Skip to main navigation Skip to main content
  • KSPTM
  • E-Submission

PHD : Parasites, Hosts and Diseases

OPEN ACCESS
ABOUT
BROWSE ARTICLES
FOR CONTRIBUTORS

Articles

Original Article

Mitochondrial genome characterization of the stomach nematode Mastophorus muris (Nematoda: Spiruroidea) and phylogenetic relationships with nematodes

Parasites, Hosts and Diseases 2026;64(2):112-122.
Published online: April 6, 2026

1The Academy of Animal and Veterinary Sciences, Qinghai University, Xining, China

2Qinghai Provincial Key Laboratory of Pathogen Diagnosis for Animal Disease and Green Technical Research for Prevention and Control, Xining, China

*Correspondence: jianyingna1127@163.com

Jian Y. Mitochondrial genome characterization of the stomach nematode Mastophorus muris (Nematoda: Spiruroidea) and phylogenetic relationships with nematodes. Parasites Hosts Dis 2026;64(2):112-122.

• Received: August 20, 2025   • Accepted: December 4, 2025

© 2026, Korean Society for Parasitology and Tropical Medicine

This is an Open Access article distributed under the terms of the Creative Commons Attribution Non-Commercial License (http://creativecommons.org/licenses/by-nc/4.0) which permits unrestricted non-commercial use, distribution, and reproduction in any medium, provided the original work is properly cited.

  • 601 Views
  • 16 Download
prev next
  • Mastophorus muris is a prevalent nematode parasite of rodents that can cause pathogenic manifestations or mortality. As the only 1 species in the genus Mastophorus and the sole member of the family Spirocercidae, its biology, molecular identification, and population genetic structure remain poorly studied. In this study, the complete mitochondrial genome of M. muris was fully assembled and annotated through high-fidelity next-generation sequencing for the first time, to resolve its molecular architecture with nucleotide-level precision. The 13,668 bp mitogenome encodes 36 genes, including 12 protein-coding genes (PCGs), 22 transfer RNAs, and 2 ribosomal RNAs (s-rRNA and l-rRNA). The 10,384 bp PCGs account for 76.0% of the mitogenome, with AT (71.7%) and GC (28.3%) contents, AT skew (-0.494) and GC skew (0.477), indicating pronounced nucleotide bias. Analysis of 12 PCGs revealed that TTG, ATT, ATA, or GTG were the common start codons. TAA was the predominant termination codon, while some PCGs (cob, nad1, and nad3) were deduced to end with an incomplete codon T. T-rich codons such as TTT-Phe (16.3%), TTG-Leu (8.5%), GTT-Val (6.7%), ATT-Ile (6.3%), TAT-Tyr (5.6%), TTA-Leu (4.6%), and TCT-Ser (4.3%) were used more frequently. Phylogenetic analysis using the concatenated nucleotide sequences of 12 PCGs, and the NJ tree analysis results showed that M. muris was more closely related to the genus Gongylonema, which indicated that the family Spirocercidae was more closely associated with Gongylonematidae. This study provides valuable mitogenomic data for nematode phylogeny, diagnostics, population genetics, and comparative mitogenomics.
The stomach nematode Mastophorus muris (Gmelin, 1790) (Nematoda: Spiruroidea) is a cosmopolitan and important parasitic pathogen of wild and urban rodents (voles and rats), and even other less frequent hosts (marsupials and carnivores) [1]. The genus M. muris (Gmelin, 1790) was identified as nematode based on morphological similarities. The M. muris body is elongated, medium in size, tail is coiled with a lateral lip on the head, with a keratinized mouth capsule and unequal copulatory spicule [2]. While the life-cycles of all species in the family Spirocercidae involve 2 hosts, namely definitive and intermediate hosts. The life cycle of Mastophorus spp. is indirect, with various insects (e.g., cockroaches, flour beetles, locusts, dipterans, and earwigs) acting as intermediate hosts. The infective larvae after being ingested by definitive hosts (e.g., rodents, rats, and voles), where it will develop into gravid adults in the stomach in 28 days [3]. The breeding adult nematodes will shed their eggs inside the definitive hosts’ stomach, and these will be released into the open environment along with the definitive hosts’s faeces. The intermediate hosts (insects) will ingest the eggs, and then the larvae are developed, the definitive hosts will consume the intermediate hosts, thus continuing the life cycle of the Mastophorus spp. nematode. In the current classification, the family Spirocercidae includes 6 genera, such as Ascarops (1 species), Cylicospirura (3 species), Mastophorus (1 species and 7 unclassified species), Physocephalus (2 species and 1 unclassified species), Spirobakerus (1 species), Streptopharagus (1 species and 1 unclassified species). The number of genera is so large and with a rich variety of species, but there are few studies investigating the phylogeny of the Spirocercidae including Mastophorus.
Molecular biology tools have been used to study the phylogenetic relationships among groups of Spiruroidea nematodes [4]. However, the limited availability of sequence data (amounts and length of sequences) has greatly hampered studies of the phylogenetic relationships among families in the order Spirocercidae. Compared to some genes (18S rRNA, 12S rRNA, and cox1 gene), the complete mitochondrial DNA sequences are more appropriate and informative at the generic level [5]. Complete mitochondrial DNA sequences can provide information not only about individual and combined mitochondrial genes, but also about the order of the genes [6]. Mitochondrial gene rearrangements are generally rare events that occur over long evolutionary periods, although mitochondrial sequences evolve rapidly in metazoans [7]. Relative gene rearrangements found in a group of species (insects and crustaceans) are considered evidence of a closer relationship among them [8]. In fact, the use of gene rearrangement comparisons as a phylogenetic tool has been well discussed [9], and has been used to analyse several evolutionary relationships in insects (Aleurodicus rugioperculatus [10] and Pachyneuron aphidis [11]), primate species [12], birds [13]. However, only 1 complete nematode mitochondrial genome sequences (G. pulchrum NC_026687.1) are available for species of the order Spiruroidea in the National Center for Biotechnology Information (NCBI) database and no complete mitochondrial genome was available in the family Spirocercidae until now.
Overall, the present study aimed to characterize the complete mitochondrial genome of M. muris, the first representative of the family Spirocercidae; to compare its mitochondrial gene content, arrangement with those of other nematodes; and to infer the phylogenetic position of M. muris in relation to other nematodes based on the concatenated mitochondrial amino acid sequences.
Ethics statement
In the present study, no prior permission was required for the collection as the species (parasite host) is neither endangered nor protected in IUCN Red List or Law of the People’s Republic of China on the Protection of Wildlife. Furthermore, we followed all the applicable international, national, and/or institutional guidelines for the care and use of animals during experiment.
Sample collection, and DNA extraction
The individual parasitic nematode specimen of M. muris was collected in Qinghai vole (Neodon fuscus) from Maqin County, Qinghai Province, located in the Three Rivers Source Region of the Qinghai-Tibetan Plateau, China in August 2022. The morphological traits of the parasite specimen were promptly recognized by the Academy of Animal and Veterinary Sciences, Qinghai University, and then they were immediately preserved in 100% ethanol during collection and stored at -80 ℃ until DNA extraction. Total genomic DNA was extracted from the parasite body using the TlANamp Genomic DNA Kit (Tiangen Biotech) according to the manufacturer’s instructions. The quality of extracted DNA was detected by electrophoresis and ultraviolet spectrophotometer—specifically the NanoDrop 2000 (Thermo Fisher Scientific), and the genomic DNA was stored at -20℃ until PCR amplification.
PCR amplification identification and sequencing
In order to identify the suspected parasitic nematode, a fragment from the cytochrome c oxidase subunit 1 (cox1) was amplified with primers cox1F (5'-CTCGTGTTAATGCTTTGTCTTTTT-3') and cox1R (5'-AGCAGTACTCAAAATAATACCTCTT-3'), and another from the 18S rRNA gene was amplified with primers 18S F1 (5'-TGGATAACTGTGGTAATTCTAGAGC-3') and 18S R1 (5'-TTAATGATCCTTCCGCAGGT-3'). The PCR was performed on Nexus GX2 Thermal Cycler (Eppendorf) in 50.0 μl reaction volumes containing 2.0 μl of template DNA, 2.0 μl of each primer (10 μmol/L), 25.0 μl TaKaRa PrimeSTAR Max Premix (2×), and 19.0 μl sterilized distilled water. Condition for PCR amplification was as follows: an initial denaturation for 5 min at 98°C followed by 35 cycles of denaturation for 20 sec at 98°C, annealing for 30 sec at 54°C and extending for 2 min at 72°C, finally reactions were held at 72°C for 10 min. The PCR products were assessed through electrophoresis in 1.5% agarose gel, stained with GelStain, and photographed under ultraviolet light, and then the PCR products were sequenced and aligned using BLAST in NCBI database to identify the parasite species.
Mitochondrial genome sequencing and assembly
After precise identification of the parasite species, the mitogenomes of M. muris were sequenced by next-generation sequencing on the illumina HiseqXten/Novaseq/MGI2000 System (Genewiz Biotechnology). Raw sequences data were performed with quality control and then the clean data were de novo assembled by the NOVOPlasty software [14]. The MITOS2 gene-finding software had been used for finding coding genes [15]. tRNAs were detected in the genome using the program tRNAscan-SE with default parameter settings [16]. Furthermore, rRNA and tRNAs were identified by using RNAmmer [17]. We also compared the assembled genome with the previous 2 confirmed sequences by PCR and Sanger sequencing methods to evaluate the single-base accuracy of the assembled mitogenome.
Sequence analysis and gene annotation
The genes sequences were annotated with NCBI nr database by Nucleotide BLAST (https://blast.ncbi.nlm.nih.gov/Blast.cgi) and by comparison with G. pulchrum (NC_026687.1) and Spirocerca lupi (NC_021135.1) to ensure that the sequences were correct. The locations of the protein-coding genes (PCGs) were identified using ORF Finder via NCBI and MITOS WebServer (http://mitos2.bioinf.uni-leipzig.de/index.py) comparing with the selection of invertebrate mitochondrial genetic code by the default settings. The ClustalX program was used to observe and identify the start/stop codon of PCGs, especially, the abnormal start/stop codons were identified and manually corrected once again on the basis of comparison with other nematode species [18]. The MEGA X was used to align the PCGs with other nematode species, and then the relative synonymous codon usage (RSCU) was also obtained, noteworthily, the incomplete codons were removed when the RSCU was calculated using PCGs [19]. In addition, the boundaries of rRNA genes were determined based on the locations of adjacent tRNA genes and by alignment with homologous genes of other related nematodes using DNAMAN version 8.0 (Lynnon Biosoft). The composition skew values were calculated according to the following formulae: AT skew=(A-T)/(A+T) and GC skew=(G-C)/(G+C) [20], where A, T, G, and C denoted the percentages of the 4 bases [21]. Functional annotations were performed using protein sequence similarity BLAST searches with the typical cut-off E-value of 10-5 against several publicly available protein databases: the NCBI non-redundant protein database, Swiss-Prot, Clusters of Orthologous Groups, and Gene Ontology terms [22]. The secondary cloverleaf structures of tRNAs were predicted using the MITOS WebServer (http://mitos2.bioinf.uni-leipzig.de/index.py). The tandem repeats in A+T-rich regions were predicted using the Tandem Repeats Finder program(http://tandem.bu.edu/trf/trf.basic.submit.html). The graphical map of the complete mitochondrial genome was drawn using the online mitochondrial visualization tool Organellar Genome DRAW [23]. The overlapping and intergenic spacer regions were examined manually. The assembled mitogenome with gene features was submitted to GenBank: Bankit (NCBI) to get the accession number (https://www.ncbi.nlm.nih.gov/WebSub/).
Phylogenetic and gene arrangement analysis
To reconstruct phylogenetic trees for the estimation of M. muris taxonomic status, 32 available nematode species mitogenomes were retrieved and downloaded from the GenBank, and used in the present study along with newly generated M. muris sequence. In addition, the mitogenome of Schistosoma mansoni (NC_002545.1, Trematoda) were used as the outgroup and included in each analysis. Phylogenetic analyses were performed using the concatenated nucleotide sequences of all the 12 PCGs and 2 rRNAs. Subsequently, the nucleotide sequences were concatenated into a single alignment and converted into phylip and nexus format files for phylogenetic analyses, which were performed using Neighbor-Joining tree method. Comparative analyses were carried out using the MEGA software (version 5.0), by comparing the distribution of the arrangement of individual genes in this order, in particular, the arrangement of tRNA genes among the PCGs.
Morphological characteristics observation
The parasitic nematode was collected from the stomach of Qinghai voles and examined under a stereomicroscope. The worms were elongated and medium sized, reaching up to 80.0 mm in length. The tail was coiled, the head bore lateral lips, and a keratinized buccal capsule and unequal copulatory spicules were present. Females were considerably larger than males, lacked a copulatory bursa, and possessed prominent caudal alae. The right spicule was long and blunt, while the left was shorter and pointed, consistent with previous morphological descriptions [1].
Molecular identification
Genomic DNA was extracted from the nematode and subjected to PCR amplification targeting the cox1 and 18S rRNA genes. Two distinct bands of approximately 797 bp and 1,664 bp were obtained, matching the expected amplicon sizes. Following sequencing, BLAST searches against GenBank revealed high sequence identities with M. muris: 98.3% for cox1 (MG821081.2) and 99.8% for 18S rRNA (MG818763.2). These results confirmed that the nematode isolate was M. muris.
Structure of the complete mitochondrial genome
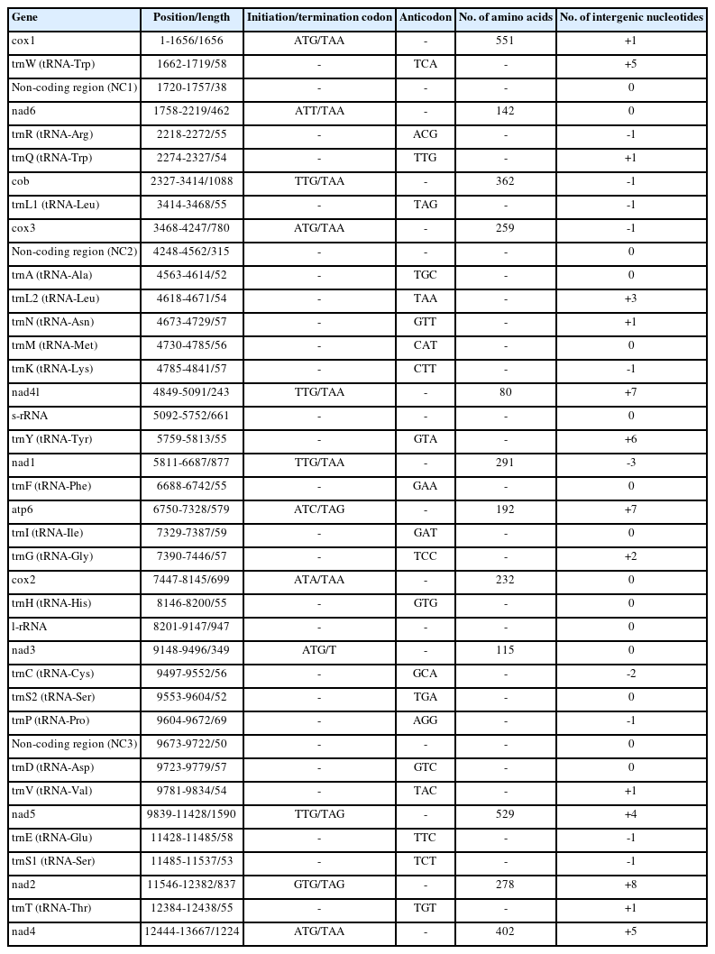
The complete mitochondrial genome of M. muris was a circular double-stranded DNA molecule13,668 bp in length (GenBank accession No. NC_085209.1). It encoded 36 genes: 12 PCGs (cox1–3, nad1–6, cob, nad4L, and atp6), 2 ribosomal RNA genes (s-rRNA and l-rRNA), 22 transfer RNA genes (tRNAs), and non coding control regions (Fig. 1; Table 1). Similar to other nematode and flatworm mitogenomes, the atp8 gene was absent [20]. All genes were transcribed unidirectionally from the plus strand. The nucleotide composition was 21.1% A, 52.0% T, 7.1% C, and 19.8% G, with an overall AT content of 73.1% and GC content of 26.9%. The mitogenome exhibited negative AT skew (-0.422) and positive GC skew (0.470).
Protein coding genes, initiation and termination codons
The 12 PCGs spanned 10,384 bp, accounting for 76.0% of the total mitogenome (Table 2). The AT and GC contents were 71.7% and 28.3%, respectively (Table 3). The AT skew was -0.494 and the GC skew was 0.477, indicating strong nucleotide compositional bias (Table 4).
Six PCGs (cob, nad4L, nad1, nad3, nad4, and nad5) used TTG as the initiation codon, 2 (cox1 and cox3) used ATG, 1 (nad6) used ATT, 1 (atp6) used ATC, 1 (cox2) used ATA, and 1 (nad2) used GTG. Nine PCGs terminated with complete stop codons (TAA or TAG), whereas cob, nad1, and nad3 ended with the incomplete stop codon T. The lengths of the deduced proteins were comparable to those of other nematodes (Table 2).
Several overlaps were detected: 1-bp overlaps between trnM-trnK, trnS2-trnP, trnE-trnS1, cox3-trnL1, and nad5-trnE; 2-bp overlaps between nad6-trnR and nad3-trnC; and a 3-bp overlap between trnY-nad1.
Ribosomal and transfer RNA genes
The large ribosomal RNA (l-rRNA) was located between trnH and nad3, and the s-rRNA gene between nad4L and trnY (Table 1). Their lengths were 947 bp and 641 bp, respectively. A total of 22 tRNA genes were identified, ranging from 52 to 69 bp, with a cumulative length of 1,230 bp (excluding overlaps), representing ~9.0% of the mitogenome. The AT content was 76.9%, with negative AT skew (-0.184) and positive GC skew (0.488). Gene order was identical to that of S. lupi and Setaria digitata. Twenty tRNAs displayed the typical TV replacement loop structure, while trnS1 and trnS2 lacked the DHU loop but retained the TΨC loop.
Relative synonymous codon usage
RSCU was analyzed for the 12 PCGs (Table 5; Supplementary Table S1). Among the 64 possible codons, 62 were used; CAC (His) and CGC (Arg) were absent. T-rich codons, including TTT (Phe), TTG (Leu), GTT (Val), ATT (Ile), TAT (Tyr), TTA (Leu), and TCT (Ser), were strongly preferred. Codons with high C content were markedly underrepresented. This pattern reflected a strong codon usage bias toward T in the M. muris mitogenome.
Phylogenetic analysis
Phylogenetic trees were constructed using the neighbor joining method based on concatenated nucleotide sequences of 12 PCGs plus 2 rRNA genes from M. muris and 30 other Spiruromorpha species (Figs. S1-S14). The phylogenetic topology showed that M. muris clustered closely with G. pulchrum (Gongylonematidae, Spiruroidea) with high support (Fig. 2). Members of Spirocercidae and Gongylonematidae formed a monophyletic group within Spiruroidea, which was paraphyletic with respect to Tetrameridae (Habronematoidea) and Thelaziidae (Thelazioidea).
Single gene phylogenetic analyses revealed that cox1, cox3, cob, nad1, nad4, nad4L, nad5, nad6, l-rRNA, and s-rRNA produced relatively stable topologies. Notably, nad1, nad4, nad4L, and s-rRNA recovered a tree topology identical to that based on the full mitogenome dataset.
Although morphological characteristics observed in the present study were consistent with previous descriptions, accurate species level identification of parasitic nematodes based solely on gross morphology remains difficult due to high morphological similarity and phenotypic plasticity among related taxa [1]. Molecular identification provides higher accuracy and resolution than traditional morphological approaches, and thus represents a more reliable tool for species delimitation.
In the present study, the nematode isolated from the stomach of Qinghai voles was molecularly identified as M. muris based on high sequence identities of cox1 and 18S rRNA genes. At the time of writing, only one complete mitochondrial genome was available for species of the superfamily Spiruroidea in the NCBI database (G. pulchrum, NC_026687.1), and no mitochondrial genome had been reported for the family Spirocercidae. Therefore, characterization of the M. muris mitogenome fills an important taxonomic gap and enriches the mitochondrial genomic resources for Spirocercidae.
The M. muris mitogenome exhibits several typical features of nematode mitogenomes, including the absence of the atp8 gene, unidirectional transcription of all genes from the same strand, and high AT content [20]. Incomplete stop codons (T) detected in three PCGs are commonly observed in nematode mitochondrial genomes and are believed to be completed to TAA via post transcriptional polyadenylation [24-29]. Gene overlaps between tRNA genes are common in metazoan mitogenomes [30,31]; however, overlaps between protein coding genes and tRNA genes are relatively rare, but have been reported in some flatworms and other helminths [6,32].
The M. muris mitogenome displays a strong codon usage bias toward T-rich codons and low usage of C-rich codons, a pattern widely observed in spirurid nematodes such as Dirofilaria immitis, S. digitata, Onchocerca volvulus, and Brugia malayi [27,33,34]. This conserved bias likely reflects strong mutational pressure and selection associated with the high AT content typical of nematode mitogenomes.
Most tRNA genes of M. muris possess the typical TV replacement loop, whereas trnS1 and trnS2 lack the DHU arm, a common feature in nematodes [24,35]. The gene order and arrangement are highly similar to those of S. lupi and S. digitata [33], supporting conserved mitochondrial architecture within Spiruromorpha.
Phylogenetic analysis based on concatenated mitochondrial sequences showed that M. muris clusters closely with G. pulchrum with high nodal support. Members of Spirocercidae and Gongylonematidae formed a monophyletic group within Spiruroidea, which was paraphyletic with respect to Tetrameridae (Habronematoidea) and Thelaziidae (Thelazioidea). These results are consistent with recent mitochondrial phylogenomic studies of Spiruromorpha and challenge traditional morphology based classification systems.
Single gene phylogenetic analyses revealed that nad1, nad4, nad4L, and s-rRNA produced topologies highly consistent with the full mitogenome dataset. These genes may serve as suitable molecular markers for species identification and phylogenetic analysis of Spiruroidea, although wider validation is needed with increased taxon sampling, particularly for the genus Mastophorus [27,33,35].
In conclusion, this study presents the first complete mitochondrial genome of M. muris, representing the first mitogenome for the family Spirocercidae. Comparative and phylogenetic analyses improve our understanding of the systematic relationships, genome evolution, and codon usage patterns within Spiruromorpha. This mitogenome provides a valuable resource for developing molecular diagnostic tools, studying population genetics, and exploring host–parasite co evolution and adaptive diversification in spirurid nematodes.

Data availability

Sequence data that support the findings of this study have been deposited in the GenBank with the primary accession number NC_085209.1.

Author contributions

Conceptualization: Jian Y. Formal analysis: Jian Y. Funding acquisition: Jian Y. Investigation: Jian Y. Methodology: Jian Y. Resources: Jian Y. Writing – original draft: Jian Y. Writing – review & editing: Jian Y.

Conflict of interest

The authors have no conflicts of interest to declare.

Funding

This study was supported by the Base and Talent Project of the Department of Science and Technology of the Tibet Autonomous Region (XZ202401JD0012), Project for Transformation of Scientific and Technological Achievements of the Key Research and Development, and Transformation Programmes of the Qinghai Provincial Science and Technology Department (2023-NK-135), Qinghai Province “Kunlun Talents ⋅ Highend Innovation and Entrepreneurial Talents” Top Talent Project (No. 2024) and National Natural Science Foundation of China (No. 32360889).

Acknowledgments

The author is grateful to the rodent extermination worker for helping with collecting the nematode samples.

Supplementary material is available with this article at https://doi.org/10.3347/PHD.25064.
Fig. 1.
The mitochondrial genome of Mastophorus muris. Genome organization of the complete mitochondrial genome of M. muris is a circular DNA molecule containing 36 genes. All genes are coded by the same DNA strand and are transcribed in the same direction. Protein-coding and rRNA genes are shown with the standard nomenclature. Gene scaling is approximate.
PHD-25064f1.jpg
Fig. 2.
Phylogenetic relationships among 30 species of selected Spiruromorpha nematodes inferred from neighbor-joining method of nucleotide sequences of 12 mitochondrial protein-coding genes. Schistosoma mansoni was used as the outgroup. Black dots represented Mastophorus muris.
PHD-25064f2.jpg
Table 1.
Summary data for the annotated mitochondrial genome of Mastophorus muris
Table 1.
Gene Position/length Initiation/termination codon Anticodon No. of amino acids No. of intergenic nucleotides
cox1 1-1656/1656 ATG/TAA - 551 +1
trnW (tRNA-Trp) 1662-1719/58 - TCA - +5
Non-coding region (NC1) 1720-1757/38 - - - 0
nad6 1758-2219/462 ATT/TAA - 142 0
trnR (tRNA-Arg) 2218-2272/55 - ACG - -1
trnQ (tRNA-Trp) 2274-2327/54 - TTG - +1
cob 2327-3414/1088 TTG/TAA - 362 -1
trnL1 (tRNA-Leu) 3414-3468/55 - TAG - -1
cox3 3468-4247/780 ATG/TAA - 259 -1
Non-coding region (NC2) 4248-4562/315 - - - 0
trnA (tRNA-Ala) 4563-4614/52 - TGC - 0
trnL2 (tRNA-Leu) 4618-4671/54 - TAA - +3
trnN (tRNA-Asn) 4673-4729/57 - GTT - +1
trnM (tRNA-Met) 4730-4785/56 - CAT - 0
trnK (tRNA-Lys) 4785-4841/57 - CTT - -1
nad4l 4849-5091/243 TTG/TAA - 80 +7
s-rRNA 5092-5752/661 - - - 0
trnY (tRNA-Tyr) 5759-5813/55 - GTA - +6
nad1 5811-6687/877 TTG/TAA - 291 -3
trnF (tRNA-Phe) 6688-6742/55 - GAA - 0
atp6 6750-7328/579 ATC/TAG - 192 +7
trnI (tRNA-Ile) 7329-7387/59 - GAT - 0
trnG (tRNA-Gly) 7390-7446/57 - TCC - +2
cox2 7447-8145/699 ATA/TAA - 232 0
trnH (tRNA-His) 8146-8200/55 - GTG - 0
l-rRNA 8201-9147/947 - - - 0
nad3 9148-9496/349 ATG/T - 115 0
trnC (tRNA-Cys) 9497-9552/56 - GCA - -2
trnS2 (tRNA-Ser) 9553-9604/52 - TGA - 0
trnP (tRNA-Pro) 9604-9672/69 - AGG - -1
Non-coding region (NC3) 9673-9722/50 - - - 0
trnD (tRNA-Asp) 9723-9779/57 - GTC - 0
trnV (tRNA-Val) 9781-9834/54 - TAC - +1
nad5 9839-11428/1590 TTG/TAG - 529 +4
trnE (tRNA-Glu) 11428-11485/58 - TTC - -1
trnS1 (tRNA-Ser) 11485-11537/53 - TCT - -1
nad2 11546-12382/837 GTG/TAG - 278 +8
trnT (tRNA-Thr) 12384-12438/55 - TGT - +1
nad4 12444-13667/1224 ATG/TAA - 402 +5
Table 2.
Properties of protein-coding genes, length of the mt genomes and rRNA genes and AT content of nematode mt genomes
Table 2.
Gene Species
B. m. W. b. M. p. C. m. C. l. S. d. G. p. H. l. S. l. M. m.
No. of aa
cox1 548 548 550 548 517 548 550 530 551 551
nad6 158 150 142 145 157 149 143 145 152 153
cob 362 362 362 360 365 360 354 362 351 362
cox3 259 259 259 258 253 259 257 258 259 259
nad4l 71 80 77 88 77 80 75 77 75 80
nad1 292 292 292 290 286 299 290 289 292 291
atp6 193 193 194 191 222 193 188 192 194 192
cox2 232 233 233 231 226 232 230 231 229 232
nad3 94 112 81 112 111 113 113 108 111 107
nad5 512 531 516 531 526 531 527 529 530 529
nad2 273 281 278 275 272 284 276 282 280 278
nad4 409 409 413 405 407 409 402 408 401 407
Length of rRNA gene (bp)
s-rRNA 672 672 665 571 709 672 681 682 688 661
l-rRNA 1034 972 1016 765 937 971 965 973 987 947
Deduced initiation codon
cox1 ATT ATT ATG AAT TTG ATT ATG ATT ATG ATG
nad6 TTG --- GTG ATT ATT TTG ATT ATA TTG ATT
cob ATT ATT ATG GTG ATT ATT ATT ATT ATG TTG
cox3 ATT ATT ATT TTG ATT ATA TTG ATT ATT ATG
nad4l TTG GTA TTG TTG TTG TTG TTG ATA ATG TTG
nad1 TTG TTG TTG ATT TTG TTG TTG TTG TTG TTG
atp6 ATT ATA ATT TTG TTG TTT TTG ATT ATT ATC
cox2 ATT ATT ATT TTG TTG ATT ATG ATT ATG ATA
nad3 ATA CTT ATG ATT TTG TTT GTG ATA TTG TTG
nad5 TTG TTT ATA TTT TTG TTT TTG ATT TTG TTG
nad2 ATG TTA TTG ATT GTG TTT ATT TTG TTG GTG
nad4 TTG TTG TTG ATT ATG ATG ATT ATA TTG TTG
Deduced termination codon
cox1 TAG TAA TAA TAA TAG TAG TAA TAA TAA TAA
nad6 TAA TAA TAG TAA TAA TAA TAA TAA TAA TAA
cob GTT TAA TAA TAA TAA TAA TAA TAA TAA T
cox3 TAA TAA TAA TAA TAA TAA TAA TAA TAA TAA
nad4l TAA TAA TAG TAG TAA TAA TAA TAA TAG TAA
nad1 TAA TAA TAA TAA TAG TAA TAA TAA TAA T
atp6 TAG TAG TAA TAA TAA TAG TAA TAG TAA TAG
cox2 TAA TAA TAG TAA TAA TAG TAA TAA TAA TAA
nad3 TAG TAA TAA TAA TAA TAA TAA TAG TAA T
nad5 TAG TAG TAA TAA TAA TAG TAA TAG TAA TAG
nad2 TTT TAA TAA TAA TAA TAG TAG TAA TAG TAG
nad4 TAA TAA TAG TAA TAG TAA TAA TAA TAG TAA
Length of mt genome (bp) 13658 13635 13619 13604 18935 13839 13798 13610 13804 13668
AT content of complete mt genome (%) 75.5 74.6 74.1 75.0 75.9 75.1 76.0 79.1 74.4 73.1

Results obtained from GenBank accessions.

B. m., Brugia malayi; W. b., Wuchereria bancrofti; M. p., Mansonella perstans; C. m., Crassicauda magna; C. l., Camallanus lacustris; S. d., Setaria digitata; G. p., Gongylonema pulchrum; H. l., Heliconema longissimum; S. l., Spirocerca lupi; M. m., Mastophorus muris.

Table 3.
Comparison of A+T content (%) of gene and region of the mt genomes of Spiruromorpha nematode species, including Mastophorus muris
Table 3.
Gene Species
B. m. W. b. M. p. C. m. C. l. S. d. G. p. H. l. S. l. M. m.
cox1 67.9 (1119) 67.7 (1115) 67.2 (1110) 67.2 (1106) 65.3 (1014) 69.1 (1138) 68.6 (1134) 71.7 (1142) 67.4 (1116) 67.6 (1120)
nad6 81.6 (389) 80.0 (361) 77.4 (332) 82.7 (362) 73.4 (348) 82.4 (371) 81.0 (350) 81.7 (358) 77.3 (355) 77.3 (357)
cob 74.2 (806) 72.7 (791) 73.2 (796) 72.6 (785) 70.2 (769) 72.3 (782) 74.7 (796) 79.3 (862) 72.8 (767) 72.6 (790)
cox3 72.8 (568) 74.3 (579) 74.4 (580) 73.1 (568) 69.6 (529) 72.6 (566) 73.0 (565) 75.9 (590) 70.6 (551) 71.3 (556)
nad4l 81.0 (175) 80.7 (196) 75.6 (177) 76.4 (204) 75.6 (177) 76.8 (185) 77.6 (177) 82.1 (192) 78.5 (179) 76.1 (185)
nad1 73.7 (646) 72.5 (636) 73.2 (642) 72.9 (636) 68.6 (591) 72.8 (655) 73.0 (636) 75.7 (657) 75.0 (659) 70.2 (616)
atp6 75.3 (438) 76.6 (446) 73.7 (431) 75.6 (434) 70.6 (471) 74.2 (432) 78.6 (444) 77.9 (451) 75.2 (440) 72.9 (422)
cox2 69.2 (484) 70.6 (494) 68.2 (479) 68.8 (479) 65.8 (447) 69.4 (485) 71.6 (495) 74.7 (520) 69.0 (475) 67.2 (470)
nad3 77.9 (222) 76.9 (259) 75.4 (184) 76.9 (259) 72.2 (241) 77.1 (262) 82.9 (282) 83.2 (272) 81.0 (272) 77.4 (270)
nad5 74.1 (1141) 74.7 (1192) 73.1 (1134) 74.8 (1193) 73.2 (1157) 74.8 (1194) 75.0 (1186) 78.9 (1255) 73.1 (1163) 71.6 (1138)
nad2 77.1 (632) 75.7 (639) 75.7 (632) 79.5 (658) 73.3 (599) 76.5 (654) 77.9 (647) 82.9 (704) 74.9 (631) 74.6 (624)
nad4 76.7 (943) 73.9 (908) 75.9 (942) 76.9 (936) 71.9 (880) 76.9 (946) 76.2 (933) 80.4 (986) 74.5 (898) 73.6 (901)
PCGs 73.9 (7563) 73.4 (7616) 72.8 (7439) 73.8 (7620) 70.3 (7223) 73.7 (7670) 74.5 (7645) 77.8 (7989) 72.8 (7506) 71.7 (7449)
Complete mt genome 75.5 (10314) 74.6 (10170) 74.1 (10090) 75.0 (10198) 75.9 (14371) 75.1 (10398) 76.0 (10479) 79.1 (10767) 74.4 (10268) 73.1 (9991)

Values are presented as A+T content (%) and length (bp). Results obtained from GenBank accessions.

B. m., Brugia malayi (MT149211.1); W. b., Wuchereria bancrofti (JN367461.1); M. p., Mansonella perstans (MT361687.1); C. m., Crassicauda magna (OQ834322.1); C. l., Camallanus lacustris (NC_070137.1); S. d., Setaria digitata (NC_014282.1); G. p., Gongylonema pulchrum (NC_026687.1); H. l., Heliconema longissimum; S. l., Spirocerca lupi (MK922357.1); M. m., Mastophorus muris (NC_085209.1); PCGs, protein-coding genes.

Table 4.
Nucleotide content and skewness (AT-skew/GC-skew) of Spiruromorpha mitochondrial PCGs and rRNAs, including Mastophorus muris
Table 4.
Gene Species (AT-skew/GC-skew)
B. m. W. b. M. p. C. m. C. l. S. d. G. p. H. l. S. l. M. m.
cox1 -0.382/0.258 -0.433/0.301 -0.387/0.289 -0.356/0/295 -0.361/0.315 -0.422/0.253 -0.365/0.260 -0.312/0.251 -0.403/0.341 -0.382/0.295
nad6 -0.532/0.636 -0.551/0.644 -0.506/0.485 -0.580/0.684 -0.575/0.603 -0.553/0.671 -0.554/0.634 -0.469/0.375 -0.572/0.635 -0.557/0.733
cob -0.395/0.288 -0.482/0.360 -0.445/0.333 -0.406/0.399 -0.506/0.541 -0.563/0.465 -0.442/0.390 -0.364/0.289 -0.395/0.373 -0.443/0.369
cox3 -0.370/0.368 -0.396/0.480 -0.393/0.390 -0.384/0.464 -0.478/0.463 -0.449/0.533 -0.345/0.407 -0.319/0.444 -0.401/0.467 -0.370/0.384
nad4l -0.577/0.610 -0.602/0.574 -0.638/0.649 -0.539/0.587 -0.492/0.684 -0.654/0.786 -0.627/0.804 -0.490/0.619 -0.620/0.714 -0.622/0.793
nad1 -0.529/0.299 -0.541/0.427 -0.551/0.447 -0.575/0.494 -0.479/0.407 -0.612/0.494 -0.557/0.481 -0.440/0.327 -0.530/0.427 -0.604/0.548
atp6 -0.498/0.389 -0.498/0.426 -0.503/0.545 -0.479/0.429 -0.376/0.388 -0.620/0.507 -0.455/0.438 -0.459/0.281 -0.559/0.503 -0.507/0.490
cox2 -0.360/0.330 -0.356/0.369 -0.332/0.462 -0.420/0.401 -0.351/0.302 -0.427/0.458 -0.293/0.347 -0.308/0.352 -0.309/0.362 -0.340/0.406
nad3 -0.541/0.714 -0.598/0.590 -0.598/0.667 -0.552/0.462 -0.560/0.742 -0.565/0.641 -0.418/0.586 -0.456/0.455 -0.390/0.656 -0.437/0.544
nad5 -0.558/0.422 -0.609/0.500 -0.556/0.482 -0.475/0.451 -0.526/0.590 -0.620/0.478 -0.530/0.525 -0.390/0.373 -0.560/0.523 -0.576/0.562
nad2 -0.538/0.574 -0.590/0.600 -0.541/0.606 -0.429/0.365 -0.556/0.550 -0.590/0.542 -0.549/0.663 -0.403/0.269 -0.572/0.623 -0.577/0.671
nad4 -0.521/0.415 -0.597/0.495 -0.546/0.460 -0.513/0.447 -0.593/0.488 -0.575/0.465 -0.516/0.505 -0.446/0.378 -0.548/0.526 -0.558/0.529
PCGs -0.474/0.378 -0.519/0.441 -0.486/0.435 -0.459/0.418 -0.486/0.468 -0.547/0.460 -0.464/0.445 -0.390/0.334 -0.485/0.466 -0.494/0.477
complete mt genome -0.429/0.375 -0.460/0.433 -0.433/0.431 -0.399/0.420 -0.322/0.438 -0.483/0.459 -0.413/0.448 -0.337/0.354 -0.419/0.471 -0.422/0.470

Results obtained from GenBank accessions.

B. m., Brugia malayi (MT149211.1); W. b., Wuchereria bancrofti (JN367461.1); M. p., Mansonella perstans (MT361687.1); C. m., Crassicauda magna (OQ834322.1); C. l., Camallanus lacustris (NC_070137.1); S. d., Setaria digitata (NC_014282.1); G. p., Gongylonema pulchrum (NC_026687.1); H. l., Heliconema longissimum; S. l., Spirocerca lupi (MK922357.1); M. m., Mastophorus muris (NC_085209.1); PCGs, protein-coding genes.

Table 5.
Nucleotide codon usage for 12 protein-coding genes of the mitochondrial genome of Mastophorus muris
Table 5.
AmAcid Codon Number % AmAcid Codon Number % AmAcid Codon Number %
Ala GCG 9 0.3 Lys AAG 70 2.0 Ser AGG 22 0.6
Ala GCA 5 0.1 Leu TTG 295 8.5 Ser AGA 29 0.8
Ala GCT 78 2.3 Leu TTA 159 4.6 Ser AGT 106 3.1
Ala GCC 2 0.1 Leu CTG 7 0.2 Ser AGC 5 0.1
Cys TGT 85 2.5 Leu CTA 5 0.1 Ser TCG 6 0.2
Cys TGC 4 0.1 Leu CTT 28 0.8 Ser TCA 8 0.2
Asp GAT 72 2.1 Leu CTC 1 0.03 Ser TCT 150 4.3
Asp GAC 1 0.03 Met ATG 92 2.7 Ser TCC 1 0.03
Glu GAG 43 1.2 Asn AAA 13 0.4 Thr ACG 4 0.1
Glu GAA 28 0.8 Asn AAT 90 2.6 Thr ACA 2 0.1
Phe TTT 565 16.3 Asn AAC 6 0.2 Thr ACT 94 2.7
Phe TTC 5 0.1 Pro CCG 4 0.1 Thr ACC 1 0.03
Gly GGG 44 1.3 Pro CCA 2 0.1 Val GTG 47 1.4
Gly GGA 28 0.8 Pro CCT 67 1.9 Val GTA 28 0.8
Gly GGT 167 4.8 Pro CCC 2 0.1 Val GTT 233 6.7
Gly GGC 10 0.3 Gln CAG 38 1.1 Val GTC 2 0.1
His CAT 56 1.6 Gln CAA 15 0.4 Trp TGG 42 1.2
His CAC 0 - Arg CGG 9 0.3 Trp TGA 39 1.1
Ile ATA 56 1.6 Arg CGA 5 0.1 Tyr TAA 6 0.2
Ile ATT 218 6.3 Arg CGT 41 1.2 Tyr TAT 195 5.6
Ile ATC 8 0.2 Arg CGC 0 - Tyr TAC 4 0.1

Total number of codon is 3,457.

Download Citation

Download a citation file in RIS format that can be imported by all major citation management software, including EndNote, ProCite, RefWorks, and Reference Manager.

Format:

Include:

Mitochondrial genome characterization of the stomach nematode Mastophorus muris (Nematoda: Spiruroidea) and phylogenetic relationships with nematodes
Parasites Hosts Dis. 2026;64(2):112-122.   Published online April 6, 2026
Download Citation

Download a citation file in RIS format that can be imported by all major citation management software, including EndNote, ProCite, RefWorks, and Reference Manager.

Format:
Include:
Mitochondrial genome characterization of the stomach nematode Mastophorus muris (Nematoda: Spiruroidea) and phylogenetic relationships with nematodes
Parasites Hosts Dis. 2026;64(2):112-122.   Published online April 6, 2026
Close

Figure

  • 0
  • 1
Mitochondrial genome characterization of the stomach nematode Mastophorus muris (Nematoda: Spiruroidea) and phylogenetic relationships with nematodes
Image Image
Fig. 1. The mitochondrial genome of Mastophorus muris. Genome organization of the complete mitochondrial genome of M. muris is a circular DNA molecule containing 36 genes. All genes are coded by the same DNA strand and are transcribed in the same direction. Protein-coding and rRNA genes are shown with the standard nomenclature. Gene scaling is approximate.
Fig. 2. Phylogenetic relationships among 30 species of selected Spiruromorpha nematodes inferred from neighbor-joining method of nucleotide sequences of 12 mitochondrial protein-coding genes. Schistosoma mansoni was used as the outgroup. Black dots represented Mastophorus muris.
Mitochondrial genome characterization of the stomach nematode Mastophorus muris (Nematoda: Spiruroidea) and phylogenetic relationships with nematodes
Gene Position/length Initiation/termination codon Anticodon No. of amino acids No. of intergenic nucleotides
cox1 1-1656/1656 ATG/TAA - 551 +1
trnW (tRNA-Trp) 1662-1719/58 - TCA - +5
Non-coding region (NC1) 1720-1757/38 - - - 0
nad6 1758-2219/462 ATT/TAA - 142 0
trnR (tRNA-Arg) 2218-2272/55 - ACG - -1
trnQ (tRNA-Trp) 2274-2327/54 - TTG - +1
cob 2327-3414/1088 TTG/TAA - 362 -1
trnL1 (tRNA-Leu) 3414-3468/55 - TAG - -1
cox3 3468-4247/780 ATG/TAA - 259 -1
Non-coding region (NC2) 4248-4562/315 - - - 0
trnA (tRNA-Ala) 4563-4614/52 - TGC - 0
trnL2 (tRNA-Leu) 4618-4671/54 - TAA - +3
trnN (tRNA-Asn) 4673-4729/57 - GTT - +1
trnM (tRNA-Met) 4730-4785/56 - CAT - 0
trnK (tRNA-Lys) 4785-4841/57 - CTT - -1
nad4l 4849-5091/243 TTG/TAA - 80 +7
s-rRNA 5092-5752/661 - - - 0
trnY (tRNA-Tyr) 5759-5813/55 - GTA - +6
nad1 5811-6687/877 TTG/TAA - 291 -3
trnF (tRNA-Phe) 6688-6742/55 - GAA - 0
atp6 6750-7328/579 ATC/TAG - 192 +7
trnI (tRNA-Ile) 7329-7387/59 - GAT - 0
trnG (tRNA-Gly) 7390-7446/57 - TCC - +2
cox2 7447-8145/699 ATA/TAA - 232 0
trnH (tRNA-His) 8146-8200/55 - GTG - 0
l-rRNA 8201-9147/947 - - - 0
nad3 9148-9496/349 ATG/T - 115 0
trnC (tRNA-Cys) 9497-9552/56 - GCA - -2
trnS2 (tRNA-Ser) 9553-9604/52 - TGA - 0
trnP (tRNA-Pro) 9604-9672/69 - AGG - -1
Non-coding region (NC3) 9673-9722/50 - - - 0
trnD (tRNA-Asp) 9723-9779/57 - GTC - 0
trnV (tRNA-Val) 9781-9834/54 - TAC - +1
nad5 9839-11428/1590 TTG/TAG - 529 +4
trnE (tRNA-Glu) 11428-11485/58 - TTC - -1
trnS1 (tRNA-Ser) 11485-11537/53 - TCT - -1
nad2 11546-12382/837 GTG/TAG - 278 +8
trnT (tRNA-Thr) 12384-12438/55 - TGT - +1
nad4 12444-13667/1224 ATG/TAA - 402 +5
Gene Species
B. m. W. b. M. p. C. m. C. l. S. d. G. p. H. l. S. l. M. m.
No. of aa
cox1 548 548 550 548 517 548 550 530 551 551
nad6 158 150 142 145 157 149 143 145 152 153
cob 362 362 362 360 365 360 354 362 351 362
cox3 259 259 259 258 253 259 257 258 259 259
nad4l 71 80 77 88 77 80 75 77 75 80
nad1 292 292 292 290 286 299 290 289 292 291
atp6 193 193 194 191 222 193 188 192 194 192
cox2 232 233 233 231 226 232 230 231 229 232
nad3 94 112 81 112 111 113 113 108 111 107
nad5 512 531 516 531 526 531 527 529 530 529
nad2 273 281 278 275 272 284 276 282 280 278
nad4 409 409 413 405 407 409 402 408 401 407
Length of rRNA gene (bp)
s-rRNA 672 672 665 571 709 672 681 682 688 661
l-rRNA 1034 972 1016 765 937 971 965 973 987 947
Deduced initiation codon
cox1 ATT ATT ATG AAT TTG ATT ATG ATT ATG ATG
nad6 TTG --- GTG ATT ATT TTG ATT ATA TTG ATT
cob ATT ATT ATG GTG ATT ATT ATT ATT ATG TTG
cox3 ATT ATT ATT TTG ATT ATA TTG ATT ATT ATG
nad4l TTG GTA TTG TTG TTG TTG TTG ATA ATG TTG
nad1 TTG TTG TTG ATT TTG TTG TTG TTG TTG TTG
atp6 ATT ATA ATT TTG TTG TTT TTG ATT ATT ATC
cox2 ATT ATT ATT TTG TTG ATT ATG ATT ATG ATA
nad3 ATA CTT ATG ATT TTG TTT GTG ATA TTG TTG
nad5 TTG TTT ATA TTT TTG TTT TTG ATT TTG TTG
nad2 ATG TTA TTG ATT GTG TTT ATT TTG TTG GTG
nad4 TTG TTG TTG ATT ATG ATG ATT ATA TTG TTG
Deduced termination codon
cox1 TAG TAA TAA TAA TAG TAG TAA TAA TAA TAA
nad6 TAA TAA TAG TAA TAA TAA TAA TAA TAA TAA
cob GTT TAA TAA TAA TAA TAA TAA TAA TAA T
cox3 TAA TAA TAA TAA TAA TAA TAA TAA TAA TAA
nad4l TAA TAA TAG TAG TAA TAA TAA TAA TAG TAA
nad1 TAA TAA TAA TAA TAG TAA TAA TAA TAA T
atp6 TAG TAG TAA TAA TAA TAG TAA TAG TAA TAG
cox2 TAA TAA TAG TAA TAA TAG TAA TAA TAA TAA
nad3 TAG TAA TAA TAA TAA TAA TAA TAG TAA T
nad5 TAG TAG TAA TAA TAA TAG TAA TAG TAA TAG
nad2 TTT TAA TAA TAA TAA TAG TAG TAA TAG TAG
nad4 TAA TAA TAG TAA TAG TAA TAA TAA TAG TAA
Length of mt genome (bp) 13658 13635 13619 13604 18935 13839 13798 13610 13804 13668
AT content of complete mt genome (%) 75.5 74.6 74.1 75.0 75.9 75.1 76.0 79.1 74.4 73.1
Gene Species
B. m. W. b. M. p. C. m. C. l. S. d. G. p. H. l. S. l. M. m.
cox1 67.9 (1119) 67.7 (1115) 67.2 (1110) 67.2 (1106) 65.3 (1014) 69.1 (1138) 68.6 (1134) 71.7 (1142) 67.4 (1116) 67.6 (1120)
nad6 81.6 (389) 80.0 (361) 77.4 (332) 82.7 (362) 73.4 (348) 82.4 (371) 81.0 (350) 81.7 (358) 77.3 (355) 77.3 (357)
cob 74.2 (806) 72.7 (791) 73.2 (796) 72.6 (785) 70.2 (769) 72.3 (782) 74.7 (796) 79.3 (862) 72.8 (767) 72.6 (790)
cox3 72.8 (568) 74.3 (579) 74.4 (580) 73.1 (568) 69.6 (529) 72.6 (566) 73.0 (565) 75.9 (590) 70.6 (551) 71.3 (556)
nad4l 81.0 (175) 80.7 (196) 75.6 (177) 76.4 (204) 75.6 (177) 76.8 (185) 77.6 (177) 82.1 (192) 78.5 (179) 76.1 (185)
nad1 73.7 (646) 72.5 (636) 73.2 (642) 72.9 (636) 68.6 (591) 72.8 (655) 73.0 (636) 75.7 (657) 75.0 (659) 70.2 (616)
atp6 75.3 (438) 76.6 (446) 73.7 (431) 75.6 (434) 70.6 (471) 74.2 (432) 78.6 (444) 77.9 (451) 75.2 (440) 72.9 (422)
cox2 69.2 (484) 70.6 (494) 68.2 (479) 68.8 (479) 65.8 (447) 69.4 (485) 71.6 (495) 74.7 (520) 69.0 (475) 67.2 (470)
nad3 77.9 (222) 76.9 (259) 75.4 (184) 76.9 (259) 72.2 (241) 77.1 (262) 82.9 (282) 83.2 (272) 81.0 (272) 77.4 (270)
nad5 74.1 (1141) 74.7 (1192) 73.1 (1134) 74.8 (1193) 73.2 (1157) 74.8 (1194) 75.0 (1186) 78.9 (1255) 73.1 (1163) 71.6 (1138)
nad2 77.1 (632) 75.7 (639) 75.7 (632) 79.5 (658) 73.3 (599) 76.5 (654) 77.9 (647) 82.9 (704) 74.9 (631) 74.6 (624)
nad4 76.7 (943) 73.9 (908) 75.9 (942) 76.9 (936) 71.9 (880) 76.9 (946) 76.2 (933) 80.4 (986) 74.5 (898) 73.6 (901)
PCGs 73.9 (7563) 73.4 (7616) 72.8 (7439) 73.8 (7620) 70.3 (7223) 73.7 (7670) 74.5 (7645) 77.8 (7989) 72.8 (7506) 71.7 (7449)
Complete mt genome 75.5 (10314) 74.6 (10170) 74.1 (10090) 75.0 (10198) 75.9 (14371) 75.1 (10398) 76.0 (10479) 79.1 (10767) 74.4 (10268) 73.1 (9991)
Gene Species (AT-skew/GC-skew)
B. m. W. b. M. p. C. m. C. l. S. d. G. p. H. l. S. l. M. m.
cox1 -0.382/0.258 -0.433/0.301 -0.387/0.289 -0.356/0/295 -0.361/0.315 -0.422/0.253 -0.365/0.260 -0.312/0.251 -0.403/0.341 -0.382/0.295
nad6 -0.532/0.636 -0.551/0.644 -0.506/0.485 -0.580/0.684 -0.575/0.603 -0.553/0.671 -0.554/0.634 -0.469/0.375 -0.572/0.635 -0.557/0.733
cob -0.395/0.288 -0.482/0.360 -0.445/0.333 -0.406/0.399 -0.506/0.541 -0.563/0.465 -0.442/0.390 -0.364/0.289 -0.395/0.373 -0.443/0.369
cox3 -0.370/0.368 -0.396/0.480 -0.393/0.390 -0.384/0.464 -0.478/0.463 -0.449/0.533 -0.345/0.407 -0.319/0.444 -0.401/0.467 -0.370/0.384
nad4l -0.577/0.610 -0.602/0.574 -0.638/0.649 -0.539/0.587 -0.492/0.684 -0.654/0.786 -0.627/0.804 -0.490/0.619 -0.620/0.714 -0.622/0.793
nad1 -0.529/0.299 -0.541/0.427 -0.551/0.447 -0.575/0.494 -0.479/0.407 -0.612/0.494 -0.557/0.481 -0.440/0.327 -0.530/0.427 -0.604/0.548
atp6 -0.498/0.389 -0.498/0.426 -0.503/0.545 -0.479/0.429 -0.376/0.388 -0.620/0.507 -0.455/0.438 -0.459/0.281 -0.559/0.503 -0.507/0.490
cox2 -0.360/0.330 -0.356/0.369 -0.332/0.462 -0.420/0.401 -0.351/0.302 -0.427/0.458 -0.293/0.347 -0.308/0.352 -0.309/0.362 -0.340/0.406
nad3 -0.541/0.714 -0.598/0.590 -0.598/0.667 -0.552/0.462 -0.560/0.742 -0.565/0.641 -0.418/0.586 -0.456/0.455 -0.390/0.656 -0.437/0.544
nad5 -0.558/0.422 -0.609/0.500 -0.556/0.482 -0.475/0.451 -0.526/0.590 -0.620/0.478 -0.530/0.525 -0.390/0.373 -0.560/0.523 -0.576/0.562
nad2 -0.538/0.574 -0.590/0.600 -0.541/0.606 -0.429/0.365 -0.556/0.550 -0.590/0.542 -0.549/0.663 -0.403/0.269 -0.572/0.623 -0.577/0.671
nad4 -0.521/0.415 -0.597/0.495 -0.546/0.460 -0.513/0.447 -0.593/0.488 -0.575/0.465 -0.516/0.505 -0.446/0.378 -0.548/0.526 -0.558/0.529
PCGs -0.474/0.378 -0.519/0.441 -0.486/0.435 -0.459/0.418 -0.486/0.468 -0.547/0.460 -0.464/0.445 -0.390/0.334 -0.485/0.466 -0.494/0.477
complete mt genome -0.429/0.375 -0.460/0.433 -0.433/0.431 -0.399/0.420 -0.322/0.438 -0.483/0.459 -0.413/0.448 -0.337/0.354 -0.419/0.471 -0.422/0.470
AmAcid Codon Number % AmAcid Codon Number % AmAcid Codon Number %
Ala GCG 9 0.3 Lys AAG 70 2.0 Ser AGG 22 0.6
Ala GCA 5 0.1 Leu TTG 295 8.5 Ser AGA 29 0.8
Ala GCT 78 2.3 Leu TTA 159 4.6 Ser AGT 106 3.1
Ala GCC 2 0.1 Leu CTG 7 0.2 Ser AGC 5 0.1
Cys TGT 85 2.5 Leu CTA 5 0.1 Ser TCG 6 0.2
Cys TGC 4 0.1 Leu CTT 28 0.8 Ser TCA 8 0.2
Asp GAT 72 2.1 Leu CTC 1 0.03 Ser TCT 150 4.3
Asp GAC 1 0.03 Met ATG 92 2.7 Ser TCC 1 0.03
Glu GAG 43 1.2 Asn AAA 13 0.4 Thr ACG 4 0.1
Glu GAA 28 0.8 Asn AAT 90 2.6 Thr ACA 2 0.1
Phe TTT 565 16.3 Asn AAC 6 0.2 Thr ACT 94 2.7
Phe TTC 5 0.1 Pro CCG 4 0.1 Thr ACC 1 0.03
Gly GGG 44 1.3 Pro CCA 2 0.1 Val GTG 47 1.4
Gly GGA 28 0.8 Pro CCT 67 1.9 Val GTA 28 0.8
Gly GGT 167 4.8 Pro CCC 2 0.1 Val GTT 233 6.7
Gly GGC 10 0.3 Gln CAG 38 1.1 Val GTC 2 0.1
His CAT 56 1.6 Gln CAA 15 0.4 Trp TGG 42 1.2
His CAC 0 - Arg CGG 9 0.3 Trp TGA 39 1.1
Ile ATA 56 1.6 Arg CGA 5 0.1 Tyr TAA 6 0.2
Ile ATT 218 6.3 Arg CGT 41 1.2 Tyr TAT 195 5.6
Ile ATC 8 0.2 Arg CGC 0 - Tyr TAC 4 0.1
Table 1. Summary data for the annotated mitochondrial genome of Mastophorus muris
Table 2. Properties of protein-coding genes, length of the mt genomes and rRNA genes and AT content of nematode mt genomes

Results obtained from GenBank accessions.

B. m., Brugia malayi; W. b., Wuchereria bancrofti; M. p., Mansonella perstans; C. m., Crassicauda magna; C. l., Camallanus lacustris; S. d., Setaria digitata; G. p., Gongylonema pulchrum; H. l., Heliconema longissimum; S. l., Spirocerca lupi; M. m., Mastophorus muris.

Table 3. Comparison of A+T content (%) of gene and region of the mt genomes of Spiruromorpha nematode species, including Mastophorus muris

Values are presented as A+T content (%) and length (bp). Results obtained from GenBank accessions.

B. m., Brugia malayi (MT149211.1); W. b., Wuchereria bancrofti (JN367461.1); M. p., Mansonella perstans (MT361687.1); C. m., Crassicauda magna (OQ834322.1); C. l., Camallanus lacustris (NC_070137.1); S. d., Setaria digitata (NC_014282.1); G. p., Gongylonema pulchrum (NC_026687.1); H. l., Heliconema longissimum; S. l., Spirocerca lupi (MK922357.1); M. m., Mastophorus muris (NC_085209.1); PCGs, protein-coding genes.

Table 4. Nucleotide content and skewness (AT-skew/GC-skew) of Spiruromorpha mitochondrial PCGs and rRNAs, including Mastophorus muris

Results obtained from GenBank accessions.

B. m., Brugia malayi (MT149211.1); W. b., Wuchereria bancrofti (JN367461.1); M. p., Mansonella perstans (MT361687.1); C. m., Crassicauda magna (OQ834322.1); C. l., Camallanus lacustris (NC_070137.1); S. d., Setaria digitata (NC_014282.1); G. p., Gongylonema pulchrum (NC_026687.1); H. l., Heliconema longissimum; S. l., Spirocerca lupi (MK922357.1); M. m., Mastophorus muris (NC_085209.1); PCGs, protein-coding genes.

Table 5. Nucleotide codon usage for 12 protein-coding genes of the mitochondrial genome of Mastophorus muris

Total number of codon is 3,457.