriorly, 0.95–2.575 (1.926) mm long, occupying 26.8–36.2 (29.0)% of body length, and hindbody almost elliptical. Oral sucker subterminal, 0.3–0.7 (0.534)×0.34–0.8 (0.607) mm. Pharynx muscular, 0.17–0.36 (0.28)×0.17–0.36 (0.283) mm. Esophagus very short, 0.07–0.25 (0.14) mm long. Intestinal ceca convoluted about 5–6 times and terminated nearly in the posterior end. Ventral sucker larger than the oral sucker, 0.56–1.25 (0.949)×0.58–1.23 (0.94) mm; the sucker width ratio 1: 1.26–1.71 (1.55). Testes round or slightly elliptical, right testis 0.45–0.64 (0.563)×0.4–0.5 (0.447) mm, left one 0.45–0.8 (0.573)×0.5–0.65 (0.573) mm, smaller than the ventral sucker, in each side of the ventral sucker. Vitellaria highly dendritic, between the last convolutions of ceca in the posteror body, observed in some specimen. Excretory pore in posterior end.
Adult worms (n=10) (Fig. 2C, D): Body very big, 14.7–27.5 (21.6 in average) mm long and 6.075–14.0 (9.835) mm wide, with the pointed forebody and the broad-elliptical hindbody, the ratio of body length to body width 2.20: 1 in average. Forebody tapering anteriorly, 3.15–6.25 (4.848) mm long, occupying 22.4% of body length, and hindbody almost elliptical, rarely pointed. Oral sucker subterminal, 0.875–1.425 (1.03)×1.05–1.625 (1.205) mm. Pharynx muscular, 0.45–0.725 (0.55)×0.45–0.75 (0.541) mm. Esophagus very short, 0.2–0.45 (0.253) mm long. Intestinal ceca convoluted about 5–6 times and terminated nearly in the posterior end. Ventral sucker larger than the oral sucker, 1.55–2.9 (1.985)×1.65–2.95 (2.095) mm, the sucker width ratio 1: 1.56–1.87 (1.74). Testes round or slightly elliptical, right testis 0.675–2.8 (1.445)×0.85–2.575 (1.4) mm, left one 0.875–2.325 (1.41)×0.7–2.2 (1.253) mm, smaller than the ventral sucker, in each side of the ventral sucker. Seminal vesicle anterodorsal to ventral sucker. Pars prostatica posterolateral to the sinus sac. Sinus sac elliptical, large, 2.25–4.5 (3.125) by 1.5–3.0 (2.05), occupying 44.6–78.6% (64.5%) of forebody length, anterior to or overlapping ventral sucker. Genital atrium elliptical, elongated, 1.875–4.55 (2.773) by 0.625–1.175 (0.89), occupying 75.8–98.2% (88.7%) of sinus sac length (Fig. 2E, F). Ovary dextral or sinistral. Seminal receptacle rudimental. Vitellaria highly dendritic, between the last convolutions of ceca in the posteror body. Uterus tubular, broadly occupied in the middle part of body from the just behind of the ventral sucker and testes to the anterior of vitellaria. Eggs oval, symmetrical, embryonated, 50–54 (52)×31–33 (32) μm (Fig. 2G). Excretory pore in the posterior end.
In the SEM study, adult worms were robust with a slight ventral concave and an attenuate anterior end, and they had 2 suckers and smooth body surface (Fig. 3A). The oral sucker was slightly smaller than the ventral sucker, and they were commonly muscular and covered with the cytoplasm of striated wrinkles, but they had no sensory papillae (Fig. 3B, C). Body surfaces in the ventral and dorsal side were commonly covered with the smooth cytoplasmic layer, but they had no tegumental spines (Fig. 3D, E).
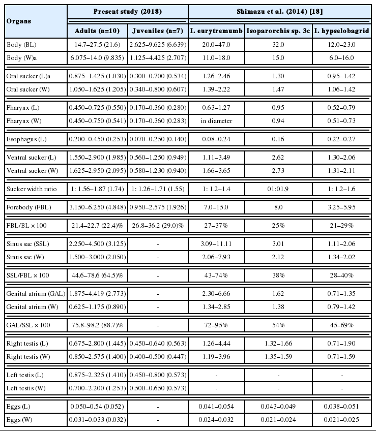
It has been known that members in the genus Isoparorchis (Digenea: Isoparorchiidae) are trematodes living in the air bladder of freshwater catfishes in Asia and Australia [1]. Since the first nomination of a new species, Distomum hypselobagri, by Billet [15], the generic name was emended as Isoparorchis by Southwell [16], and then 5 species, i.e., I. hypselobagri, I. trisimilitubis, I. eurytremum, I. tandani and I. pakistani, were described by some workers [8,9,1517]. The debate on the species validity has long been existed in the genus Isoparorchis and I. hypselobagri only used to be treated as the valid one. However, in Japan, Shimazu et al. [3] reviewed the morphological characteristics of 4 species, i.e., I. hypselobagri, I. trisimilitubis, I. eurytremum and I. tandani and they asserted that Japanese specimen is I. hypselobagri, of which the sinus organ is morphologically different those of other species. Shimazu et al. [18] performed a molecular and morphological study with the samples of Isoparorchis broadly collected to confirm their previous study [3] and revise the species validity of the genus. They molecularly defined that 4 out of 5 species, i.e., I. hypselobagri, I. trisimilitubis, I. eurytremum and I. tandani, are valid ones, and presented the identification key on the species of the genus Isoparorchis [18]. Our specimen is nearly identical with Isoparorchis sp. 3 from India and Bangladesh and possibly Pakistan as regards the sucker (width) ratio, 1:1.7–2.0, in the identification key of Shimazu et al. [18]. However, another morphological characters, the shape and size of sinus sac and genital atrium, are very similar with those of I. eurytremum from Japan and Russia [18] (Table 2). Strictly speaking, our specimen is far from the species in the identification key of Isoparorchis in Shimazu et al. [18]. The sucker width ratio is slightly overlapped with Isoparorchis sp. 3 and I. eurytremum, and the shape and size of sinus sac and genital atrium are nearly identical with those of I. eurytremum. Additionally, tegumental spines and sensory papillae were not observed in our specimen unlike in other trematode species in the SEM study of tegumental ultrastructures. According to the geographical distribution (Japan and Russia) and morphological similarity, our specimen is to be defined as I. eurytremum rather than I. hypselobagri previously described in Korea [6]. However, we will not nominate the species name of our Isoparorchis sp. samples until the molecular study is completely to be done with them.
The prevalence of Isoparorchis sp., 2.2–11.4% (8.4% in average), was not so high, and the intensity of infection, 1–2 worms (1.1 in average) per fish infected, was very low in this study. Chu et al. [6] detected only 2 juveniles in the muscle of snake head, C. argus, purchased in a local market of Seoul. In Japan, 70.0% of 10 C. argus with 3.1 worms in average intensity (from Lake Shinji in Shimane Prefecture), [19] and 3.2% of 2,061 Z. temmickii with 1.1 worms in average intensity (from the Shirazuna River in Nara Prefecture), were reported [20]. In case of the latter fish species, no worm was found in small sized fish, but prevalences were steadily increased by the increase of fish size. And the seasonal prevalence was also showed and it was most highly observed in early and midwinter (December and January) [20]. However, in this study, we did not check the seasonal prevalence in the most prevalent fish species, P. herzi.
Conclusively, by the present study, 4 fish species i.e., P. herzi, A. koreensis, S. japonicus coreanus and O. platycephala, are to be listed as the fish hosts of Isoparorchis sp., in Korea. Additionally, the morphological characteristics of larval and adult worms of this fluke are to be described with SEM findings for the species identification of Isoparorchis sp. from Korea. In Korea, only snake head, C. argus, has been known as a fish host of this trematode [6]. However, in Japan, total 26 fish species including C. argus have been listed in the fauna of this fluke [14]. Among 4 fish species, P. herzi was also reported in Japan, but remaining 3 ones were not included in the Japanese list.

CONFLICT OF INTEREST

The authors declare that they have no conflict of interest with this article.

We thank Jung-A Kim and Hee-ju Kim, Department of Parasitology and Tropical Medicine, Gyeongsang National University College of Medicine, Jinju, Korea, for her help in the collection of worms from fish hosts.
Fig. 1
Three striped shinner, Punctungia herzi, infected with Isoparorchis sp. (A). Isoparorchis sp. (arrow) found in subcutaneous tissue (B) and abdominal cavity (C) of fish.
kjp-56-5-501f1.jpg
Fig. 2
Larval (A) and juvenile (B) worms of Isoparorchis sp. recovered from P. herzi, (Semichon’s acetocarmine stained). The scale bar is 1.5 mm. Two adult worms of Isoparorchis sp. recovered from P. herzi (C) and S. japonicus coreanus (D) (Semichon’s acetocarmine stained). The scale bar is 7.5 mm. Anterior portions of adult worms ((E) magnified view of Fig. 2C; (F) that of a fresh worm unstained) with the oral (OS) and ventral suckers (VS), sinus sac (SS), genital atrium (GA) and 2 testes (LT: left testis; RT: right testis). The scale bar is 2.5 mm. An egg (G) of Isoparorchis sp. naturally discharged from an adult worm. The scale bar is 20 μm.
kjp-56-5-501f2.jpg
Fig. 3
SEM views of Isoparorchis sp. adults. Whole ventral view with a slight ventral concave, an attenuate anterior end, 2 suckers and smooth body surface (A). The oral (B) and ventral sucker (C) commonly muscular and covered with the cytoplasm of striated wrinkles without sensory papillae. Body surfaces in the ventral (D) and dorsal side (E) commonly covered with the smooth cytoplasmic layer without tegumental spines.
kjp-56-5-501f3.jpg
Table 1
Infection status with Isoparorchis sp. in freshwater fish from Yangcheon, a branch of Gyeonghogang (River), in Sancheong-gun, Gyeongsangnam-do, Korea
Table 1
Species of fish No. of fish examined No. (%) of fish infected No. of metacercariae detected
Total Range Average
Pungtungia herzi 280 32 (11.4) 35 1–2 1.1
Acheilognathus koreensis 91 2 (2.2) 2 - 1.0
Squalidus japonicus coreanus 62 3 (4.8) 3 - 1.0
Odontobutis platycephala 18 1 (7.7) 2 - 2.0
Total 451 38 (8.4) 42 1–2 1.1
Table 2
Comparative dimensionsa of Isoparorchis spp. from the present study and Shimazu et al. (2014) [18]
Table 2
Organs Present study (2018) Shimazu et al. (2014) [18]


Adults (n=10) Juveniles (n=7) I. eurytremumb Isoparorchis sp. 3c I. hypselobagrid
Body (BL) 14.7–27.5 (21.6) 2.625–9.625 (6.639) 20.0–47.0 32.0 12.0–23.0
Body (W)a 6.075–14.0 (9.835) 1.125–4.425 (2.707) 11.0–18.0 15.0 6.0–16.0

Oral sucker (L)a 0.875–1.425 (1.030) 0.300–0.700 (0.534) 1.26–2.46 1.30 0.95–1.42
Oral sucker (W) 1.050–1.625 (1.205) 0.340–0.800 (0.607) 1.39–2.22 1.47 1.06–1.42

Pharynx (L) 0.450–0.725 (0.550) 0.170–0.360 (0.280) 0.63–1.27 0.95 0.52–0.79
Pharynx (W) 0.450–0.750 (0.541) 0.170–0.360 (0.283) in diameter 0.94 0.51–0.73

Esophagus (L) 0.200–0.450 (0.253) 0.070–0.250 (0.140) 0.08–0.24 0.16 0.22–0.27

Ventral sucker (L) 1.550–2.900 (1.985) 0.560–1.250 (0.949) 1.11–3.49 2.62 1.30–2.06
Ventral sucker (W) 1.625–2.950 (2.095) 0.580–1.230 (0.940) 1.66–3.65 2.73 1.31–2.11

Sucker width ratio 1: 1.56–1.87 (1.74) 1: 1.26–1.71 (1.55) 1: 1.2–1.4 01:01.9 1: 1.2–1.6

Forebody (FBL) 3.150–6.250 (4.848) 0.950–2.575 (1.926) 7.0–15.0 8.0 3.25–5.95

FBL/BL × 100 21.4–22.7 (22.4)% 26.8–36.2 (29.0)% 27–37% 25% 21–29%

Sinus sac (SSL) 2.250–4.500 (3.125) - 3.09–11.11 3.01 1.11–2.06
Sinus sac (W) 1.500–3.000 (2.050) - 2.06–7.93 2.12 1.34–2.02

SSL/FBL × 100 44.6–78.6 (64.5)% - 43–74% 38% 28–40%

Genital atrium (GAL) 1.875–4.419 (2.773) - 2.30–6.66 1.62 0.71–1.35
Genital atrium (W) 0.625–1.175 (0.890) - 1.34–2.85 1.38 0.79–1.42

GAL/SSL × 100 75.8–98.2 (88.7)% - 72–95% 54% 45–69%

Right testis (L) 0.675–2.800 (1.445) 0.450–0.640 (0.563) 1.26–4.44 1.32–1.66 0.71–1.90
Right testis (W) 0.850–2.575 (1.400) 0.400–0.500 (0.447) 1.19–3.96 1.35–1.59 0.71–1.59

Left testis (L) 0.875–2.325 (1.410) 0.450–0.800 (0.573) - - -
Left testis (W) 0.700–2.200 (1.253) 0.500–0.650 (0.573) - - -

Eggs (L) 0.050–0.54 (0.052) - 0.041–0.054 0.043–0.049 0.038–0.051
Eggs (W) 0.031–0.033 (0.032) - 0.024–0.032 0.021–0.024 0.021–0.025

a(L): length; (W): width; unit in mm.

bTotal 10 adult specimens from Lake Biwa and Uji River in Japan,

c2 adults recovered in the air bladder of Wallgo attu from India and

d2 adult specimens found in the air bladder of Silurus asotus from northern Vietnam were measured respectively.

  • 1. Gibson DI. Family Isoparorchiidae Travassos, 1922. In Gibson DI, Jones A, Bray RA, editors. Keys to the Trematoda. 1:London, UK. CAB International and The Natural History Museum; 2002. p. 379-380.
  • 2. Dollfus RP. On a trematode (Genus: Isoparorchis) pathogenic agent of the “ink spot disease” in fish of Vietnam. BullA’ e la Soc de Path exotique 1959;52:791-803. (in French).
  • 3. Shimazu T, Urabe M, Grygier MJ. Digeneans (Trematoda) parasitic in freshwater fishes (Osteichthyes) of the Lake Biwa basin in Shiga Prefecture, central Honshu, Japan. Natl Mus Nat Sci 2011;43:1-105.
  • 4. Wu K. On the occurrence of Isoparorchis among fishes in China (Trematoda: Isoparorchidae). Peking Nat Hist Bull 1938;12:273-277.
  • 5. Li Y, Ye Q, Wang YH. The influence of Isoparorchis hypselobagri on its host, Pelteobagrus vachelli . Chin J Zool 2002;37:41-43. (In Chinese).
  • 6. Chu JP, Chu JK, Paek HG, Jung YH. Isoparorchis hypselobagri from a freshwater fish, Channa argus . New Medical J 1993;36:24-26. (in Korean).
  • 7. Moravec F, Sey O. Some trematodes of freshwater fishes from North Vietnam with a list of recorded endohelminths by fish hosts. Folia Parasitol (Praha) 1989;36:243-262.
  • 8. Bovien P. 1927. On Isoparorchis eurytremum (Kobayashi) from Java. Videnskabelige Meddelelser fra Dansk Naturhistorisk Forening i Kjøbenhavn 1927;84:281-289.
  • 9. Chandra KJ. Fish parasitological studies in Bangladesh: a review. J Agric Rural Dev 2006;4:9-18.
  • 10. Bilquees FM, Khatoon A. Fresh water fish trematodes of West Pakistan. Histological study of Isoparorchis pakistani sp. n. In Bilquees FM, Saeed R, Rehana R, Khatoon A, Kaikabad SH, editors. Helminth Parasites of Some Vertebrates Chiefly from Fishes of West Pakistan. Karachi, Pakistan. Agric Res Council, Govt Pakistan; 1972. p. 48-59.
  • 11. Bhalerao GD. Studies on the helminths of India. Trematoda IV. J Helminthol 1937;15:97-124.
  • 12. Bykhovskaya-Pavlovskaya IE, Kulakova AP. Class Trematoda. In Bauer ON, editor. Key to the Parasites of the Freshwater Fish Fauna of The USSR. 3:Moscow, Russia. Nauka; 1987. p. 77-198.
  • 13. Cribb TH. Two new digenetic trematodes from Australian freshwater fishes with notes on previously described species. J Nat Hist 1998;22:27-43.
  • 14. Nagasawa K, Katahira H, Nitta M. Isoparorchis hypselobagri (Trematoda: Isoparorchiidae) from freshwater fishes in western Japan, with a review of its host-parasite relationships in Japan (1915–2013). Biogeography 2013;15:11-20.
  • 15. Billet A. Notes sur la faune du Haut-Tonkin. II. Sur quelques distomes. Bull Soc Fr Belg 1898;28:283-309. (in French).
  • 16. Southwell T. Notes from the Bengal fisheries laboratory, Indian Museum. Rec Indian Museum 1913;9:79-103.
  • 17. Johnston TH. New trematodes from an Australian siluroid. Trans R Soc S Aust 1927;51:129-136.
  • 18. Shimazu T, Cribb TH, Miller TL, Urabe M, Van Ha N, Binh TT, Shed’ko MB. Revision of Isoparorchis Southwell, 1913 (Digenea, Hemiuroidea, Isoparorchiidae), parasites of the air bladder of freshwater catfishes: a molecular and morphological study. Bull Natl Mus Nat Sci Ser A 2014;40:15-51.
  • 19. Yamashita J, Nishida H. Memoirs On the occurrence of Jsoparorchis trisimilitubis Southwell in the muscle of Ophicephaltu argus (Cantor). J Fac Agric Hokkaido Univ 1955;2:160-163. (in Japanese).
  • 20. Sawada I, Osako J. Studies on the occurrence of Isoparorchis hypselobagri (Billet, 1898) (Trematoda) in the body cavity and the muscle of Zacco temminckii from Nara Prefecture. Bull Nara Univ Educ Nat Sci 1969;18:21-26. (in Japanese).

Download Citation

Download a citation file in RIS format that can be imported by all major citation management software, including EndNote, ProCite, RefWorks, and Reference Manager.

Format:

Include:

Morphological Characteristics and Fish Hosts of Isoparorchis sp. (Digenea: Isoparorchiidae) in Korea
Korean J Parasitol. 2018;56(5):501-507.   Published online October 31, 2018
Download Citation

Download a citation file in RIS format that can be imported by all major citation management software, including EndNote, ProCite, RefWorks, and Reference Manager.

Format:
Include:
Morphological Characteristics and Fish Hosts of Isoparorchis sp. (Digenea: Isoparorchiidae) in Korea
Korean J Parasitol. 2018;56(5):501-507.   Published online October 31, 2018
Close

Figure

  • 0
  • 1
  • 2
Morphological Characteristics and Fish Hosts of Isoparorchis sp. (Digenea: Isoparorchiidae) in Korea
Image Image Image
Fig. 1 Three striped shinner, Punctungia herzi, infected with Isoparorchis sp. (A). Isoparorchis sp. (arrow) found in subcutaneous tissue (B) and abdominal cavity (C) of fish.
Fig. 2 Larval (A) and juvenile (B) worms of Isoparorchis sp. recovered from P. herzi, (Semichon’s acetocarmine stained). The scale bar is 1.5 mm. Two adult worms of Isoparorchis sp. recovered from P. herzi (C) and S. japonicus coreanus (D) (Semichon’s acetocarmine stained). The scale bar is 7.5 mm. Anterior portions of adult worms ((E) magnified view of Fig. 2C; (F) that of a fresh worm unstained) with the oral (OS) and ventral suckers (VS), sinus sac (SS), genital atrium (GA) and 2 testes (LT: left testis; RT: right testis). The scale bar is 2.5 mm. An egg (G) of Isoparorchis sp. naturally discharged from an adult worm. The scale bar is 20 μm.
Fig. 3 SEM views of Isoparorchis sp. adults. Whole ventral view with a slight ventral concave, an attenuate anterior end, 2 suckers and smooth body surface (A). The oral (B) and ventral sucker (C) commonly muscular and covered with the cytoplasm of striated wrinkles without sensory papillae. Body surfaces in the ventral (D) and dorsal side (E) commonly covered with the smooth cytoplasmic layer without tegumental spines.
Morphological Characteristics and Fish Hosts of Isoparorchis sp. (Digenea: Isoparorchiidae) in Korea

Infection status with Isoparorchis sp. in freshwater fish from Yangcheon, a branch of Gyeonghogang (River), in Sancheong-gun, Gyeongsangnam-do, Korea

Species of fish No. of fish examined No. (%) of fish infected No. of metacercariae detected
Total Range Average
Pungtungia herzi 280 32 (11.4) 35 1–2 1.1
Acheilognathus koreensis 91 2 (2.2) 2 - 1.0
Squalidus japonicus coreanus 62 3 (4.8) 3 - 1.0
Odontobutis platycephala 18 1 (7.7) 2 - 2.0
Total 451 38 (8.4) 42 1–2 1.1

Comparative dimensionsa of Isoparorchis spp. from the present study and Shimazu et al. (2014) [18]

Organs Present study (2018) Shimazu et al. (2014) [18]


Adults (n=10) Juveniles (n=7) I. eurytremumb Isoparorchis sp. 3c I. hypselobagrid
Body (BL) 14.7–27.5 (21.6) 2.625–9.625 (6.639) 20.0–47.0 32.0 12.0–23.0
Body (W)a 6.075–14.0 (9.835) 1.125–4.425 (2.707) 11.0–18.0 15.0 6.0–16.0

Oral sucker (L)a 0.875–1.425 (1.030) 0.300–0.700 (0.534) 1.26–2.46 1.30 0.95–1.42
Oral sucker (W) 1.050–1.625 (1.205) 0.340–0.800 (0.607) 1.39–2.22 1.47 1.06–1.42

Pharynx (L) 0.450–0.725 (0.550) 0.170–0.360 (0.280) 0.63–1.27 0.95 0.52–0.79
Pharynx (W) 0.450–0.750 (0.541) 0.170–0.360 (0.283) in diameter 0.94 0.51–0.73

Esophagus (L) 0.200–0.450 (0.253) 0.070–0.250 (0.140) 0.08–0.24 0.16 0.22–0.27

Ventral sucker (L) 1.550–2.900 (1.985) 0.560–1.250 (0.949) 1.11–3.49 2.62 1.30–2.06
Ventral sucker (W) 1.625–2.950 (2.095) 0.580–1.230 (0.940) 1.66–3.65 2.73 1.31–2.11

Sucker width ratio 1: 1.56–1.87 (1.74) 1: 1.26–1.71 (1.55) 1: 1.2–1.4 01:01.9 1: 1.2–1.6

Forebody (FBL) 3.150–6.250 (4.848) 0.950–2.575 (1.926) 7.0–15.0 8.0 3.25–5.95

FBL/BL × 100 21.4–22.7 (22.4)% 26.8–36.2 (29.0)% 27–37% 25% 21–29%

Sinus sac (SSL) 2.250–4.500 (3.125) - 3.09–11.11 3.01 1.11–2.06
Sinus sac (W) 1.500–3.000 (2.050) - 2.06–7.93 2.12 1.34–2.02

SSL/FBL × 100 44.6–78.6 (64.5)% - 43–74% 38% 28–40%

Genital atrium (GAL) 1.875–4.419 (2.773) - 2.30–6.66 1.62 0.71–1.35
Genital atrium (W) 0.625–1.175 (0.890) - 1.34–2.85 1.38 0.79–1.42

GAL/SSL × 100 75.8–98.2 (88.7)% - 72–95% 54% 45–69%

Right testis (L) 0.675–2.800 (1.445) 0.450–0.640 (0.563) 1.26–4.44 1.32–1.66 0.71–1.90
Right testis (W) 0.850–2.575 (1.400) 0.400–0.500 (0.447) 1.19–3.96 1.35–1.59 0.71–1.59

Left testis (L) 0.875–2.325 (1.410) 0.450–0.800 (0.573) - - -
Left testis (W) 0.700–2.200 (1.253) 0.500–0.650 (0.573) - - -

Eggs (L) 0.050–0.54 (0.052) - 0.041–0.054 0.043–0.049 0.038–0.051
Eggs (W) 0.031–0.033 (0.032) - 0.024–0.032 0.021–0.024 0.021–0.025

a(L): length; (W): width; unit in mm.

bTotal 10 adult specimens from Lake Biwa and Uji River in Japan,

c2 adults recovered in the air bladder of Wallgo attu from India and

d2 adult specimens found in the air bladder of Silurus asotus from northern Vietnam were measured respectively.

Table 1 Infection status with Isoparorchis sp. in freshwater fish from Yangcheon, a branch of Gyeonghogang (River), in Sancheong-gun, Gyeongsangnam-do, Korea
Table 2 Comparative dimensionsa of Isoparorchis spp. from the present study and Shimazu et al. (2014) [18]

(L): length; (W): width; unit in mm.

Total 10 adult specimens from Lake Biwa and Uji River in Japan,

2 adults recovered in the air bladder of Wallgo attu from India and

2 adult specimens found in the air bladder of Silurus asotus from northern Vietnam were measured respectively.