Of many species of heterophyid flukes known to occur in Korea, Metagonimus yokogawai is the most important one with respect to general public health (Chai and Lee, 1990). In heavily infected patients the infection can cause severe gastrointestinal troubles and easy fatiguability. Metagonimus yokogawai is widely distributed along the riverside areas of the southern and eastern coasts where sweetfish are available (Seo et al., 1982; Chai and Lee, 1990). In areas near Samchok-shi, Kangwon-do, a few epidemiological studies have been performed (Seo et al., 1981; Ahn, 1984; Song et al., 1985). However, worm collection studies that determine the intensity of infection have never been carried out along the eastern coasts including Samchok-shi. The present study was, therefore, aimed to investigate the prevalence and the intensity of M. yokogawai infection among the residents along the Osib-chon (Stream), Samchok-shi (City), Kangwon-do (Province).
Fecal specimens were collected from 165 people, including both sexes and all age groups, residing in two small villages (Sanggoro-ri and Hagoro-ri) in Miro-myon, Samchok-shi, during the period from November 1997 through January 1998. They were examined by both cellophane thick smear and formalin-ether sedimentation techniques. After the fecal examination, some of the cases showing a high number of eggs were treated with 10 mg/kg single dose of praziquantel, followed by purgation with 30-40 g of MgSO4. Among the treated cases, 11 were cooperative in collection of diarrheic stools more than five consecutive times during 3-4 hr directly after the treatment. Diarrheic stools were washed several times with tap water, and the sediment was fixed with 1% formalin and transported to our laboratory. The flukes were collected under a stereomicroscope and the number was counted. Some of the specimens were flattened gently under a cover slip pressure, which were fixed with 10% neutral buffered formalin and stained with Semichon's acetocarmine.
Through the fecal examination, various kinds of helminth eggs and protozoan cysts were detected (Table 1). Overall egg and/or cyst positive rate was 32.7% (54 out of 165 examined). The egg positive rate of helminths was the highest for M. yokogawai (29.7%) followed by Trichuris trichiura (0.6%), Enterobius vermicularis (0.6%), and Clonorchis sinensis (0.6%). The cyst positive rate was relatively low; Entamoeba coli (1.6%) and Giardia lamblia (1.2%).
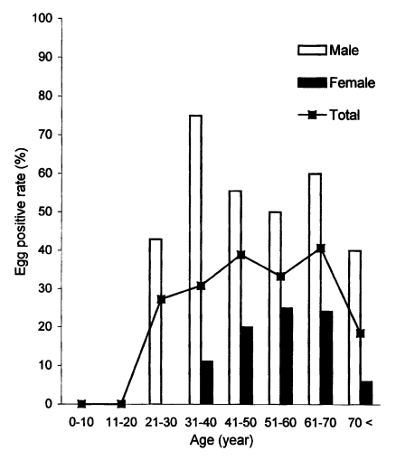
In the case of M. yokogawai infection, the highest egg positive rate was observed in the age group of 61-70 years (40.7%), followed by the forties (38.9%) and the fifties (33.3%) (Fig. 1). Among the younger age groups, less than 20 years, no infected cases were detected. The positive rate was significantly higher (p<0.05) for the males (46.6%) than the females (16.3%). From 11 cooperative cases in collection of adult flukes, a total of 242,119 adult specimens (average 22,010 per person, 367-119,650 in range) were collected (Table 2). All the flukes was identified as M. yokogawai. Most of the infected people, especially those with more than 10,000 worms, recalled that they had experienced mild to severe degrees of gastrointestinal troubles including episodes of diarrhea and colicky pain. Many of the infected people admitted that they had eaten raw freshwater fish (Plecoglossus altivelis) caught around this area.
In Korea, three species of Metagonimus are known to occur; M. yokogawai (Chai and Lee, 1990), M. miyatai (Chai et al., 1993; Saito et al., 1997), and M. takahashii (Ahn and Ryang, 1988; Chai et al., 1993). However, the majority of epidemiological studies have been conducted on M. yokogawai (Seo et al., 1981; Song et al., 1985; Chai and Lee, 1990). Large and small rivers in the eastern and southern coastal areas, where sweetfish are available, have turned out to be endemic foci of M. yokogawai infection (Chai and Lee, 1990; Chai et al., 1998). According to a survey along the five major rivers, the average egg positive rate of riverside people was 4.8% (Seo et al., 1981). Other studies have revealed that the Somjingang (River), Tamjingang (River), Bosonggang (River), and Kojedo (Island) were found to be highly endemic with 10-40% egg positive rates among the residents (Yeo and Seo, 1971; Soh et al., 1976; Chai et al., 1977; Seo et al., 1981). In general population, however, quinquennial national surveys showed 1.2% egg positive rate in 1981, 1.0% in 1986, and 0.3% in 1992 and 1997 (Ministry of Health and Welfare and Korea Association of Health, 1997).
Around this area, two epidemiological surveys were performed on M. yokogawai infection previously (Seo et al., 1981; Ahn, 1984). According to the former report (Seo et al., 1981), the egg positive rate was 28.5%, a figure very similar to the present study. Compared to the latter (Ahn, 1984) in which the rate was reported as 35.4%, only a little decrease was recognized in the present study. This persistent endemicity of M. yokogawai in this area is undoubtedly related to a continued raw eating habbit of sweetfish by the local residents, especially among the adult age group. It is noteworthy, however, to mention that no school children were found to be infected, which could be a result from a successful health education among this age group. In other areas of the eastern coasts, variable infection rates of residents were reported previously; 9.4% in Ulchu-gun (Joo and Park, 1982), 23.1% in Ulchin-shi, and 6.7% in Miryang-gun (Seo et al., 1981), all of which showed lower prevalences than in the present study.
As far as the intensity of infection in terms of the number of worms in each person is concerned, there have been a few reports in Korea. A report of two cases who expelled 17,560 and 154 worms after a treatment was the first which documented the intensity of infection (Seo et al., 1971). Near the basin of Tamjin River, where the egg positive rate of M. yokogawai was 40.3%, the intensity of infection in average EPG (eggs per gram of feces) was 1,707 (Chai et al., 1977). It seems worthwhile to note that 2,886-63,587 adult flukes were collected individually from 14 infected people in Tamjin River basin (Seo et al., 1985), which became the most recent record on the worm burden of M. yokogawai. Therefore, the worm burdens of 119,650 (patient No. 1) and 68,170 (patient No. 2) in this study are the heaviest record among the literature. The infected people experienced mild to severe degrees of gastrointestinal troubles including diarrhea, and the two heaviest cases recalled that they had repeated episodes of profuse diarrhea and colicky pain.
Taken together, the results of the present study suggest that M. yokogawai is still highly endemic along the Osib-chon (Stream), Samchok-shi. Proper control measures are urgently needed in this area.



