Introduction
Ticks are arthropods of the Acari subclass and are important vectors of various pathogens, posing significant threats to human and animal health worldwide [1,2]. Among numerous tick species, Haemaphysalis longicornis has received particular attention due to its invasive nature and wide distribution across different continents [3]. Ticks are major disease vectors that transmit pathogens to animals, ranking second only to mosquitoes. Their increasing prevalence has prompted interest in natural products, such as essential oils, for repellent and pesticide development. Ecofriendly acaricides have been developed using biodegradable vegetable products.
Recently, the global emergence and spread of tick-borne diseases have prompted the search for alternative and environmentally safe methods to control tick populations and reduce their impact on public and veterinary health. Natural essential oils have received attention as potential candidates for tick control, due to their bioactive properties and relatively low environmental impact. These oils contain active compounds such as eugenol, cineole, linalool, and menthol, which have demonstrated insecticidal and repellent properties against various ticks, mosquitoes, and flies [4]. While previous research has explored the efficacy of individual essential oils against ticks, comparative analyses are still required to determine which oil offers the most effective and practical tick control solution. This study aimed to evaluate and compare the effect of clove, eucalyptus, lavender, and mint oils against H. longicornis ticks in terms of mortality, repellency index (RI), and tick attachment to the host.
Despite their potential, few studies have investigated the in vivo or field repellent efficacy of essential oils against ticks. Understanding the potential acaricidal and repellent properties of these essential oils against H. longicornis ticks could provide valuable insights for the development of novel and environmentally safe strategies to manage tick infestations and mitigate the risks associated with tick-borne diseases. Among the tested essential oils, clove, eucalyptus, lavender, and mint oils have shown potential as tick repellents and acaricides [5]. Additionally, this research could have implications for public health, agriculture, and veterinary practices, contributing to overall efforts to safeguard both human and other animal populations from tick-related health hazards.
Materials and Methods
Ethics statement
All animals used in these experiments were housed in the Laboratory of Veterinary Parasitology of the College of Veterinary Medicine and Bio-Safety Research Institute, Jeonbuk National University (Jeonju, Korea). All animal studies and protocols complied with the Ethical Guidelines for the Use of Animals in Research and were approved by the Jeonbuk Animal Care and Use Committee (JBNU 2022-094).
Ticks and hosts
The Jeju strain of the hard tick H. longicornis [6] has been maintained in rabbits in our laboratory since 2003. H. longicornis were reared at 27–28°C and 80–90% relative humidity. The 3 tick stages of larva, nymph, and adult were used in the study. To feed, H. longicornis ticks were placed onto the dorsal surface sagittal to the vertebral column in the middle lumbar region of specific pathogen-free New Zealand White rabbits. A total of 16 rabbits were randomly assigned to 4 groups with 4 rabbits per group. Each group was tested for tick (adult and nymph) attachment following clove, eucalyptus, lavender, or mint oil application on the skin.
Essential oil use for tick control
All the active ingredients used in this study, including clove oil (ALLE, Gimpo, Korea), mint oil (ALLE), lavender (Leciel, Seoul, Korea), and eucalyptus (Leciel), were commercially purchased. Solutions with varying concentrations (1%, 0.5%, 0.25%, and 0.125% v/v) were prepared by combining each essential oil with specific proportions of ethanol and water. As an example, the 1% solution consisted of 1% essential oil, 25% ethanol, and 77% distilled water. Similarly, the 0.5% solution contained 0.5% essential oil, 25% ethanol, and 77.5% distilled water, and so forth. The procedure involved the initial mixing of the essential oil with alcohol, followed by the addition of water for adequate blending. As a control, 25% ethanol was used.
Efficacy evaluation against ticks feeding on rabbits
We conducted the tick attachment assay on rabbit skin as described previously [7]. Briefly, one day before the assay, rabbit hair at the tick attachment site was shaved properly. Two feeding chambers were affixed to each animal, positioned at least 4 cm apart. One chamber was placed cranially for acaricidal and repellent activity assessment, and the other, caudally, serving as the control (EtOH).
To replicate the test for each instar, a total of 25 rabbits were similarly infested, with nonsprayed feeding chambers used as controls for both the tested mineral oil acaricide and control solutions. Each feeding chamber contained either 10 adult ticks or 10 nymphs. Following a 24 h period after tick infestation, each chamber received a single application of 20 μl of the control solution or tested mineral oil acaricide by spraying, followed by the resealing of the chambers.
We conducted daily inspections after 24 h and collected dead or engorged ticks. On the 4th day post-tick infestation, the count encompassed both attached and nonattached ticks, marking the culmination of the study.
Repellency index assays
Experiments to determine the RI involved cutting filter paper (12.5 cm diameter) into halves, with one half treated with a corresponding essential oil with different dilution (1%, 0.5%, 0.25%, or 0.125%) in ethanol solution. Ticks were subjected to the assay following the procedure outlined by [8] with minor adjustments. In brief, the experimental setup involved drawing 2 concentric circles (Lines A and B) on a Petri dish lid with 2.5 cm between them. Outside line B, a circular filter paper strip, 0.5 cm wide, was positioned. Subsequently, 100 μl of either the control substance (25% ethanol) or the essential oil diluted to 1% was applied to the filter paper and allowed to evaporate for 10 min. Following this, each Petri dish was placed on a moist circular filter paper inside a larger Petri dish.
Haemaphysalis longicornis adults and nymphs were tested individually in a paired design, with each tick being initially tested on the control dish and then on the dish with the essential oil. Each experiment involved up to 10 ticks. The ticks’ behavior was observed until they crossed line B, and the time spent between lines A and B was recorded. The RI [9] was calculated using the formula RI=2G/(G+P). Here, G represents the percentage of larvae situated on disks treated with the essential oil and control (25% ethanol), while P indicates the percentage of larvae on the control leaf disks. The RI scale spans from 0 to 2, where RI=1 signifies a neutral effect, RI>1 indicates attraction, and RI<1 signifies repellency.
Mortality assay
The effect of different essential oil concentrations on the mortality of adult and nymph H. longicornis was also evaluated. To prepare the essential oil solutions, we followed the previously described method, obtaining concentrations of 0.125%, 0.25%, 0.5%, and 1.0% with total volumes of 100 μl each. For the experiments, we applied each solution to a 6 cm diameter filter paper using a micropipette and allowed the filter paper to dry under a ventilated hood. The treated filter paper was then attached to the inside of a cup lid with a 7-cm diameter using double-sided adhesive tape. Twenty H. longicornis adults were introduced into a transparent 300-ml plastic cup, and the lid with the treated filter paper was securely placed over its top opening. Following a 24-h exposure period, we recorded the number of live and dead H. longicornis nymphs and adults. Insect mortality was determined by observing the absence of leg or antennal movements, which indicated death. Each treatment concentration was replicated 10 times to ensure the reliability and accuracy of our results.
Results
The results of the RI of the clove, eucalyptus, lavender, and mint oils were evaluated at 4 different observation times on H. longicornis adults (Table 1). The RI values, representing the efficacy of each essential oil in repelling H. longicornis adults at different time intervals, were calculated for each oil at 10, 20, 30, and 40 min after their application. The highest RIs among the tested essential oils were observed for eucalyptus oil and lavender oil, both reaching 0.60. The lowest RI value was detected for clove oil (0.05). Mint oil also displayed relatively low repellency, with an RI value of 0.15.
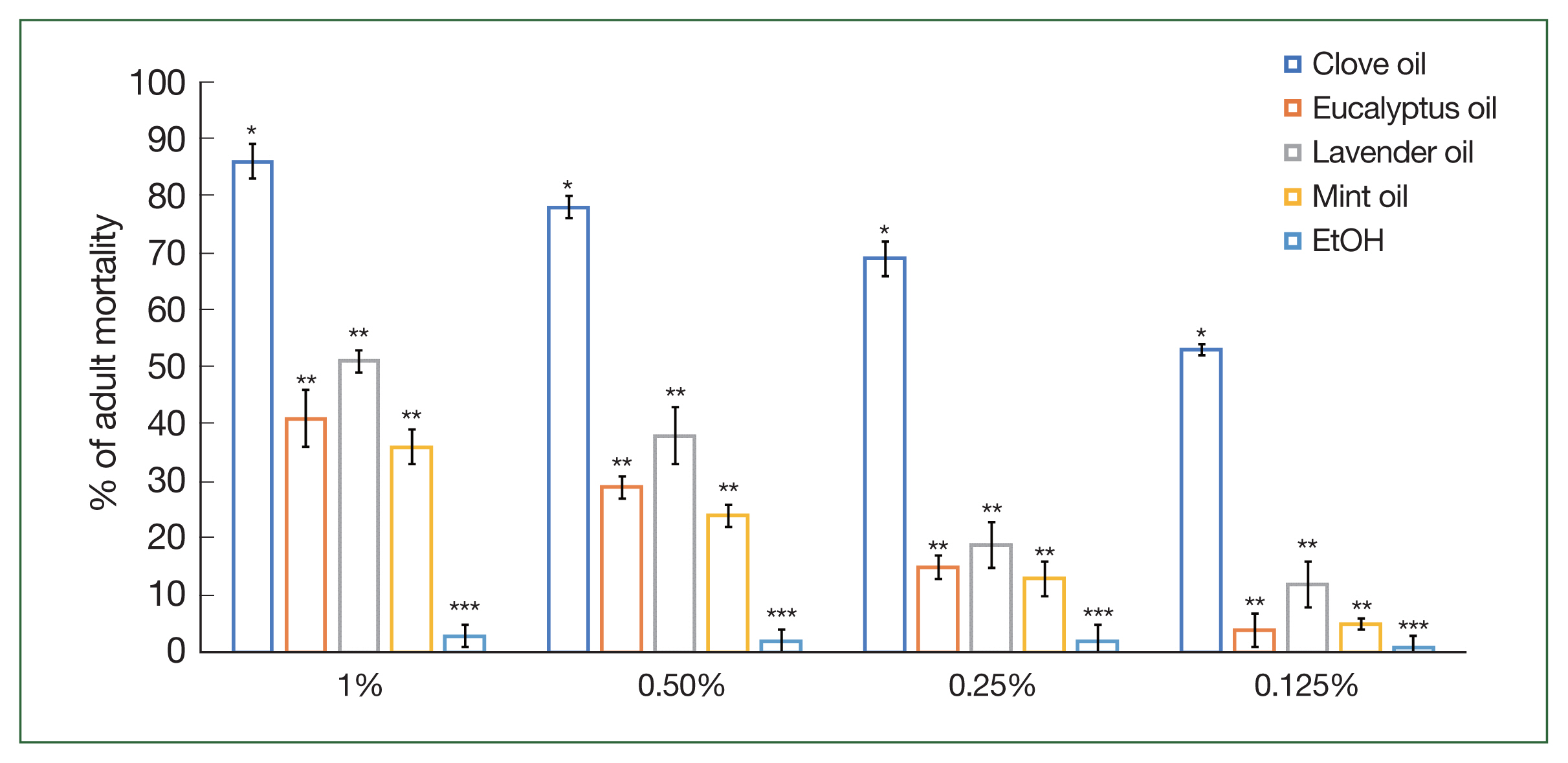
The mortality rates of H. longicornis adults and nymphs were examined using various concentrations (1%, 0.5%, 0.25%, and 0.125%) of the 4 essential oils (Figs. 1,2). Clove oil exhibited the highest mortality percentages, with values of 86.0%, 78.0%, 69.0%, and 53.0% at concentrations of 1%, 0.5%, 0.25%, and 0.125%, respectively. Eucalyptus oil also displayed significant (P<0.05) mortality effects, with percentages of 41.0%, 29.0%, 15.0%, and 4.0% at the respective concentrations. Lavender and mint oils demonstrated lower, yet considerable, mortality rates compared to clove and eucalyptus oils. For lavender oil, mortality percentages were 51.0%, 38.0%, 19.0%, and 12.0%, while for mint oil, mortality percentages were 36.0%, 24.0%, 13.0%, and 5.0% at the respective concentrations of 1%, 0.5%, 0.25%, and 0.125%. These findings highlight the potential of clove and eucalyptus oils as effective agents for H. longicornis population control, with lavender oil and mint oil also showing promising results, albeit with slightly lower efficacy.
In this study, the application of various essential oils, including clove oil, eucalyptus oil, lavender oil, mint oil, and control (EtOH) at a concentration of 1%, yielded diverse outcomes in terms of preventing the attachment of adult and nymph H. longicornis ticks to rabbit skin (Figs. 3, 4). Among adult ticks, the rates of nonattachment were as follows: 90% for clove oil, 60% for eucalyptus oil, 20% for lavender oil, 40% for mint oil, and 5% for water oil. In contrast, for tick nymphs, the nonattachment rates were 95% for clove oil, 80% for eucalyptus oil, 40% for lavender oil, 65% for mint oil, and 10% for control (EtOH). These findings highlight the differences in effectiveness exhibited by the tested essential oils in retarding the attachment of H. longicornis ticks to rabbit skin, and gross lesions were observed during the attachment (Fig. 5). The statistical analysis indicated highly significant differences (P<0.001) in both adult and nymph ticks when compared to the control group. These results emphasize the potential of these essential oils, especially clove and eucalyptus oils against nymphs, as promising agents for mitigating tick attachment, suggesting their utility in tick-bite prevention strategies.
Discussion
Ticks are the second most common vector of human disease following mosquitoes, and the prevalence of tick diseases is consistently increasing [10]. In this study we used nymph and adult H. longicornis, as it is the most common species in Korea [11,12]. We found that nymphs were more sensitive than adult H. longicornis in terms of repellency, morbidity, and rabbit skin nonattachment following the application of clove, eucalyptus, lavender, and mint oils at different doses. Other previous studies have shown that H. longicornis nymphs are more sensitive than adults to chemical treatments. Our previous study Islam et al. [7] demonstrated that nymphs are more sensitive to histamine than adults, as their rate of detachment from the host was higher. Furthermore, juvenile ticks (larvae and nymphs) tend to be more susceptible to chemicals than adult ticks [13].
Our study investigated the mortality rates of H. longicornis adults and nymphs following exposure to varying concentrations of clove, eucalyptus, lavender, and mint essential oils. The mortality of adults and nymphs in all groups significantly increased, in a dose-dependent manner. Clove oil emerged as the most potent agent among the tested essential oils. Our study results are consistent with the findings of Xin et al. [14], who conducted a similar investigation. They screened 20 essential oils for their acaricidal effects against H. longicornis and found that cinnamon, clove, and chamomile oils exhibited the highest potency.
In our study, distinct mortality patterns were observed among different essential oils at a 1% concentration. Notably, clove oil exhibited the highest mortality rates for nymphs (97%) and adults (86%), while mint oil demonstrated the lowest rates, at 36% for nymphs and 38% for adults. The key active compound in clove oil, eugenol [15], contributes to its efficacy, while mint oil relies on menthol and menthone [16] for its effects. The mechanism by which clove oil exerts its acaricidal activity involves potential neurotoxic and cytotoxic actions [17,18], likely tied to the interaction of eugenol with tyramine and octopamine receptors. Nevertheless, the precise mode of action of mint oil remains unclear. Interestingly, research [19] on the larvicidal effects of essential oils against Aedes, Anopheles, and Culex larvae reported the limited efficacy of methanol and menthone, highlighting the complexity of the effects of essential oils on arthropods.
In our investigation, we evaluated the RI of clove, eucalyptus, lavender, and mint essential oils against adult H. longicornis ticks over 4 observation periods (Table 1). RI values, signifying repellency potency, were obtained at 10, 20, 30, and 40 min postapplication. Eucalyptus and lavender oils exhibited the highest RI at 0.60 and were least effective, while clove oil showed the lowest RI at 0.05, highlighting its superior repellent efficacy. Notably, our findings align with those of a previous study [20] evaluating the effects of 10 essential oils against star ticks (Amblyomma americanum), which identified the ineffectiveness of the active ingredients of lavender oil in repelling ticks at the tested concentrations.
Various bioassay methods have been employed to assess tick-repellent efficacy. However, a solitary study has addressed the comparability of outcomes between diverse methods. Of specific importance is the comparison between bioassays conducted in artificial containers (in vitro) and those carried out using animal subjects (in vivo) when assessing the effectiveness of new potential unregistered active ingredients [21]. Notably, in vitro methods are more frequently utilized for evaluating such ingredients. When ticks were experimentally attached to rabbits, nearly identical fatality patterns were observed. Previous in vivo studies have explored tick attachment through methods like pet line blanket-drag field assays [22] or human skin assays [23]. However, our study is the first one to investigate H. longicornis attachment on rabbit skin in the presence of essential oils. In our research, mint oil exhibited the lowest mortality and repellent effects, while lavender oil displayed the lowest non-attachment in both nymph and adult H. longicornis. The overall efficacy of clove oil in these circumstances stood at 95% for nymphs and 90% for adult H. longicornis ticks within the specific experimental conditions. Thus, clove oil was identified as a promising acaricide and repellent for H. longicornis ticks.
The outcomes of this study highlight the varying degrees of mortality, repellent efficacy, and host detachment induced by various essential oils at different concentrations. The results suggest that clove and eucalyptus oils hold significant potential as effective agents for H. longicornis population management. Furthermore, lavender and mint oils exhibited potential as alternative options, offering valuable insights for the development of environmentally safe and sustainable approaches to tick control. Further research into the mechanisms underlying the observed effects and for achieving the optimization of application methods could enhance the integration of these essential oils in tick management strategies. Future studies could explore the combination effects of these essential oils with various tick species in different life cycle stages.



