Skip to main navigation Skip to main content
  • KSPTM
  • E-Submission

PHD : Parasites, Hosts and Diseases

OPEN ACCESS
ABOUT
BROWSE ARTICLES
FOR CONTRIBUTORS

Page Path

  • HOME
  • BROWSE ARTICLES
  • Previous issues
10
results for

Previous issues

Article category

Keywords

Authors

Funded articles

Previous issues

Prev issue Next issue

Volume 62(2); May 2024

Mini Review

Dipylidiasis cases in Japan–an update by literature survey
Yukifumi Nawa, Akinori Furusawa, Mio Tanaka, Masahide Yoshikawa
Parasites Hosts Dis 2024;62(2):163-168.
Published online May 27, 2024
DOI: https://doi.org/10.3347/PHD.23118
Dipylidium caninum is a cosmopolitan parasite of companion animals such as dogs and cats. Accidental infection in humans occur mostly in children. Although considerable number of cases were reported from Europe and the Americas, case reports of this zoonotic disease are rather scarce from Asian countries. The aim of this study is to report the results of literature survey on dipylidiasis cases in humans in Japan. Conclusively, we have found a total of 17 cases since the first case report in from Aichi Prefecture in 1925.
  • 5,526 View
  • 82 Download

Original Articles

The anti-amoebic activity of Pinus densiflora leaf extract against the brain-eating amoeba Naegleria fowleri
Hương Giang Lê, Woong Kim, Jung-Mi Kang, Tuấn Cường Võ, Won Gi Yoo, Hyeonsook Cheong, Byoung-Kuk Na
Parasites Hosts Dis 2024;62(2):169-179.
Published online May 27, 2024
DOI: https://doi.org/10.3347/PHD.23103
Naegleria fowleri invades the brain and causes a fatal primary amoebic meningoencephalitis (PAM). Despite its high mortality rate of approximately 97%, an effective therapeutic drug for PAM has not been developed. Approaches with miltefosine, amphotericin B, and other antimicrobials have been clinically attempted to treat PAM, but their therapeutic efficacy remains unclear. The development of an effective and safe therapeutic drug for PAM is urgently needed. In this study, we investigated the anti-amoebic activity of Pinus densiflora leaf extract (PLE) against N. fowleri. PLE induced significant morphological changes in N. fowleri trophozoites, resulting in the death of the amoeba. The IC50 of PLE on N. fowleri was 62.3±0.95 μg/ml. Alternatively, PLE did not significantly affect the viability of the rat glial cell line C6. Transcriptome analysis revealed differentially expressed genes (DEGs) between PLE-treated and non-treated amoebae. A total of 5,846 DEGs were identified, of which 2,189 were upregulated, and 3,657 were downregulated in the PLE-treated amoebae. The DEGs were categorized into biological process (1,742 genes), cellular component (1,237 genes), and molecular function (846 genes) based on the gene ontology analysis, indicating that PLE may have dramatically altered the biological and cellular functions of the amoeba and contributed to their death. These results suggest that PLE has anti-N. fowleri activity and may be considered as a potential candidate for the development of therapeutic drugs for PAM. It may also be used as a supplement compound to enhance the therapeutic efficacy of drugs currently used to treat PAM.

Citations

Citations to this article as recorded by  Crossref logo
  • (‒)-Epicatechin enhances the anti-Acanthamoeba activity of chlorhexidine through synergistic action
    Hương Giang Lê, Tuấn Cường Võ, Thu Hằng Nguyễn, Minkyoung Cho, Yeonchul Hong, Hak Sun Yu, Byoung-Kuk Na
    Acta Tropica.2026; 275: 108010.     CrossRef
  • Ginsenosides Rb3 and Rc Exhibit Anti-Amoebic Activities Against Naegleria fowleri, the Etiological Agent of Primary Amoebic Meningoencephalitis
    Thu Hằng Nguyễn, Hương Giang Lê, Tuấn Cường Võ, Minkyoung Cho, Byoung-Kuk Na
    Pharmaceuticals.2026; 19(4): 573.     CrossRef
  • A xanthone O-glucoside isolated from Iris setosa Pall. ex Link exhibits promising anti-amoebic activity against the brain-eating amoeba Naegleria fowleri
    Hương Giang Lê, Buyng Su Hwang, Ji-Su Choi, Yong Tae Jeong, Tuấn Cường Võ, Minkyoung Cho, Yeonchul Hong, Jeong Ho Kim, Young Taek Oh, Byoung-Kuk Na
    Phytomedicine.2025; 147: 157199.     CrossRef
  • From nose to neurons: The lethal journey of the brain-eating amoeba Naegleria fowleri
    Arindam Mitra, Débora Brito Goulart
    The Microbe.2025; 8: 100537.     CrossRef
  • 4,523 View
  • 104 Download
  • 4 Web of Science
  • Crossref
Presence and diversity of free-living amoebae and their potential application as water quality indicators
Areum Choi, Ji Won Seong, Jeong Hyun Kim, Jun Young Lee, Hyun Jae Cho, Shin Ae Kang, Mi Kyung Park, Mi Jin Jeong, Seo Yeong Choi, Yu Jin Jeong, Hak Sun Yu
Parasites Hosts Dis 2024;62(2):180-192.
Published online May 27, 2024
DOI: https://doi.org/10.3347/PHD.24020
Free-living amoebae (FLA) are found in diverse environments, such as soils, rivers, and seas. Hence, they can be used as bioindicators to assess the water quality based solely on their presence. In this study, we determined the presence of FLA in river water by filtering water samples collected from various sites and culturing the resulting filtrates. FLA were detected in all the water samples with varying quality grades (Grades Ι-V). The significant increase in the size of the amoebae population with the deterioration in the water quality. Monoxenic cultures of the amoebae were performed, and genomic DNAs were isolated, among which 18S rDNAs were sequenced to identify the amoeba species. Of the 12 species identified, 10 belonged to the Acanthamoeba genus; of the remaining 2 species, one was identified as Vannella croatica and the other as a species of Vermamoeba. Acanthamoeba was detected in samples with Grades Ι to VI quality, whereas the Vermamoeba species was present only in Grade Ι water. V. croatica was found exclusively in water with Grade ΙΙ quality. Following morphological observations, genomic DNA was sequenced using 16S rDNA to determine whether the species of Acanthamoeba harbored endosymbionts. Most of the isolated Acanthamoeba contained endosymbionts, among which 4 species of endogenous bacteria were identified and examined using transmission electron microscopy. This study provides evidence that the distribution of amoebae other than Acanthamoeba may be associated with water quality. However, further confirmation will be required based on accurate water quality ratings and assessments using a more diverse range of FLA.

Citations

Citations to this article as recorded by  Crossref logo
  • Microbial community structure and pathogen persistence in tropical drinking water distribution systems: the role of seasonality and treatment
    Youri Vingataramin, Isaure Quétel, Nina Allouch, Isabel Marcelino
    Total Environment Microbiology.2026; 2(1): 100059.     CrossRef
  • Isolation of Acanthamoeba Species and Bacterial Symbiont Variability in Puna Salt Plains, Argentina
    Ronnie Mooney, Kiri Rodgers, Sandro Carnicelli, Matías E. Carnevale, Maria Eugenia Farias, Fiona L. Henriquez
    Environmental Microbiology Reports.2025;[Epub]     CrossRef
  • Identifying Promising Novel Compounds Against Free-Living Amoebae: A Systematic Review of In Vitro and In Vivo Studies
    Beni Jequicene Mussengue Chaúque, Thaisla Cristiane Borella da Silva, Luiza Bernardes Chagas, Letícia F. G. Kinape, Paula Eliete Rodrigues Bitencourt, Custódio José Gaspar, Alexandre Coelho Borges Cheinquer, Marilise Brittes Rott, Régis Adriel Zanette, Jo
    Parasitologia.2025; 5(4): 56.     CrossRef
  • The Microbial Trojan Horse and Antimicrobial Resistance: Acanthamoeba as an Environmental Reservoir for Multidrug Resistant Bacteria
    Ronnie Mooney, Erin Corbett, Elisa Giammarini, Kiri Rodgers, Carla Donet, Ernest Mui, Arhama T. A. Ansari, Ayush Ransingh, Pradnya S. Vernekar, Harleen K. Walia, Jyoti Sharma, John Connolly, Andrew Hursthouse, Suparna Mukherji, Soumyo Mukherji, Fiona L. H
    Environmental Microbiology.2025;[Epub]     CrossRef
  • Le monde fascinant des amibes libres, des protistes aux multiples facettes
    Aurélie Delumeau, Nina Allouch, Isaure Quétel, Virginie Nerrière, Isabel Marcelino
    médecine/sciences.2025; 41(10): 743.     CrossRef
  • 4,092 View
  • 88 Download
  • 4 Web of Science
  • Crossref
Virus-like particles expressing microneme-associated antigen of Plasmodium berghei confer better protection than those expressing apical membrane antigen 1
Min-Ju Kim, Ki Back Chu, Keon-Woong Yoon, Hae-Ji Kang, Dong-Hun Lee, Eun-Kyung Moon, Fu-Shi Quan
Parasites Hosts Dis 2024;62(2):193-204.
Published online May 27, 2024
DOI: https://doi.org/10.3347/PHD.24017
Malaria is a global disease affecting a large portion of the world’s population. Although vaccines have recently become available, their efficacies are suboptimal. We generated virus-like particles (VLPs) that expressed either apical membrane antigen 1 (AMA1) or microneme-associated antigen (MIC) of Plasmodium berghei and compared their efficacy in BALB/c mice. We found that immune sera acquired from AMA1 VLP- or MIC VLP-immunized mice specifically interacted with the antigen of choice and the whole P. berghei lysate antigen, indicating that the antibodies were highly parasite-specific. Both VLP vaccines significantly enhanced germinal center B cell frequencies in the inguinal lymph nodes of mice compared with the control, but only the mice that received MIC VLPs showed significantly enhanced CD4+ T cell responses in the blood following P. berghei challenge infection. AMA1 and MIC VLPs significantly suppressed TNF-α and interleukin-10 production but had a negligible effect on interferon-γ. Both VLPs prevented excessive parasitemia buildup in immunized mice, although parasite burden reduction induced by MIC VLPs was slightly more effective than that induced by AMA1. Both VLPs were equally effective at preventing body weight loss. Our findings demonstrated that the MIC VLP was an effective inducer of protection against murine experimental malaria and should be the focus of further development.

Citations

Citations to this article as recorded by  Crossref logo
  • Orally Dissolving Film-Based Influenza Vaccines Confer Superior Protection Compared to the Oral Administration of Inactivated Influenza Virus
    Keon-Woong Yoon, Jie Mao, Gi-Deok Eom, Su In Heo, Ki Back Chu, Mi Suk Lee, Fu-Shi Quan
    Vaccines.2025; 13(6): 600.     CrossRef
  • Protective Efficacy Induced by Virus-like Particles Expressing Dense Granule Protein 5 of Toxoplasma gondii
    Su In Heo, Hae-Ji Kang, Jie Mao, Zhao-Shou Yang, Md Atique Ahmed, Fu-Shi Quan
    Vaccines.2025; 13(8): 787.     CrossRef
  • Efficacy of Heterologous Vaccination Using Virus-Like Particles and Vaccinia Virus Containing MIC8 and AMA1 Proteins of Toxoplasma gondii
    Hae-Ji Kang, Fu-Shi Quan
    Vaccines.2025; 13(8): 862.     CrossRef
  • Ivermectin Identified Using a High-Throughput Screening System Exhibits Anti-Clonorchis sinensis Activity in Rats
    Soon-Ok Lee, Hyeryon Lee, Ki Back Chu, Jianhua Li, Sung-Jong Hong, Sung Soo Kim, Joo Hwan No, Fu-Shi Quan
    Antibiotics.2025; 14(8): 837.     CrossRef
  • 4,641 View
  • 69 Download
  • 4 Web of Science
  • Crossref
Prostaglandin synthase activity of sigma- and mu-class glutathione transferases in a parasitic trematode, Clonorchis sinensis
Jiyoung Kim, Woon-Mok Sohn, Young-An Bae
Parasites Hosts Dis 2024;62(2):205-216.
Published online May 27, 2024
DOI: https://doi.org/10.3347/PHD.24004
Sigma-class glutathione transferase (GST) proteins with dual GST and prostaglandin synthase (PGS) activities play a crucial role in the establishment of Clonorchis sinensis infection. Herein, we analyzed the structural and enzymatic properties of sigma-class GST (CsGST-σ) proteins to obtain insight into their antioxidant and immunomodulatory functions in comparison with mu-class GST (CsGST-μ) proteins. CsGST-σ proteins conserved characteristic structures, which had been described in mammalian hematopoietic prostaglandin D2 synthases. Recombinant forms of these CsGST-σ and CsGST-μ proteins expressed in Escherichia coli exhibited considerable degrees of GST and PGS activities with substantially different specific activities. All recombinant proteins displayed higher affinities toward prostaglandin H2 (PGS substrate; average Km of 30.7 and 3.0 μm for prostaglandin D2 [PGDS] and E2 synthase [PGES], respectively) than those toward CDNB (GST substrate; average Km of 1,205.1 μm). Furthermore, the catalytic efficiency (Kcat/Km) of the PGDS/PGES activity was higher than that of GST activity (average Kcat/Km of 3.1, 0.7, and 7.0×10-3 s-1μm-1 for PGDS, PGES, and GST, respectively). Our data strongly suggest that the C. sinensis sigma- and mu-class GST proteins are deeply involved in regulating host immune responses by generating PGD2 and PGE2 in addition to their roles in general detoxification.
  • 3,789 View
  • 59 Download
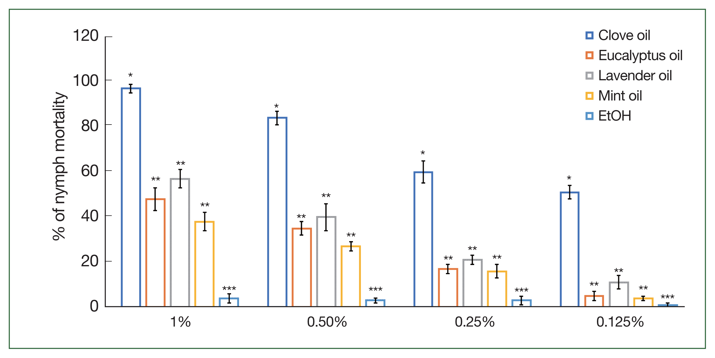
Comparative analysis of essential oil efficacy against the Asian longhorned tick Haemaphysalis longicornis (Acari: Ixodidae)
Mohammad Saiful Islam, Md. Samiul Haque, Myung-Jo You
Parasites Hosts Dis 2024;62(2):217-225.
Published online May 27, 2024
DOI: https://doi.org/10.3347/PHD.23097
This study evaluated the potential repellent and acaricidal effects of 4 essential oils (clove, eucalyptus, lavender, and mint) against the Asian longhorned tick Haemaphysalis longicornis, a vector of various tick-borne diseases in medical and veterinary contexts. Selected for their potential repellent and acaricidal properties, the 4 essential oils were tested on adult and nymph H. longicornis ticks at different concentrations. The experiment assessed mortality rates and repellency, particularly during tick attachment to host skin. There was a significant increase (p<0.05) in tick mortality and repellency scores across all groups. At a 1% concentration, adult tick mortality ranged from 36% to 86%, while nymph mortality ranged from 6% to 97%. Clove oil exhibited notable efficacy, demonstrating high mortality rates of nymphs and adults. Clove oil also displayed strong repellency properties, with a repellency index of 0.05, surpassing those of mint, eucalyptus, and lavender oils. Clove oil showed the highest effectiveness in deterring nonattached adult ticks (90%) and nymphs (95%) when applied to skin. Clove oil was the most effective against adult and nymph ticks, achieving mortality rates of 86% and 97%, respectively, and led to the highest nonattachment rates when applied to skin. In conclusion, essential oils such as clove, eucalyptus, lavender, and mint oils present promising results for tick population control.

Citations

Citations to this article as recorded by  Crossref logo
  • Comprehensive antigen identification and comparative analysis: significant approaches for controlling Haemaphysalis longicornis ticks
    Md. Samiul Haque, Bumseok Kim, Myung-Jo You
    Journal of Veterinary Science.2025;[Epub]     CrossRef
  • 4,973 View
  • 75 Download
  • 1 Web of Science
  • Crossref
Molecular cloning, identification, transcriptional analysis, and silencing of enolase on the life cycle of Haemaphysalis longicornis (Acari, Ixodidae) tick
Md. Samiul Haque, Md. Khalesur Rahman, Mohammad Saiful Islam, Myung-Jo You
Parasites Hosts Dis 2024;62(2):226-237.
Published online May 27, 2024
DOI: https://doi.org/10.3347/PHD.24015
Ticks, blood-sucking ectoparasites, spread diseases to humans and animals. Haemaphysalis longicornis is a significant vector for tick-borne diseases in medical and veterinary contexts. Identifying protective antigens in H. longicornis for an anti-tick vaccine is a key tick control strategy. Enolase, a multifunctional protein, significantly converts D-2-phosphoglycerate and phosphoenolpyruvate in glycolysis and gluconeogenesis in cell cytoplasm. This study cloned a complete open reading frame (ORF) of enolase from the H. longicornis tick and characterized its transcriptional and silencing effect. We amplified the full-length cDNA of the enolase gene using rapid amplification of cDNA ends. The complete cDNA, with an ORF of 1,297 nucleotides, encoded a 432-amino acid polypeptide. Enolase of the Jeju strain H. longicornis exhibited the highest sequence similarity with H. flava (98%), followed by Dermacentor silvarum (82%). The enolase motifs identified included N-terminal and C-terminal regions, magnesium binding sites, and several phosphorylation sites. Reverse transcription-polymerase chain reaction (RT-PCR) analysis indicated that enolase mRNA transcripts were expressed across all developmental stages of ticks and organs such as salivary gland and midgut. RT-PCR showed higher transcript levels in syn-ganglia, suggesting that synganglion nerves influence enolase,s role in tick salivary glands. We injected enolase double-stranded RNA into adult unfed female ticks, after which they were subsequently fed with normal unfed males until they spontaneously dropped off. RNA interference significantly (P<0.05) reduced feeding and reproduction, along with abnormalities in eggs (no embryos) and hatching. These findings suggest enolase is a promising target for future tick control strategies.

Citations

Citations to this article as recorded by  Crossref logo
  • Comprehensive antigen identification and comparative analysis: significant approaches for controlling Haemaphysalis longicornis ticks
    Md. Samiul Haque, Bumseok Kim, Myung-Jo You
    Journal of Veterinary Science.2025;[Epub]     CrossRef
  • Microbiome Composition of Haemaphysalis flava in Korea and Diversity Analysis Based on Region, Developmental Stage, and Sex
    Min Kyu Sang, Jie eun Park, Dae Kwon Song, Jun Yang Jeong, Chan‐Eui Hong, Hyeonjun Shin, Hyeok Lee, Kyoung Won Lee, Hee Ju Hwang, Hyun woo Kim, Seong Yoon Kim, Wook‐Gyo Lee, So Young Park, Se Won Kang, Jung Han Park, Bharat Bhusan Patnaik, Sung‐Jae Cha, S
    Entomological Research.2025;[Epub]     CrossRef
  • Identification and knockdown effect of disulfide isomerase in the Haemaphysalis longicornis (Acari: Ixodidae)
    Md Samiul Haque, Bumseok Kim, Myung-Jo You
    Revista Brasileira de Parasitologia Veterinária.2025;[Epub]     CrossRef
  • 5,028 View
  • 54 Download
  • Crossref

Case Report

A case of disseminated strongyloidiasis diagnosed by worms in the urinary sediment
Young-Ha Lee
Parasites Hosts Dis 2024;62(2):238-242.
Published online May 27, 2024
DOI: https://doi.org/10.3347/PHD.23124
Strongyloidiasis is a chronic infection caused by the intestinal nematode parasite Strongyloides stercoralis and is characterized by a diverse spectrum of nonspecific clinical manifestations. This report describe a case of disseminated strongyloidiasis with urination difficulty, generalized weakness, and chronic alcoholism diagnosed through the presence of worms in the urinary sediment. A 53-year-old man was hospitalized for severe abdominal distension and urinary difficulties that started 7–10 days prior. The patient also presented with generalized weakness that had persisted for 3 years, passed loose stools without diarrhea, and complained of dyspnea. In the emergency room, approximately 7 L of urine was collected, in which several free-living female adult and rhabditiform larvae of S. stercoralis, identified through their morphological characteristics and size measurements, were detected via microscopic examination. Rhabditiform larvae of S. stercoralis were also found in the patient’s stool. During hospitalization, the patient received treatment for strongyloidiasis, chronic alcoholism, peripheral neurosis, neurogenic bladder, and megaloblastic anemia, and was subsequently discharged with improved generalized conditions. Overall, this report presents a rare case of disseminated strongyloidiasis in which worms were detected in the urinary sediment of a patient with urination difficulties and generalized weakness combined with chronic alcoholism, neurogenic bladder, and megaloblastic anemia.

Citations

Citations to this article as recorded by  Crossref logo
  • Current status and epidemiology of endemic parasitic infections in Korea as of 2026: a narrative review
    Sun Huh
    Journal of the Korean Medical Association.2026; 69(3): 240.     CrossRef
  • Tropical gastrointestinal infections of contemporary public health importance
    Carlos Seas, Pedro Legua
    Current Opinion in Infectious Diseases.2025; 38(5): 426.     CrossRef
  • 5,098 View
  • 70 Download
  • 2 Web of Science
  • Crossref
Brief Communications
Organ-specific Toxocara canis larvae migration and host immune response in experimentally infected mice
Min Seok Kim, Yan Jin, Se Joon Woo
Parasites Hosts Dis 2024;62(2):243-250.
Published online May 27, 2024
DOI: https://doi.org/10.3347/PHD.23125
We investigated organ specific Toxocara canis larval migration in mice infected with T. canis larvae. We observed the worm burden and systemic immune responses. Three groups of BALB/c mice (n=5 each) were orally administered 1,000 T. canis 2nd stage larvae to induce larva migrans. Mice were sacrificed at 1, 3, and 5 weeks post-infection. Liver, lung, brain, and eye tissues were collected. Tissue from 2 mice per group was digested for larval count, while the remaining 3 mice underwent histological analysis. Blood hematology and serology were evaluated and compared to that in a control uninfected group (n=5) to assess the immune response. Cytokine levels in bronchoalveolar lavage (BAL) fluid were also analyzed. We found that, 1 week post-infection, the mean parasite load in the liver (72±7.1), brain (31±4.2), lungs (20±5.7), and eyes (2±0) peaked and stayed constant until the 3 weeks. By 5-week post-infection, the worm burden in the liver and lungs significantly decreased to 10±4.2 and 9±5.7, respectively, while they remained relatively stable in the brain and eyes (18±4.2 and 1±0, respectively). Interestingly, ocular larvae resided in all retinal layers, without notable inflammation in outer retina. Mice infected with T. canis exhibited elevated levels of neutrophils, monocytes, eosinophils, and immunoglobulin E. At 5 weeks post-infection, interleukin (IL)-5 and IL-13 levels were elevated in BAL fluid. Whereas IL-4, IL-10, IL-17, and interferon-γ levels in BAL fluid were similar to that in controls. Our findings demonstrate that a small portion of T. canis larvae migrate to the eyes and brain within the first week of infection. Minimal tissue inflammation was observed, probably due to increase of anti-inflammatory cytokines. This study contributes to our understanding of the histological and immunological responses to T. canis infection in mice, which may have implications to further understand human toxocariasis.

Citations

Citations to this article as recorded by  Crossref logo
  • Histopathological changes, dynamics of macrophage polarization and deposition of type I and III collagen along the course of experimental hepatic toxocariasis
    Iman F. Abou-El-Naga, Eman Dorry Elkerdany, Rania G. Aly, Enas Mohammed Mostafa Zaytoun
    Experimental Parasitology.2026; 280: 109082.     CrossRef
  • Toxocara canis infections in mice: from subtle to severe consequences in 100 weeks
    Nicol Bernardová, Jan Novák, Chia-Kwung Fan, Libuše Kolářová, Marta Chanová
    Journal of Helminthology.2025;[Epub]     CrossRef
  • The association of seropositivity to Toxocara canis and Ascaris lumbricoides with blood group antigens
    Kravchun Pavlo Grigorovich, Leontyeva Frida Solomonivna, Povelichenko Olena Dmytrivna, Kadykova Olga Igorivna, Valentyna Dielievska
    Reviews and Research in Medical Microbiology.2025;[Epub]     CrossRef
  • Characteristics of Toxocara canis induced lung inflammation in C57BL/6 mice
    Janina Lekki-Jóźwiak, Justyna Karabowicz, Magdalena Paschall, Karolina Gregorczyk-Zboroch, Małgorzata Sobczak-Filipiak, Piotr Bąska, Irma Schabussova, Ewa Długosz
    Frontiers in Immunology.2025;[Epub]     CrossRef
  • Immunomodulatory and anti-fibrotic effects of Toxocara canis infection in a murine model of thioacetamide-induced chronic hepatic fibrosis
    Iman F. Abou-El-Naga, Eman Dorry Elkerdany, Rania G. Aly, Enas Mohamed Mostafa Zaytoun
    Acta Tropica.2025; 272: 107913.     CrossRef
  • 6,865 View
  • 100 Download
  • 5 Web of Science
  • Crossref
Species identification and pyrethroid resistance genotyping of recently resurgent Cimex lectularius and Cimex hemipterus in Korea
Susie Cho, Heung Chul Kim, Hoonsik Eom, Jae Rok Lee, Chung Hyun Ko, E-hyun Shin, Won Kyu Lee, Si Hyeock Lee, Ju Hyeon Kim
Parasites Hosts Dis 2024;62(2):251-256.
Published online May 27, 2024
DOI: https://doi.org/10.3347/PHD.24002
The global resurgence of bed bug infestations, exacerbated by increasing international travel, trade, and insecticide resistance, has significantly impacted Korea. This study identified the bed bug species and performed pyrethroid resistance genotyping of recently resurgent bed bugs in Korea. Thirty-one regional bed bug samples were collected from 5 administrative regions: Gyeonggi-do (n=14), Seoul (n=13), Busan (n=2), Jeonllanam-do (n=1), and Chungcheongbuk-do (n=1). The samples underwent morphological and molecular identification. Twenty-four regional samples (77.4%) were identified as the tropical bed bug, Cimex hemipterus, and the remaining 7 regional samples (22.6%) were identified as the common bed bug, Cimex lectularius. The C. hemipterus regional samples carried at least three mutations associated with knockdown resistance (kdr), including 2 super-kdr mutations. The 7 C. lectularius regional samples possessed at least one of the 3 kdr-related mutations associated with pyrethroid resistance. This study confirms that the prevalent bed bug species recently in Korea is C. hemipterus, replacing the previously endemic C. lectularius. Additionally, the rise in bed bug populations with pyrethroid resistance underscores the necessity of introducing alternative insecticides.

Citations

Citations to this article as recorded by  Crossref logo
  • Widespread fixation of kdr-associated mutations in temporal samples of Cimex lectularius collected from multi-unit buildings
    Jin-Jia Yu, Warren Booth, Changlu Wang
    Journal of Pest Science.2026;[Epub]     CrossRef
  • Efficacy of dust formulations against pyrethroid-resistant Cimex hemipterus and susceptible Cimex lectularius (Hemiptera: Cimicidae): influence of exposure pathways and cuticle-mediated tolerance
    Song-Xuan Lum, G Veera Singham, Zachary DeVries
    Journal of Economic Entomology.2026; 119(2): 1312.     CrossRef
  • Multiple mechanisms associated with deltamethrin and imidacloprid resistance in field-collected common bed bug, Cimex lectularius L.
    Jin-Jia Yu, Shao-Hung Lee, Chow-Yang Lee, Changlu Wang
    Pesticide Biochemistry and Physiology.2025; 210: 106357.     CrossRef
  • Global Perspective of Insecticide Resistance in Bed Bugs and Management Options
    Chow‐Yang Lee
    Entomological Research.2025;[Epub]     CrossRef
  • Molecular identification and knockdown resistance mutation of bed bugs involved in 2019 outbreak in Cape Coast, Ghana and Munich, Germany
    Andreas A. Kudom, Philipp Hanke, Joana Ayettey, Rofela Combey, Ben A. Mensah, Benjamin Anderson, Andreas Wieser
    Acta Tropica.2025; 265: 107623.     CrossRef
  • Toxicity of ivermectin to bed bugs (Cimex hemipterus) and risk factors associated with infestation in Kwale County, coastal Kenya
    Tobias Odongo, Isaiah Omondi, Caroline Wanjiku, Miguel Okoko, Caroline Kiuru, Mercy Kariuki, Isaac Ringera, Bruno Otieno, Festus Mure, Joanna Furnival-Adams, Almudena Sanz Gutierrez, Rachel Otuko, Nelly Regina Rabinovich, Joseph Mwangangi, Carlos Chaccour
    Parasites & Vectors.2025;[Epub]     CrossRef
  • Current status of bed bug Cimex lectularius (Hemiptera: Cimicidae) infestation and prevalence of insecticide-resistant amino acid substitutions in Osaka Prefecture, Japan
    Maaya Sasaki
    Medical Entomology and Zoology.2025; 76(2): 45.     CrossRef
  • Development of molecular diagnostic protocols for simultaneous identification of common bed bugs (Cimex lectularius) and tropical bed bugs (Cimex hemipterus)
    Jeong Heum Han, Junhyeong Choi, Susie Cho, Si Hyeock Lee, Ju Hyeon Kim
    Parasites & Vectors.2024;[Epub]     CrossRef
  • 2023–2024년 국내에서 발생한 빈대의 분포 조사
    기훈 김, 선란 조, 희일 이
    Public Health Weekly Report.2024; 17(45): 1956.     CrossRef
  • 4,688 View
  • 91 Download
  • 7 Web of Science
  • Crossref